Deep Convolutional Feature-Based Probabilistic SVDD Method for Monitoring Incipient Faults of Batch Process
Abstract
1. Introduction
2. Preliminaries
2.1. Batch Process Data Preprocessing
2.2. Overview of SVDD Principle
2.3. PCA-SVDD Method
3. The Proposed DPSVDD Method
3.1. Method Framework
3.2. Deep Convolutional Feature Extraction
3.3. Probabilistic Monitoring Index Construction
4. Batch Process Monitoring Procedure
- Collect the offline training data from the batch process and perform the preprocessing using the batch-variable mode.
- Apply the deep convolutional autoecoder to extract the encoder output and the reconstruction errors as the process deep features.
- Compute the probability-related features by the KL divergence corresponding to the training data.
- Build SVDD models based on the probability-related features of training data.
- Compute the detection threshold of monitoring indices.
- Collect the online new data vector and preprocess it based on the training data.
- Project the preprocessed data onto CAE and obtain the corresponding features.
- Compute the probability-related features by the KL divergence for the new data.
- Calculate the monitoring indices of the new data vector.
- Compare the monitoring indices with the corresponding detection threshold and judge the process status.
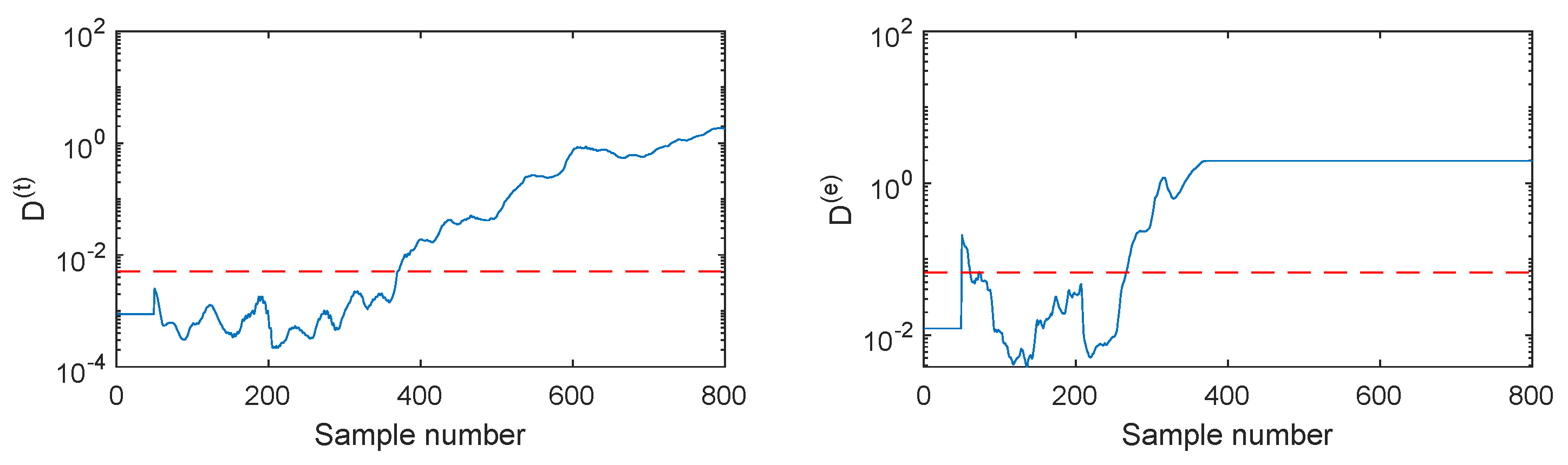
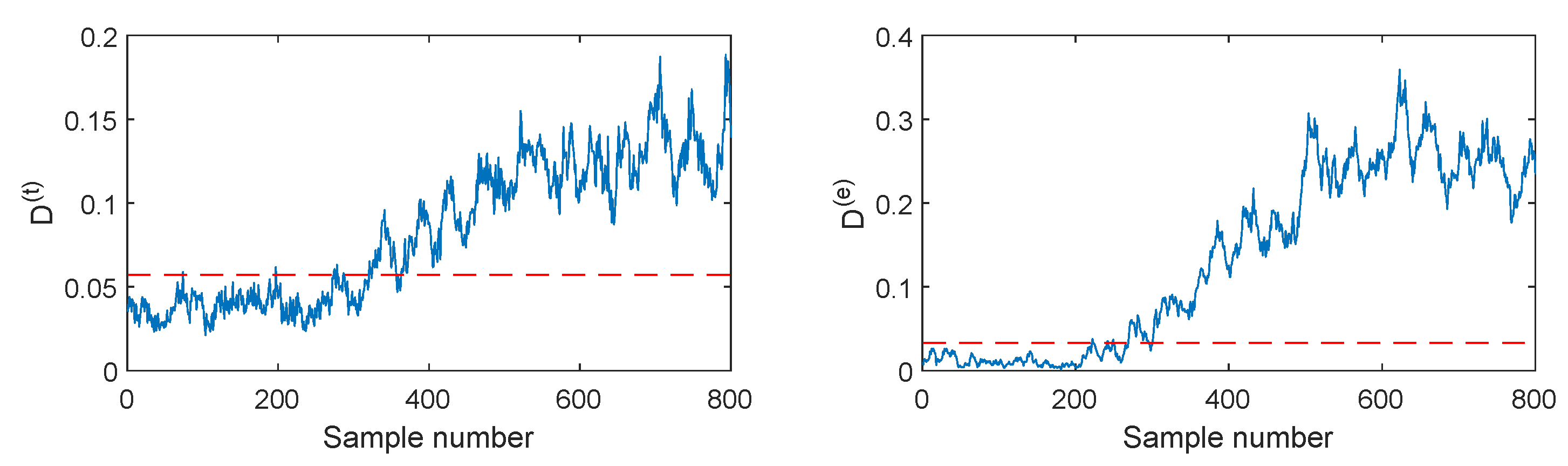
5. Case Study
6. Conclusions
Author Contributions
Funding
Institutional Review Board Statement
Informed Consent Statement
Data Availability Statement
Conflicts of Interest
References
- Yu, W.; Zhao, C.; Huang, B. Stationary subspace analysis-based hierarchical model for batch processes monitoring. IEEE Trans. Control Syst. Technol. 2021, 29, 444–453. [Google Scholar] [CrossRef]
- Zhang, H.; Deng, X.; Zhang, Y.; Hou, C.; Li, C. Dynamic nonlinear batch process fault detection and identification based on two-directional dynamic kernel slow feature analysis. Can. J. Chem. Eng. 2021, 99, 306–333. [Google Scholar] [CrossRef]
- Rendall, R.; Chiang, L.H.; Reis, M.S. Data-driven methods for batch data analysis–A critical overview and mapping on the complexity scale. Comput. Chem. Eng. 2019, 124, 1–13. [Google Scholar] [CrossRef]
- Jiang, Q.; Yan, S.; Yan, X.; Yi, H.; Gao, F. Data-driven two-dimensional deep correlated representation learning for nonlinear batch process monitoring. IEEE Trans. Ind. Inform. 2020, 16, 2839–2848. [Google Scholar] [CrossRef]
- Taqvi, S.A.A.; Zabiri, H.; Tufa, L.D.; Uddin, F.; Fatima, S.A.; Maulud, A.S. A review on data-driven learning approaches for fault detection and diagnosis in chemical processes. ChemBioEng Rev. 2021. [Google Scholar] [CrossRef]
- Zhang, Z.; Deng, X. Anomaly detection using improved deep SVDD model with data structure preservation. Pattern Recognit. Lett. 2021, 148, 1–6. [Google Scholar] [CrossRef]
- Deng, X.; Zhang, Z. Nonlinear chemical process fault diagnosis using ensemble deep support vector data description. Sensors 2020, 20, 4599. [Google Scholar] [CrossRef] [PubMed]
- Ge, Z.; Song, Z. Semiconductor manufacturing process monitoring based on adaptive substatistical pca. IEEE Trans. Semicond. Manuf. 2010, 23, 99–108. [Google Scholar]
- Pimentel, P.; Fern, A.; Peres, T.N.; Anzanello, M.J. Fault detection in batch processes through variable selection integrated to multiway principal component analysis. J. Process Control 2019, 80, 223–234. [Google Scholar]
- Yao, M.; Wang, H. On-line monitoring of batch processes using generalized additive kernel principal component analysis. J. Process Control 2015, 28, 56–72. [Google Scholar] [CrossRef]
- Gao, X.; Xu, Z.; Li, Z.; Wang, P. Batch process monitoring using multiway Laplacian autoencoders. Can. J. Chem. Eng. 2020, 98, 1269–1279. [Google Scholar] [CrossRef]
- Zhang, S.; Zhao, C. Slow-feature-analysis-based batch process monitoring with comprehensive interpretation of operation condition deviation and dynamic anomaly. IEEE Trans. Ind. Electron. 2019, 66, 3773–3783. [Google Scholar] [CrossRef]
- Zhang, H.; Tian, X.; Deng, X.; Cao, Y. Batch process fault detection and identification based on discriminant global preserving kernel slow feature analysis. ISA Trans. 2018, 79, 108–126. [Google Scholar] [CrossRef]
- Cao, Y.; Hu, Y.; Deng, X.; Tian, X. Quality-relevant batch process fault detection using a multiway multi-subspace cva method. IEEE Access 2017, 5, 23256–23265. [Google Scholar] [CrossRef]
- Ge, Z.; Gao, F.; Song, Z. Batch process monitoring based on support vector data description method. J. Process Control 2011, 21, 949–959. [Google Scholar] [CrossRef]
- Yao, M.; Wang, H.; Xu, W. Batch process monitoring based on functional data analysis and support vector data description. J. Process Control 2014, 24, 1085–1097. [Google Scholar] [CrossRef]
- Lv, Z.; Yan, X. Hierarchical support vector data description for batch process monitoring. Ind. Eng. Chem. Res. 2016, 55, 9205–9214. [Google Scholar] [CrossRef]
- Wang, J.; Qiu, K.; Liu, W.; Yu, T.; Zhao, L. Unsupervised-multiscale-sequential-partitioning and multiple-svdd-model-based process-monitoring method for multiphase batch processes. Ind. Eng. Chem. Res. 2018, 57, 17437–17451. [Google Scholar] [CrossRef]
- Lv, Z.; Yan, X.; Jiang, Q.; Li, N. Just-in-time learning-multiple subspace support vector data description used for non-Gaussian dynamic batch process monitoring. J. Chemom. 2019, 33, e3134. [Google Scholar] [CrossRef]
- Zhang, M.; Yi, Y.; Chen, W. Multistage condition monitoring of batch process based on multi-boundary hypersphere svdd with modifed bat algorithm. Arab. J. Sci. Eng. 2021, 46, 1647–1661. [Google Scholar] [CrossRef]
- Wang, X.; Wang, Y.; Deng, X.; Cao, Y. A batch process monitoring method using two-dimensional localized dynamic support vector data description. IEEE Access 2020, 8, 181192–181204. [Google Scholar] [CrossRef]
- Li, G.; Hu, Y.; Chen, H.; Shen, L.; Li, H.; Hu, M.; Liu, J.; Sun, K. An improved fault detection method for incipient centrifugal chiller faults using the PCA-R-SVDD algorithm. Energy Build. 2016, 116, 104–113. [Google Scholar] [CrossRef]
- Zhang, Y.; Li, X. Two-step support vector data description for dynamic, non-linear, and non-Gaussian processes monitoring. Can. J. Chem. Eng. 2020, 98, 2109–2124. [Google Scholar] [CrossRef]
- Wang, Z.; Li, S.; Song, H.; Zhou, X. Monitoring based on MIC-PCA and SVDD for industrial process. In Proceedings of the 2017 IEEE 2nd Advanced Information Technology, Electronic and Automation Control Conference, Chongqing, China, 25–26 March 2017; pp. 1210–1214. [Google Scholar]
- Wang, H.; Liu, C.; Jiang, D.; Jiang, Z. Collaborative deep learning framework for fault diagnosis in distributed complex systems. Mech. Syst. Signal Process. 2021, 156, 107650. [Google Scholar] [CrossRef]
- Otter, D.W.; Medina, J.R.; Kalita, J.K. A survey of the usages of deep learning for natural language processing. IEEE Trans. Neural Netw. Learn. Syst. 2021, 32, 604–624. [Google Scholar] [CrossRef]
- Sengupta, S.; Basak, S.; Saikia, P.; Paul, S.; Tsalavoutis, V.; Atiah, F.; Ravi, V.; Peters, A. A review of deep learning with special emphasis on architectures, applications and recent trends. Knowl. Based Syst. 2020, 194, 105596. [Google Scholar] [CrossRef]
- Tax, D.M.J.; Duin, R.P.W. Support vector data description. Mach. Learn. 2004, 54, 45–66. [Google Scholar] [CrossRef]
- Majumdar, A. Kernelized linear autoencoder. Neural Process. Lett. 2021, 53, 1597–1614. [Google Scholar] [CrossRef]
- Lin, G.; Fan, C.; Chen, W.; Chen, Y.; Zhao, F. Class label autoenocoder with structure refinement for zero-shot learning. Neurocomputing 2021, 428, 54–64. [Google Scholar] [CrossRef]
- Palsson, B.; Ulfarsson, M.O.; Sveinsson, J.R. Convolutional autoencoder for spectral spatial hyperspectral unmixing. IEEE Trans. Geosci. Remote Sens. 2021, 59, 535–549. [Google Scholar] [CrossRef]
- Yu, J.; Zhou, X. One-dimensional residual convolutional autoencoder based feature learning for gearbox fault diagnosis. IEEE Trans. Ind. Inform. 2020, 16, 6347–6358. [Google Scholar] [CrossRef]
- Zhou, Y.; Xu, K.; He, F.; He, D. Nonlinear fault detection for batch process via improved chordal kernel tensor locality preserving projections. Control Eng. Pract. 2020, 101, 104514. [Google Scholar] [CrossRef]
- Chang, P.; Ding, C.; Zhao, Q. Fault diagnosis of microbial pharmaceutical fermentation process with non-Gaussian and nonlinear coexistence. Chemom. Intell. Lab. Syst. 2020, 199, 103931. [Google Scholar]
- Birol, G.; Undey, C.; Cinar, A. A modular simulation package for fed-batch fermentation: Penicillin production. Comput. Chem. Eng. 2002, 26, 1553–1565. [Google Scholar] [CrossRef]















| No. | Fault Variable | Fault Type | Fault Amplitude | Lasting Time (h) |
|---|---|---|---|---|
| F1 | Aeration rate | Step | 5% | 101–400 |
| F2 | Aeration rate | Ramp | 0.5 | 101–400 |
| F3 | Agitator rate | Step | 1% | 101–400 |
| F4 | Agitator rate | Ramp | 0.45 | 101–400 |
| F5 | Substrate feed rate | Step | 6% | 101–400 |
| F6 | Substrate feed rate | Ramp | 0.003 | 101–400 |
| No. | Parameters | Value |
|---|---|---|
| 1 | input patch size | 17×17 |
| 2 | filter number and size in 1st convolution Layer | 8, |
| 3 | size in 1st average pooling layer | |
| 4 | filter number and size in 2nd convolution Layer | 4, |
| 5 | size in 2nd average pooling layer | |
| 6 | filter number and size in 3rd convolution Layer | 1, |
| 7 | size in 3rd average pooling layer | |
| 8 | filter number and size in 1st deconvolution Layer | 4, |
| 9 | size in 1st upsampling layer | |
| 10 | filter number and size in 2nd deconvolution Layer | 2, |
| 11 | size in 2nd upsampling layer | |
| 12 | filter number and size in 3rd deconvolution Layer | 8, |
| 13 | size in 3rd upsampling layer | |
| 14 | filter number and size in 4th deconvolution Layer | 16, |
| 15 | filter number and size in 5th deconvolution Layer | 1, |
| Method | SVDD | PCA-SVDD | AE-SVDD | CAE-SVDD | DPSVDD | ||||
|---|---|---|---|---|---|---|---|---|---|
| Index | |||||||||
| F1 | 27.50 | 30.33 | 3.50 | 22.33 | 26.50 | 17.17 | 98.83 | 91.33 | 96.83 |
| F2 | 61.00 | 62.00 | 12.00 | 58.50 | 61.67 | 48.50 | 87.17 | 71.83 | 89.17 |
| F3 | 8.83 | 8.17 | 4.17 | 8.00 | 7.83 | 85.17 | 92.83 | 96.17 | 93.50 |
| F4 | 57.17 | 55.17 | 24.50 | 56.17 | 55.33 | 81.83 | 82.83 | 89.50 | 82.67 |
| F5 | 37.50 | 37.00 | 3.67 | 40.50 | 28.33 | 79.50 | 88.50 | 88.00 | 87.83 |
| F6 | 53.50 | 54.17 | 7.33 | 55.50 | 50.00 | 66.83 | 72.33 | 76.67 | 72.33 |
| Mean | 40.92 | 41.14 | 9.19 | 40.17 | 38.28 | 63.17 | 87.08 | 85.58 | 87.06 |
| Method | SVDD | PCA-SVDD | AE-SVDD | CAE-SVDD | DPSVDD | ||||
|---|---|---|---|---|---|---|---|---|---|
| Index | |||||||||
| FAR | 1.25 | 1.17 | 1.08 | 1.25 | 1.00 | 1.33 | 0.42 | 0.92 | 3.0 |
Publisher’s Note: MDPI stays neutral with regard to jurisdictional claims in published maps and institutional affiliations. |
© 2021 by the authors. Licensee MDPI, Basel, Switzerland. This article is an open access article distributed under the terms and conditions of the Creative Commons Attribution (CC BY) license (https://creativecommons.org/licenses/by/4.0/).
Share and Cite
Wang, X.; Wang, Y.; Deng, X.; Zhang, Z. Deep Convolutional Feature-Based Probabilistic SVDD Method for Monitoring Incipient Faults of Batch Process. Energies 2021, 14, 3334. https://doi.org/10.3390/en14113334
Wang X, Wang Y, Deng X, Zhang Z. Deep Convolutional Feature-Based Probabilistic SVDD Method for Monitoring Incipient Faults of Batch Process. Energies. 2021; 14(11):3334. https://doi.org/10.3390/en14113334
Chicago/Turabian StyleWang, Xiaohui, Yanjiang Wang, Xiaogang Deng, and Zheng Zhang. 2021. "Deep Convolutional Feature-Based Probabilistic SVDD Method for Monitoring Incipient Faults of Batch Process" Energies 14, no. 11: 3334. https://doi.org/10.3390/en14113334
APA StyleWang, X., Wang, Y., Deng, X., & Zhang, Z. (2021). Deep Convolutional Feature-Based Probabilistic SVDD Method for Monitoring Incipient Faults of Batch Process. Energies, 14(11), 3334. https://doi.org/10.3390/en14113334

