Analytical Approach to Understanding the Effects of Implementing Fast-Frequency Response by Wind Turbines on the Short-Term Operation of Power Systems
Abstract
1. Introduction
- The proposal of a methodology for deriving the LFC-transfer function of a weak and isolated power system that incorporates the participation of wind turbines in frequency control, which is based on the theory of small-signal analysis. With the derived LFC-transfer function, the authors design an analysis tool devised for studying the frequency response of the power system under contingency by considering all the possible scenarios characterized by different wind penetration levels and wind speed conditions. The numerical evaluation of the LFC-transfer function to get the main parameters that characterize the inertial response of the whole system, instead of implementing a specific test system in simulation, make it possible to represent a vast number of contingency scenarios without these having to run one at a time in the simulation environment.
- With the numerical results generated, an inertial chart is designed to show the locus of the values of the main frequency response parameters: frequency nadir and time-derivative of frequency as a function of the equivalent constant of inertia of the system. The resulting chart provides an outlook of the status of the frequency resilience of the system when wind generation is incorporated in substitution of the synchronous one.
- Based on the symbolic representation of the derived transfer function, this work proposes a method to identify which specific inertial parameters of the system (equivalent inertia constant or damping constant) the frequency response by wind turbines really impacts. This is done with the purpose of providing a comprehensive understanding of the corrective action provided by wind generation during its contribution to smoothing grid frequency fluctuations.
2. Representation of a Power System for Primary Frequency Control Studies
2.1. Load Frequency Control Scheme
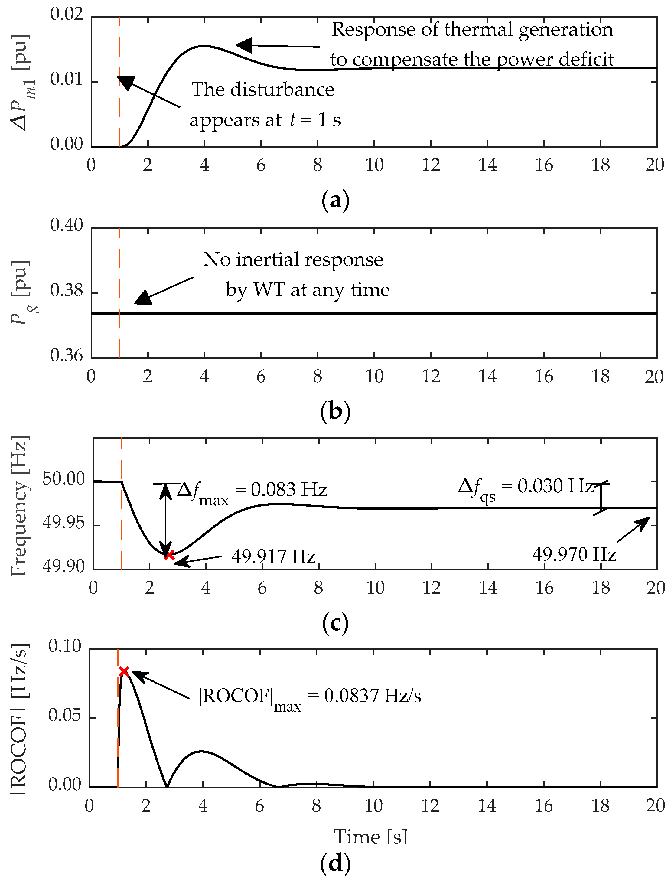
2.2. Case Study
2.3. Analytical Approach to the Problem
- Peak value of the step response, max{Δωs(t)}: for calculation of the maximum frequency deviation, Δfmax.
- Steady state value of the step response, limt→∞{Δωs(t)}: for calculation of the quasi-steady state frequency deviation, Δfqs.
- Maximum absolute value of dΔωs/dt: for calculation of |RoCoF|max.
3. Frequency Support Provided by Wind Generation
3.1. Method Based on the Concept of Virtual Inertia
3.2. Evaluation of the Inertial Response Provided by the Wind Turbines in the Study System
4. Effect of the Frequency Support from Wind Turbines on the Inertial Characteristics of the System
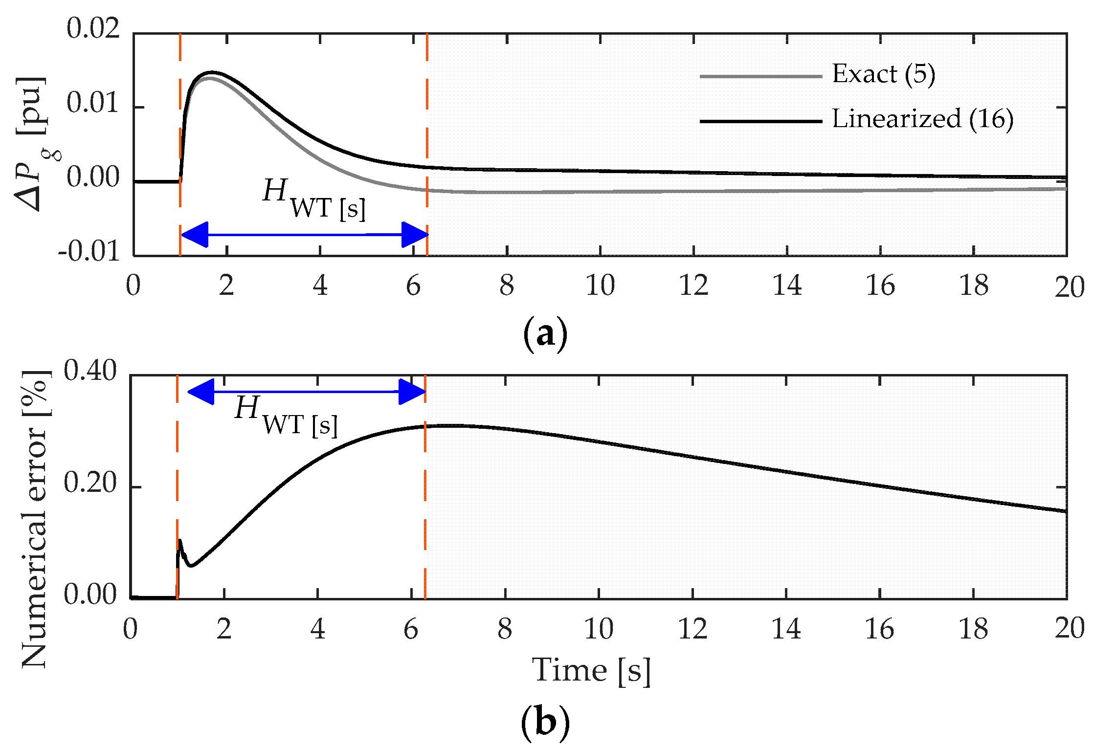
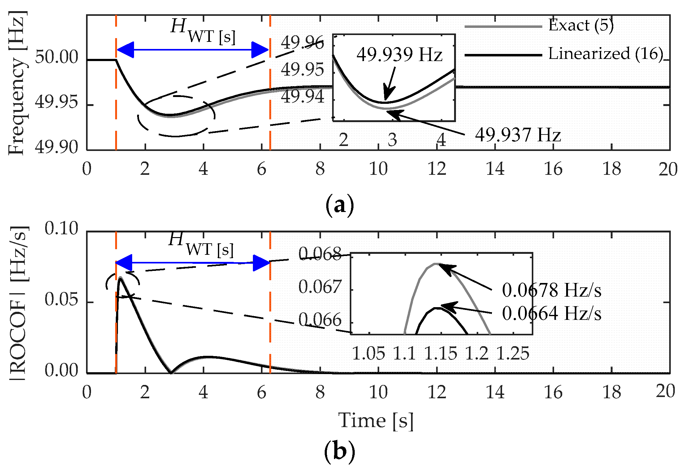
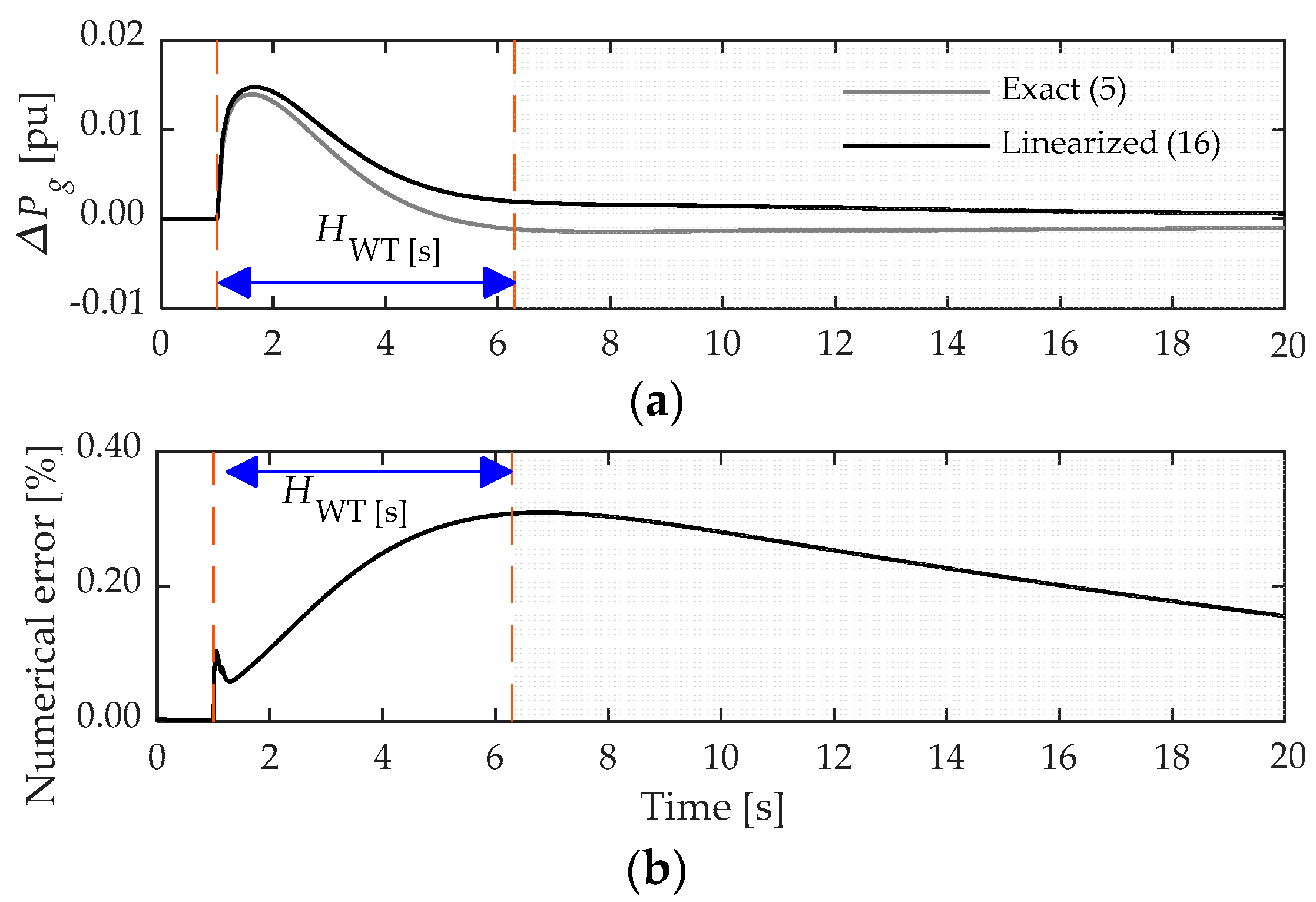
4.1. Linearization of the Extended OPPT Method
4.2. Evaluation of the Effect of Wind Generation Contribution to Frequency Support on the Inertial Characteristics of the System
5. Conclusions
Author Contributions
Funding
Conflicts of Interest
Nomenclature
| LFC | Load frequency control |
| AC | Alternating current |
| UFLS | Under-frequency load shedding |
| MPPT | Maximum power point tracking |
| OPPT | Optimized power point tracking |
| VSWT | Variable speed-wind turbine |
| WT | Wind turbine |
| n | Number of operating synchronous generators |
| N | Number of operating variable speed-wind turbines |
| Heq | Equivalent inertia constant of the synchronous generators |
| Hi | Individual inertia constant of the ith generator |
| wi | Participation factor of the ith generator |
| ΔPmi | Mechanical power deviation of the ith generator |
| Δωeq | Equivalent rotor speed of synchronous generators |
| ΔPL | Load power deviation |
| Deq | Damping constant of load |
| TCi(s) | Prime mover transfer function of the ith generator |
| Δfmax | Maximum grid frequency deviation |
| Δfqs | Quasi-steady grid frequency deviation |
| RoCoF | Rate of Change of Frequency |
| Δωs | Angular frequency of the system |
| dΔωs/dt | Time derivative of angular frequency of the system |
| PMPPT | Optimal power dispatched by wind turbine |
| fKopt | Virtual inertia multiplication factor |
| Kopt | Optimization constant of the wind turbine |
| ωg | Rotor speed of the wind turbine |
| ωg0 | Pre-disturbance rotor speed of the wind turbine |
| kvir | Virtual inertia design constant |
| Wvir | Virtual inertia weighting factor |
| HWT | Inertia constant of the wind turbine |
| Δfs | Grid frequency deviation |
| dfs/dt | Time derivative of grid frequency |
| v | Wind speed |
| |RoCoF|max | Maximum absolute value of RoCoF |
| ∆Pg | Output active power deviation of the wind turbine |
| Two | Virtual inertia wash-out filter time constant |
| Tlp | Virtual inertia low-pass filter time constant |
| HT | Equivalent inertia constant of the system |
| DT | Equivalent damping constant of the system |
| Ri | Droop of the ith generator speed controller |
| τG | Main servo time constant (thermal generation) |
| FHP | Fraction of total turbine power (thermal generation) |
| TRH | Reheater time constant (thermal generation) |
| TCH | Time constant of main inlet columns and steam chest (thermal gen.) |
Appendix A
Appendix B
- Rated power (base power): Pbase = 1.5 MW.
- Wind speed base (Pvbase = 0.73 pu): vbase = 12 m/s.
- Optimization constant: Kopt = 0.4225.
- Turbine-generator inertia constant: HWT = 5.29 s.
- Pitch controller gains: KPpc = 500, KIpc = 0.
- Speed controller gains: KPsc = 3, KIsc = 80.
Appendix C
Appendix D
References
- Chang, Y.; Phoumin, H. Harnessing Wind Energy Potential in ASEAN: Modelling and Policy Implications. Sustainability 2021, 13, 4279. [Google Scholar] [CrossRef]
- Shourangiz-Haghighi, A.; Diazd, M.; Zhang, Y.; Li, J.; Yuan, Y.; Faraji, R.; Ding, L.; Guerrero, J.M. Developing More Efficient Wind Turbines: A Survey of Control Challenges and Opportunities. IEEE Ind. Electron. Mag. 2020, 14, 53–64. [Google Scholar] [CrossRef]
- Martínez-Lucas, G.; Sarasúa, J.I.; Pérez-Díaz, J.I.; Martínez, S.; Ochoa, D. Analysis of the Implementation of the Primary and/or Inertial Frequency Control in Variable Speed Wind Turbines in an Isolated Power System with High Renewable Penetration. Case Study: El Hierro Power System. Electronics 2020, 9, 901. [Google Scholar] [CrossRef]
- Probst, O.; Minchala, L.I. Mitigation of Short-Term Wind Power Ramps through Forecast-Based Curtailment. Appl. Sci. 2021, 11, 4371. [Google Scholar] [CrossRef]
- Nguyen, N.; Mitra, J. Effect of wind power on load frequency control. In Proceedings of the 2016 IEEE Power and Energy Society General Meeting (PESGM), Boston, MA, USA, 17–26 July 2016; pp. 1–5. [Google Scholar]
- Alam, M.S.; Alotaibi, M.A.; Alam, M.A.; Hossain, M.A.; Shafiullah, M.; Al-Ismail, F.S.; Rashid, M.M.U.; Abido, M.A. High-Level Renewable Energy Integrated System Frequency Control with SMES-Based Optimized Fractional Order Controller. Electronics 2021, 10, 511. [Google Scholar] [CrossRef]
- Yang, D.; Kim, J.; Kang, Y.C.; Muljadi, E.; Zhang, N.; Hong, J.; Song, S.-H.; Zheng, T. Temporary Frequency Support of a DFIG for High Wind Power Penetration. IEEE Trans. Power Syst. 2018, 33, 3428–3437. [Google Scholar] [CrossRef]
- Fernández-Guillamón, A.; Gómez-Lázaro, E.; Molina-García, Á. Extensive frequency response and inertia analysis under high renewable energy source integration scenarios: Application to the European interconnected power system. IET Renew. Power Gener. 2020, 14, 2885–2896. [Google Scholar] [CrossRef]
- Magdy, G.; Shabib, G.; Elbaset, A.A.; Kerdphol, T.; Qudaih, Y.; Bevrani, H.; Mitani, Y. A Novel Design of Decentralized LFC to Enhance Frequency Stability of Egypt Power System Including Wind Farms. Int. J. Energy Convers. IRECON 2018, 6, 17–29. [Google Scholar] [CrossRef][Green Version]
- El-Saady, G.; Youssef, A.M.; Ibrahim, E.-N.M.; Nour-Eldin, S.A. Effect of Wind Driven Double-Fed Induction Generator upon the Stability of decentralized power systems via Load Frequency Controllers design. In Proceedings of the 2019 21st International Middle East Power Systems Conference (MEPCON), Cairo, Egypt, 17–19 December 2019; pp. 803–808. [Google Scholar]
- Alhelou, H.H.; Hamedani-Golshan, M.-E.; Zamani, R.; Heydarian-Forushani, E.; Siano, P. Challenges and Opportunities of Load Frequency Control in Conventional, Modern and Future Smart Power Systems: A Comprehensive Review. Energies 2018, 11, 2497. [Google Scholar] [CrossRef]
- IEEE Guide for Design, Operation, and Integration of Distributed Resource Island Systems with Electric Power Systems; IEEE: New York, NY, USA, 2011; pp. 1–54. [CrossRef]
- Murugesan, S.; Murali, V. Hybrid Analyzing Technique Based Active Islanding Detection for Multiple DGs. IEEE Trans. Ind. Inform. 2019, 15, 1311–1320. [Google Scholar] [CrossRef]
- Murugesan, S.; Murali, V. Decentralized Unintentional Islanding Identification for Converter-Interfaced Multiple DGs. IEEE Trans. Ind. Inform. 2021, 17, 4512–4520. [Google Scholar] [CrossRef]
- Abyaz, A.; Panahi, H.; Zamani, R.; Haes Alhelou, H.; Siano, P.; Shafie-khah, M.; Parente, M. An Effective Passive Islanding Detection Algorithm for Distributed Generations. Energies 2019, 12, 3160. [Google Scholar] [CrossRef]
- Karimi, M.; Farshad, M.; Hong, Q.; Laaksonen, H.; Kauhaniemi, K. An Islanding Detection Technique for Inverter-Based Distributed Generation in Microgrids. Energies 2021, 14, 130. [Google Scholar] [CrossRef]
- Kaewthai, S.; Ekkaravarodome, C.; Jirasereeamornkul, K. Novel disturbance and observation based active islanding detection for three-phase grid-connected inverters. J. Power Electron. 2021, 21, 438–450. [Google Scholar] [CrossRef]
- Shukla, A.; Dutta, S.; Sadhu, P.K. An island detection approach by μ-PMU with reduced chances of cyber attack. Int. J. Electr. Power Energy Syst. 2021, 126, 106599. [Google Scholar] [CrossRef]
- Dehghanpour, E.; Karegar, H.K.; Kheirollahi, R. Under Frequency Load Shedding in Inverter Based Microgrids by Using Droop Characteristic. IEEE Trans. Power Deliv. 2021, 36, 1097–1106. [Google Scholar] [CrossRef]
- Alhelou, H.H.; Golshan, M.E.H.; Zamani, R.; Moghaddam, M.P.; Njenda, T.C.; Siano, P.; Marzband, M. An Improved UFLS Scheme based on Estimated Minimum Frequency and Power Deficit. In Proceedings of the 2019 IEEE Milan PowerTech, Milan, Italy, 23–27 June 2019; pp. 1–6. [Google Scholar]
- Ochoa, D.; Martinez, S. Fast-Frequency Response Provided by DFIG-Wind Turbines and its Impact on the Grid. IEEE Trans. Power Syst. 2017, 32, 4002–4011. [Google Scholar] [CrossRef]
- Pradhan, C.; Bhende, C.N.; Samanta, A.K. Adaptive virtual inertia-based frequency regulation in wind power systems. Renew. Energy 2018, 115, 558–574. [Google Scholar] [CrossRef]
- Attya, A.B.T.; Dominguez-García, J.L. Insights on the Provision of Frequency Support by Wind Power and the Impact on Energy Systems. IEEE Trans. Sustain. Energy 2018, 9, 719–728. [Google Scholar] [CrossRef]
- Fernández-Guillamón, A.; Martínez-Lucas, G.; Molina-García, Á.; Sarasua, J.I. An Adaptive Control Scheme for Variable Speed Wind Turbines Providing Frequency Regulation in Isolated Power Systems with Thermal Generation. Energies 2020, 13, 3369. [Google Scholar] [CrossRef]
- Zhang, X.; Zha, X.; Yue, S.; Chen, Y. A Frequency Regulation Strategy for Wind Power Based on Limited Over-Speed De-Loading Curve Partitioning. IEEE Access 2018, 6, 22938–22951. [Google Scholar] [CrossRef]
- Oshnoei, S.; Oshnoei, A.; Mosallanejad, A.; Haghjoo, F. Novel load frequency control scheme for an interconnected two-area power system including wind turbine generation and redox flow battery. Int. J. Electr. Power Energy Syst. 2021, 130, 107033. [Google Scholar] [CrossRef]
- Ali, H.; Magdy, G.; Xu, D. A new optimal robust controller for frequency stability of interconnected hybrid microgrids considering non-inertia sources and uncertainties. Int. J. Electr. Power Energy Syst. 2021, 128, 106651. [Google Scholar] [CrossRef]
- Ferrari, M.; Park, B.; Olama, M.M. Design and Evaluation of a Model-Free Frequency Control Strategy in Islanded Microgrids with Power-Hardware-in-the-Loop Testing. In Proceedings of the 2021 IEEE Power Energy Society Innovative Smart Grid Technologies Conference (ISGT), Washington, DC, USA, 16–18 February 2021; pp. 1–5. [Google Scholar]
- Armghan, H.; Yang, M.; Armghan, A.; Ali, N. Double integral action based sliding mode controller design for the back-to-back converters in grid-connected hybrid wind-PV system. Int. J. Electr. Power Energy Syst. 2021, 127, 106655. [Google Scholar] [CrossRef]
- Milano, F.; Dorfler, F.; Hug, G.; Hill, D.J.; Verbic, G. Foundations and Challenges of Low-Inertia Systems (Invited Paper). In Proceedings of the 2018 Power Systems Computation Conference (PSCC), Dublin, Ireland, 11–15 June 2018; IEEE: Dublin, Ireland, 2018; pp. 1–25. [Google Scholar]
- Tielens, P.; Van Hertem, D. The relevance of inertia in power systems. Renew. Sustain. Energy Rev. 2016, 55, 999–1009. [Google Scholar] [CrossRef]
- Perdana, A. Dynamic Models Of Wind Turbines: A Contribution towards the Establishment of Standardized Models of Wind Turbines for Power System Stability Studies; Doktorsavhandlingar vid Chalmers Tekniska Högskola; Chalmers University of Technology: Göteborg, Sweden, 2008; ISBN 978-91-7385-226-5. [Google Scholar]
- Li, S.; Donghui, Z.; Lan, Z.; Chen, W. Modeling and mechanism analysis of inertia and damping issues for wind turbines PMSG grid-connected system. Soft Comput. 2020, 24, 15681–15691. [Google Scholar] [CrossRef]
- Tang, C.; Pathmanathan, M.; Soong, W.L.; Ertugrul, N. Effects of inertia on dynamic performance of wind turbines. In Proceedings of the 2008 Australasian Universities Power Engineering Conference, Sydney, NSW, Australia, 14–17 December 2008; pp. 1–6. [Google Scholar]
- Kundur, P. Power System Stability and Control, 1st ed.; McGraw-Hill: New York, NY, USA, 1994. [Google Scholar]
- Ochoa, D.; Martinez, S. Frequency Control Issues in Power Systems: The Effect of High Share of Wind Energy. IEEE Lat. Am. Trans. 2018, 16, 1934–1944. [Google Scholar] [CrossRef]
- Li, S.; Deng, C.; Shu, Z.; Huang, W.; He, J.; You, Z. Equivalent inertial time constant of doubly fed induction generator considering synthetic inertial control. J. Renew. Sustain. Energy 2016, 8, 053304. [Google Scholar] [CrossRef]
- Sarasúa, J.; Martínez-Lucas, G.; Platero, C.; Sánchez-Fernández, J. Dual Frequency Regulation in Pumping Mode in a Wind–Hydro Isolated System. Energies 2018, 11, 2865. [Google Scholar] [CrossRef]
- Bouzounierakis; Katsigiannis; Fiorentzis; Karapidakis Effect of Hybrid Power Station Installation in the Operation of Insular Power Systems. Inventions 2019, 4, 38. [CrossRef]
- Ochoa, D.; Martinez, S. A Simplified Electro-Mechanical Model of a DFIG-based Wind Turbine for Primary Frequency Control Studies. IEEE Lat. Am. Trans. 2016, 14, 3614–3620. [Google Scholar] [CrossRef]












Publisher’s Note: MDPI stays neutral with regard to jurisdictional claims in published maps and institutional affiliations. |
© 2021 by the authors. Licensee MDPI, Basel, Switzerland. This article is an open access article distributed under the terms and conditions of the Creative Commons Attribution (CC BY) license (https://creativecommons.org/licenses/by/4.0/).
Share and Cite
Ochoa, D.; Martinez, S. Analytical Approach to Understanding the Effects of Implementing Fast-Frequency Response by Wind Turbines on the Short-Term Operation of Power Systems. Energies 2021, 14, 3660. https://doi.org/10.3390/en14123660
Ochoa D, Martinez S. Analytical Approach to Understanding the Effects of Implementing Fast-Frequency Response by Wind Turbines on the Short-Term Operation of Power Systems. Energies. 2021; 14(12):3660. https://doi.org/10.3390/en14123660
Chicago/Turabian StyleOchoa, Danny, and Sergio Martinez. 2021. "Analytical Approach to Understanding the Effects of Implementing Fast-Frequency Response by Wind Turbines on the Short-Term Operation of Power Systems" Energies 14, no. 12: 3660. https://doi.org/10.3390/en14123660
APA StyleOchoa, D., & Martinez, S. (2021). Analytical Approach to Understanding the Effects of Implementing Fast-Frequency Response by Wind Turbines on the Short-Term Operation of Power Systems. Energies, 14(12), 3660. https://doi.org/10.3390/en14123660

