A Study on the Feasibility of Anaerobic Co-Digestion of Raw Cheese Whey with Coffee Pulp Residues
Abstract
1. Introduction
2. Materials and Methods
2.1. Substrate and Anaerobic Inoculum
2.2. Analytical Methods
2.3. Experimental Tests
2.4. Kinetic Models
2.5. Statistical Analysis
3. Results and Discussion
3.1. Physicochemical Characterization
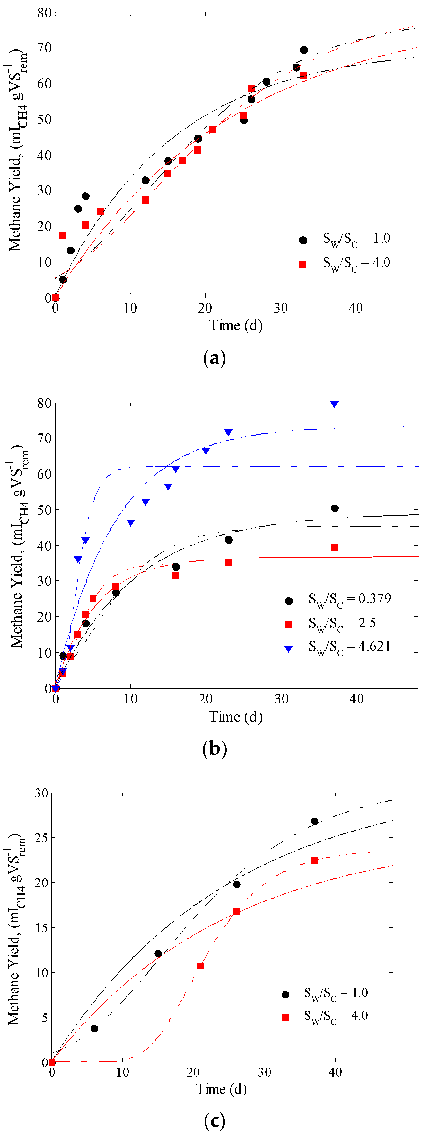
3.2. Methane Yield
3.3. Kinetic Model
3.4. Response Surface Analysis
4. Conclusions
Author Contributions
Funding
Institutional Review Board Statement
Informed Consent Statement
Acknowledgments
Conflicts of Interest
References
- FAO. Food and Agriculture Organization of the United Nations Statistics Division. Available online: http://www.fao.org/faostat/en/#data/QP/visualize (accessed on 10 January 2021).
- Prazeres, A.R.; Carvalho, F.; Rivas, J. Cheese whey management: A review. J. Environ. Manag. 2012, 110, 48–68. [Google Scholar] [CrossRef] [PubMed]
- Siso, M.G. The biotechnological utilization of cheese whey: A review. Bioresour. Technol. 1996, 57, 1–11. [Google Scholar] [CrossRef]
- Chalermthai, B.; Chan, W.Y.; Bastidas-Oyanedel, J.R.; Taher, H.; Olsen, B.D.; Schmidt, J.S. Preparation and characterization of whey protein-based polymers produced from residual dairy streams. Polymers 2019, 11, 722. [Google Scholar] [CrossRef]
- Cigolotti, V.; Moreno, A.; McPhail, S.J. Fuel cells. In Green Energy and Technology; Springer: London, UK, 2012. [Google Scholar]
- Mao, C.; Feng, Y.; Wang, X.; Ren, G. Review on research achievements of biogas from anaerobic digestion. Renew. Sustain. Energy Rev. 2015, 45, 540–555. [Google Scholar] [CrossRef]
- Rajeshwari, K.V.; Balakrishnan, M.; Kansal, A.; Lata, K.; Kishore, V.V.N. State-of-the-art of anaerobic digestion technology for industrial wastewater treatment. Renew. Sustain. Energy Rev. 2000, 4, 135–156. [Google Scholar] [CrossRef]
- Saddoud, A.; Hassaïri, I.; Sayadi, S. Anaerobic membrane reactor with phase separation for the treatment of cheese whey. Bioresour. Technol. 2007, 98, 2102–2108. [Google Scholar] [CrossRef]
- Antonopoulou, G.; Stamatelatou, K.; Venetsaneas, N.; Kornaros, M.; Lyberatos, G. Biohydrogen and methane production from cheese whey in a two-stage anaerobic process. Ind. Eng. Chem. Res. 2008, 47, 5227–5233. [Google Scholar] [CrossRef]
- Venetsaneas, N.; Antonopoulou, G.; Stamatelatou, K.; Kornaros, M.; Lyberatos, G. Using cheese whey for hydrogen and methane generation in a two-stage continuous process with alternative pH controlling approaches. Bioresour. Technol. 2009, 100, 3713–3717. [Google Scholar] [CrossRef]
- Fernández, C.; Cuetos, M.J.; Martínez, E.J.; Gómez, X. Thermophilic anaerobic digestion of cheese whey: Coupling H2 and CH4 production. Biomass Bioenergy 2015, 81, 55–62. [Google Scholar] [CrossRef]
- Escalante, H.; Castro, L.; Amaya, M.P.; Jaimes, L.; Jaimes-Estévez, J. Anaerobic digestion of cheese whey: Energetic and nutritional potential for the dairy sector in developing countries. Waste Manag. 2018, 71, 711–718. [Google Scholar] [CrossRef]
- Rabii, A.; Aldin, S.; Dahman, Y.; Elbeshbishy, E. A review on anaerobic co-digestion with a focus on the microbial populations and the effect of multi-stage digester configuration. Energies 2019, 12, 1106. [Google Scholar] [CrossRef]
- Gelegenis, J.; Georgakakis, D.; Angelidaki, I.; Mavris, V. Optimization of biogas production by co-digesting whey with diluted poultry manure. Renew. Energy 2007, 32, 2147–2160. [Google Scholar] [CrossRef]
- Kavacik, B.; Topaloglu, B. Biogas production from co-digestion of a mixture of cheese whey and dairy manure. Biomass Bioenergy 2010, 34, 1321–1329. [Google Scholar] [CrossRef]
- Hallaji, S.M.; Kuroshkarim, M.; Moussavi, S.P. Enhancing methane production using anaerobic co-digestion of waste activated sludge with combined fruit waste and cheese whey. BMC Biotechnol. 2019, 19, 19. [Google Scholar] [CrossRef]
- Costa, J.C.; Gonçalves, P.R.; Nobre, A.; Alves, M.M. Biomethanation potential of macroalgae Ulva spp. and Gracilaria spp. and in co-digestion with waste activated sludge. Bioresour. Technol. 2012, 114, 320–326. [Google Scholar] [CrossRef]
- Kouas, M.; Torrijos, M.; Sousbie, P.; Harmand, J.; Sayadi, S. Modeling the anaerobic co-digestion of solid waste: From batch to semi-continuous simulation. Bioresour. Technol. 2019, 274, 33–42. [Google Scholar] [CrossRef]
- Tadesse, M.; Adamu, M. Design and Development of Biogas Production System from Waste Coffee Pulp and its Waste Water Around Tepi. Int. J. Recent Dev. Eng. Technol. 2017, 6, 18–30. [Google Scholar]
- Pandey, A.; Soccol, C.R.; Nigam, P.; Brand, D.; Mohan, R.; Roussos, S. Biotechnological potential of coffee pulp and coffee husk for bioprocesses. Biochem. Eng. J. 2000, 6, 153–162. [Google Scholar] [CrossRef]
- Chandra, R.; Takeuchi, H.; Hasegawa, T. Methane production from lignocellulosic agricultural crop wastes: A review in context to second generation of biofuel production. Renew. Sustain. Energy Rev. 2012, 16, 1462–1476. [Google Scholar] [CrossRef]
- American Public Health Association; American Water Works Association; Water Pollution Control Federation. Standard Methods for the Examination of Water and Wastewater; American Public Health Association: Washington, DC, USA, 2012. [Google Scholar]
- HACH. Chemical Oxygen Demand, Reactor Digestion Method; Method 8000; HACH: Loveland, CO, USA, 2000. [Google Scholar]
- Dubois, M.; Gilles, K.A.; Hamilton, J.K.; Rebers, P.A.; Smith, F. Colorimetric method for determination of sugars and related substances. Anal. Chem. 1956, 28, 350–356. [Google Scholar] [CrossRef]
- Jenkins, S.R.; Morgan, J.M.; Sawyer, C.L. Measuring anaerobic sludge digestion and growth by a simple alkalimetric titration. J. Water Pollut. Control Fed. 1983, 448–453. [Google Scholar]
- Drosg, B.; Braun, R.; Bochmann, G.; Al Saedi, T. Analysis and characterisation of biogas feedstocks. In The Biogas Handbook; Wellinger, A., Murphy, J., David, B., Eds.; Woodhead Publishing: Cambridge, UK, 2013; pp. 52–84. [Google Scholar]
- Hussain, A.; Dubey, S.K. Specific methanogenic activity test for anaerobic treatment of phenolic wastewater. Desalination Water Treat. 2014, 52, 7015–7025. [Google Scholar] [CrossRef]
- Nielfa, A.; Cano, R. Theoretical methane production generated by the co-digestion of organic fraction municipal solid waste and biological sludge. Biotechnol. Rep. 2015, 5, 14–21. [Google Scholar] [CrossRef]
- Zhai, N.; Zhang, T.; Yin, D.; Yang, G.; Wang, X.; Ren, G.; Feng, Y. Effect of initial pH on anaerobic co-digestion of kitchen waste and cow manure. Waste Manag. 2015, 38, 126–131. [Google Scholar] [CrossRef]
- Chavan, R.S.; Shraddha, R.C.; Kumar, A.; Nalawade, T. Whey based beverage: Its functionality, formulations, health benefits and applications. J. Food Process. Technol. 2015, 6, 1. [Google Scholar]
- Hublin, A.; Zokić, T.I.; Zelić, B. Optimization of biogas production from co-digestion of whey and cow manure. Biotechnol. Bioprocess Eng. 2012, 17, 1284–1293. [Google Scholar] [CrossRef]
- Corro, G.; Paniagua, L.; Pal, U.; Bañuelos, F.; Rosas, M. Generation of biogas from coffee-pulp and cow-dung co-digestion: Infrared studies of postcombustion emissions. Energy Convers. Manag. 2013, 74, 471–481. [Google Scholar] [CrossRef]
- Yoplac, I.; Yalta, J.; Vásquez, H.V.; Maicelo, J.L. Efecto de la Alimentación con Pulpa de Café (Coffea arabica) en los Índices Productivos de Cuyes (Cavia porcellus L) Raza Perú. Rev. Investig. Vet. Del Perú 2017, 28, 549. [Google Scholar] [CrossRef]
- Aguirre, L.; Rodríguez, Z.; Saca, V.; Apolo, V. Bromatological characterization of coffee (Coffea arabica L.) pulp for animal feeding purposes. Cuba, J. Agric. Sci. 2018, 52, 165–172. [Google Scholar]
- Lossie, U.; Pütz, P. Control orientado de plantas de biogás con la ayuda de FOS/TAC. HACH CANGE 2011. Available online: https://de.hach.com/asset-get.download.jsa?id=25593611197 (accessed on 10 January 2021).
- Kwietniewska, E.; Tys, J. Process characteristics, inhibition factors and methane yields of anaerobic digestion process, with particular focus on microalgal biomass fermentation. Renew. Sustain. Energy Rev. 2014, 34, 491–500. [Google Scholar] [CrossRef]
- Flores-Mendoza, A.P.; Hernández-García, H.; Cocotle-Ronzón, Y.; Hernandez-Martinez, E. Methanogenesis of raw cheese whey: PH and substrate–inoculum ratio evaluation at mesophyll temperature range. J. Chem. Technol. Biotechnol. 2020, 95, 1946–1952. [Google Scholar] [CrossRef]
- Logan, M.; Safi, M.; Lens, P.; Visvanathan, C. Investigating the performance of internet of things based anaerobic digestion of food waste. Process. Saf. Environ. Prot. 2019, 127, 277–287. [Google Scholar] [CrossRef]


| Parameter | Cheese Whey | Inoculum | 
|---|---|---|
| pH | 4.8 ± 0.1 | 7.65 | 
| Total carbohydrates (g L−1) | 0.064 | 2.04 | 
| Lactose (g L−1) | 82.97 | - | 
| Fat (g L−1) | 5.7 | - | 
| COD (g L−1) | 153.14 | 283.08 | 
| VFA (g L−1) | 0.099 | 5.268 | 
| Total solids (g L−1) | 134.87 | 104.08 | 
| Volatile solids (g L−1) | 123.26 | 48.80 | 
| SMA (gCOD gTSi−1 d−1) | - | 0.180 | 
| E | pH | SW/SC | FOS/TAC | TCH Consumption | PCH4 | Degradation (%) | 
|---|---|---|---|---|---|---|
| 1 | 6 | 1 | 0.45 | 2.26 ± 0.1 | 71.54 ± 4.1 | 30.6 ± 0.27 | 
| 2 | 6 | 4 | 0.46 | 4.29 ± 0.1 | 67.63 ± 22.4 | 31.5 ± 7 | 
| 3 | 7 | 0.379 | 0.26 | 1.97 ± 0.01 | 48.83 ± 30.8 | 13.4 ± 2.38 | 
| 4 | 7 | 2.5 | 0.28 | 4 ± 0.76 | 47.52 ± 3.9 | 21.6 ± 5.18 | 
| 5 | 7 | 2.5 | 0.29 | 4.07 ± 0.82 | 41.98 ± 2.7 | 21.2 ± 0.45 | 
| 6 | 7 | 2.5 | 0.28 | 4.04 ± 0.78 | 30.77 ± 3.7 | 21.7 ± 1.19 | 
| 7 | 7 | 2.5 | 0.27 | 4.05 ± 0.8 | 25.59 ± 4.3 | 20.8 ± 4.03 | 
| 8 | 7 | 2.5 | 0.28 | 4.03 ± 0.84 | 46.47 ± 3.8 | 23.5 ± 2.22 | 
| 9 | 7 | 2.5 | 0.27 | 4.08 ± 0.83 | 39.68 ± 4.8 | 14.3 ± 1.93 | 
| 10 | 7 | 4.62 | 0.31 | 5.83 ± 0.02 | 69.22 ± 16.9 | 32.8 ± 6.5 | 
| 11 | 8 | 1 | 0.20 | 2.86 ± 0.04 | 16.24 ± 14.17 | 22.8 ± 8.71 | 
| 12 | 8 | 4 | 0.24 | 4.44 ± 0.04 | 33.46 ± 15.6 | 15.7 ± 10.2 | 
| Test | Experimental | Exponential | Gompertz | ||||||
|---|---|---|---|---|---|---|---|---|---|
| pH | SW/SC | PCH4 | µ | Pmax | R2 | Rmax | λ | Pmax | |
| 1 | 6 | 1 | 71.54 | 0.064 | 70.466 | 0.918 | 2.436 | 0.000 | 79.196 | 
| 2 | 6 | 4 | 67.63 | 0.042 | 80.042 | 0.907 | 2.269 | 0.000 | 81.775 | 
| 3 | 7 | 0.379 | 48.83 | 0.093 | 49.049 | 0.972 | 3.221 | 0.000 | 45.337 | 
| 4–9 | 7 | 2.5 | 39.67 | 0.184 | 36.741 | 0.975 | 5.538 | 0.361 | 34.857 | 
| 10 | 7 | 4.621 | 69.22 | 0.126 | 73.435 | 0.932 | 15.353 | 0.994 | 62.202 | 
| 11 | 8 | 1 | 16.24 | 0.020 | 31.439 | 0.963 | 0.945 | 3.057 | 31.140 | 
| 12 | 8 | 4 | 33.46 | 0.020 | 25.581 | 0.922 | 1.448 | 13.606 | 23.697 | 
| Publisher’s Note: MDPI stays neutral with regard to jurisdictional claims in published maps and institutional affiliations. | 
© 2021 by the authors. Licensee MDPI, Basel, Switzerland. This article is an open access article distributed under the terms and conditions of the Creative Commons Attribution (CC BY) license (https://creativecommons.org/licenses/by/4.0/).
Share and Cite
Gonzalez-Piedra, S.; Hernández-García, H.; Perez-Morales, J.M.; Acosta-Domínguez, L.; Bastidas-Oyanedel, J.-R.; Hernandez-Martinez, E. A Study on the Feasibility of Anaerobic Co-Digestion of Raw Cheese Whey with Coffee Pulp Residues. Energies 2021, 14, 3611. https://doi.org/10.3390/en14123611
Gonzalez-Piedra S, Hernández-García H, Perez-Morales JM, Acosta-Domínguez L, Bastidas-Oyanedel J-R, Hernandez-Martinez E. A Study on the Feasibility of Anaerobic Co-Digestion of Raw Cheese Whey with Coffee Pulp Residues. Energies. 2021; 14(12):3611. https://doi.org/10.3390/en14123611
Chicago/Turabian StyleGonzalez-Piedra, Sandra, Héctor Hernández-García, Juan M. Perez-Morales, Laura Acosta-Domínguez, Juan-Rodrigo Bastidas-Oyanedel, and Eliseo Hernandez-Martinez. 2021. "A Study on the Feasibility of Anaerobic Co-Digestion of Raw Cheese Whey with Coffee Pulp Residues" Energies 14, no. 12: 3611. https://doi.org/10.3390/en14123611
APA StyleGonzalez-Piedra, S., Hernández-García, H., Perez-Morales, J. M., Acosta-Domínguez, L., Bastidas-Oyanedel, J.-R., & Hernandez-Martinez, E. (2021). A Study on the Feasibility of Anaerobic Co-Digestion of Raw Cheese Whey with Coffee Pulp Residues. Energies, 14(12), 3611. https://doi.org/10.3390/en14123611
 
         
                                                

 
                         
       