Acid Corrosion Analysis in the Initial Condensation Zone of a H2O/CO2 Turbine
Abstract
1. Introduction
2. Corrosion Model and CFD Method
2.1. Corrosion Model
2.1.1. Mass Transfer Model
2.1.2. Electrochemical Model
2.2. Three-Dimensional CFD Method
3. Results and Discussion
3.1. Model Validation
3.2. Prediction and Analysis of CO2 Corrosion
3.2.1. Results of CFD Simulation
3.2.2. Corrosion Characteristics in the Initial Condensation Zone
3.3. Influences of CO2 Corrosion on Turbine Blades
3.3.1. Influence on Turbine Performance
3.3.2. Influence on Corrosion Characteristics
4. Conclusions
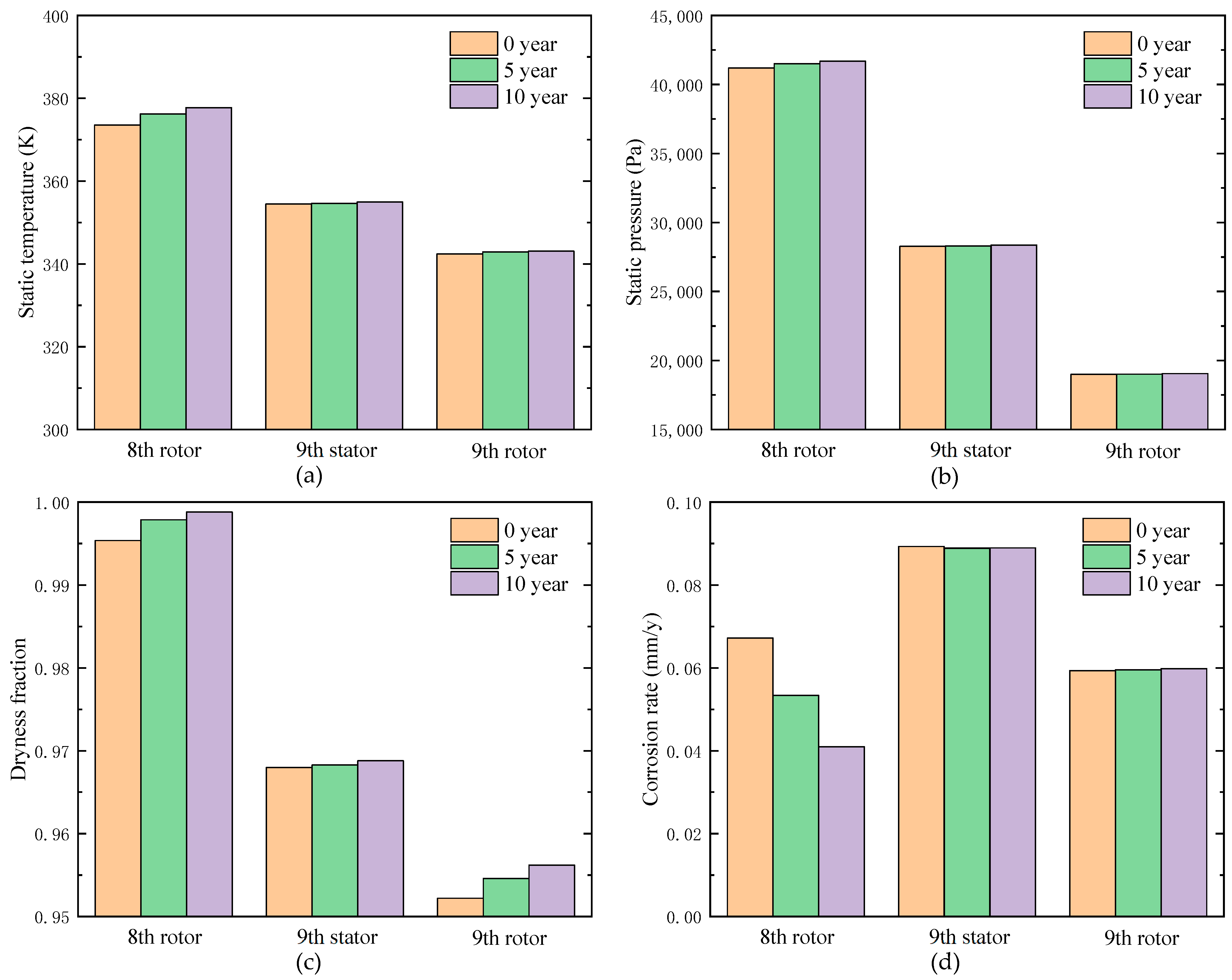
- In H2O/CO2 turbines, the temperature and pressure of the working fluid are the main factors affecting the CO2 corrosion rate. In simple terms, the corrosion rate decreases with the temperature and pressure in the ICZ. For rotor blades, the corrosion rate increases with blade height and is larger near the hub (or the shroud for a stator blade). The most readily corrodible position is the leading edge and the pressure surface at 60% height of the 8th rotor blade.
- For 10 years’ service time with corrosion, the total-to-static efficiency (ηts) of the turbine decreases about 0.6%, while that of the 8th and 9th stages decrease 1.5% and 5.1%, respectively. After the 5th year, the decline in performance is no longer significant. The principle of this phenomenon needs more in-depth studies and investigations in order to be defined.
- The corrosion area on the blade surfaces shrinks with the service time due to the rearward movement of the initial condensation zone. The corrosion rate of the first blade in the condensation zone decreases with the service time, while the corrosion rate of the other blades maintains a steady value.
Author Contributions
Funding
Institutional Review Board Statement
Informed Consent Statement
Data Availability Statement
Conflicts of Interest
References
- Conti, J.; Holtberg, P.; Diefenderfer, J.; LaRose, A.; Turnure, J.T.; Westfall, L. International Energy Outlook 2016 with Projections to 2040; USDOE Energy Information Administration (EIA); Office of Energy Analysis: Washington, DC, USA, 2016.
- Mohamued, E.A.; Ahmed, M.; Pypłacz, P.; Liczmańska-Kopcewicz, K.; Khan, M.A. Global Oil Price and Innovation for Sustainability: The Impact of R&D Spending, Oil Price and Oil Price Volatility on GHG Emissions. Energies 2021, 14, 1757. [Google Scholar] [CrossRef]
- Guo, L.; Jin, H. Boiling Coal in Water: Hydrogen Production and Power Generation System with Zero Net CO2 Emission Based on Coal and Supercritical Water Gasification. Int. J. Hydrogen Energy 2013, 38, 12953–12967. [Google Scholar] [CrossRef]
- Ma, Z.; Wang, X.; Jiang, T.; Wang, W.; Xu, Y. Study on Acid Corrosion Characteristics in Low-Pressure Stage Initial Condensation Zone of Supercritical H2O/CO2 Turbine. IOP Conf. Ser. Mater. Sci. Eng. 2021, 1081, 012008. [Google Scholar] [CrossRef]
- Wang, Z.; Ma, J.; Wang, S.; Wang, M. Investigation on the Effects of Blade Corrosion on Compressor Performance. J. Chin. Inst. Eng. 2016, 39, 816–824. [Google Scholar] [CrossRef]
- Chen, G.; Jiang, P.; Ye, X.; Zhang, J.; Hu, Y.; Hao, Z. Stress Corrosion Cracking and Corrosion Fatigue Analysis of Nuclear Steam Turbine Rotor. Proc. ASME Turbo Expo 2014, 1. [Google Scholar] [CrossRef]
- Souza, R.C.; Santos, B.A.F.; Gonçalves, M.C.; Mendes Júnior, E.P.; Simões, T.A.; Oliveira, J.R.; Vaz, G.L.; Caldeira, L.; Gomes, J.A.C.P.; Bueno, A.H. The Role of Temperature and H2S (Thiosulfate) on the Corrosion Products of API X65 Carbon Steel Exposed to Sweet Environment. J. Pet. Sci. Eng. 2019, 180, 78–88. [Google Scholar] [CrossRef]
- Pessu, F.; Barker, R.; Neville, A. CO2 Corrosion of Carbon Steel: The Synergy of Chloride Ion Concentration and Temperature on Metal Penetration. Corrosion 2020, 76. [Google Scholar] [CrossRef]
- Kobayashi, K.; Omura, T.; Amaya, H. Effect of Buffer System on the Sulfide Stress Cracking Susceptibility of Low-Alloy Steel. Corrosion 2018, 74, 788–800. [Google Scholar] [CrossRef]
- Alanazi, N.M.; Al-Enezi, A.A. The Effect of the Partial Pressure of H2S and CO2 on the Permeation of Hydrogen in Carbon Steel by Using Pressure Buildup Techniques. Corrosion 2019, 75, 1207–1215. [Google Scholar] [CrossRef]
- Kahyarian, A.; Brown, B.; Nešić, S. Technical Note: Electrochemistry of CO2 Corrosion of Mild Steel: Effect of CO2 on Cathodic Currents. Corrosion 2018, 74, 851–859. [Google Scholar] [CrossRef]
- Pojtanabuntoeng, T.; Salasi, M. An Electrochemical Study of Carbon Steel CO2 Corrosion in the Presence of Monoethylene Glycol: The Effects of PH and Hydrodynamic Conditions. Electrochim. Acta 2017, 258, 442–452. [Google Scholar] [CrossRef]
- Hu, H.; Cheng, Y.F. Modeling by Computational Fluid Dynamics Simulation of Pipeline Corrosion in CO2-Containing Oil-Water Two Phase Flow. J. Pet. Sci. Eng. 2016, 146, 134–141. [Google Scholar] [CrossRef]
- Pessu, F.; Barker, R.; Neville, A. The Influence of PH on Localized Corrosion Behavior of X65 Carbon Steel in CO2-Saturated Brines. Corrosion 2015, 71, 1452–1466. [Google Scholar] [CrossRef]
- De Motte, R.; Mingant, R.; Kittel, J.; Ropital, F.; Combrade, P.; Necib, S.; Deydier, V.; Crusset, D. Near Surface PH Measurements in Aqueous CO2 Corrosion. Electrochim. Acta 2018, 290, 605–615. [Google Scholar] [CrossRef]
- Tanupabrungsun, T. Thermodynamics and Kinetics of Carbon Dioxide Corrosion of Mild Steel at Elevated Temperatures. Ph.D. Thesis, Ohio University, Athens, OH, USA, 2013. [Google Scholar]
- De Waard, C.; Lotz, U.; Milliams, D.E. Predictive Model for CO2 Corrosion Engineering in Wet Natural Gas Pipelines. Corrosion 1991, 47, 979–985. [Google Scholar] [CrossRef]
- Guo, X.-P.; Tomoe, Y. The Effect of Corrosion Product Layers on the Anodic and Cathodic Reactions of Carbon Steel in CO2-Saturated Mdea Solutions at 100 °C. Corros. Sci. 1999, 41, 1391–1402. [Google Scholar] [CrossRef]
- Choi, Y.-S.; Nešić, S. Determining the Corrosive Potential of CO2 Transport Pipeline in High PCO2–Water Environments. Int. J. Greenh. Gas Control 2011, 5, 788–797. [Google Scholar] [CrossRef]
- Wei, L. Study of Corrosion Mechanism of Steels in Supercritical CO2 Environment. Ph.D. Thesis, University of Science and Technology Beijing, Beijing, China, 2017. [Google Scholar]
- Nešić, S. Key Issues Related to Modelling of Internal Corrosion of Oil and Gas Pipelines—A Review. Corros. Sci. 2007, 49, 4308–4338. [Google Scholar] [CrossRef]
- Kahyarian, A.; Singer, M.; Nesic, S. Modeling of Uniform CO2 Corrosion of Mild Steel in Gas Transportation Systems: A Review. J. Nat. Gas Sci. Eng. 2016, 29, 530–549. [Google Scholar] [CrossRef]
- Nesic, S.; Postlethwaite, J.; Olsen, S. An Electrochemical Model for Prediction of Corrosion of Mild Steel in Aqueous Carbon Dioxide Solutions. Corrosion 1996, 52, 280–294. [Google Scholar] [CrossRef]
- Dayalan, E.; Shadley, J.; Rybicki, E.; Shirazi, S.; Moraes, F. CO2 Corrosion Prediction in Pipe Flow Under FeCO3 Scale-Forming Conditions. Corrosion 1998, 98. [Google Scholar]
- Turgoose, S.; Cottis, R.A.; Lawson, K. Modeling of Electrode Processes and Surface Chemistry in Carbon Dioxide Containing Solutions. Comput. Modeling Corros. 1992. [Google Scholar] [CrossRef]
- Pots, B.F.M. Mechanistic Models for the Prediction of CO2 Corrosion Rates under Multi-Phase Flow Conditions; NACE International: Houston, TX, USA, 1995. [Google Scholar]
- Nesic, S.; Nyborg, R.; Stangeland, A.; Nordsveen, M. Mechanistic Modeling for CO2 Corrosion with Protective Iron Carbonate Films; OnePetro: Houston, TX, USA, 2001. [Google Scholar]
- Equinor, M.; Nesic, S.; Nyborg, R.; Stangeland, A. A Mechanistic Model for Carbon Dioxide Corrosion of Mild Steel in the Presence of Protective Iron Carbonate Films—Part 1: Theory and Verification. Corrosion 2003, 59, 443–456. [Google Scholar] [CrossRef]
- Zhang, M.; Liu, Y.; Yang, J.; Jiang, X.; Shao, W.; Wang, X. Design and Analysis of a Multi-stage Axial Turbine for Gasified Coal-water Power System. Int. J. Energy Res. 2021, 45, 7352–7365. [Google Scholar] [CrossRef]
- Cao, L. Study on Performance Degradation of the Gas Turbine Compressor under Salt-Spray Corrosion Conditions. Ph.D. Thesis, Harbin Engineering University, Harbin, China, 2015. [Google Scholar]
- Palmer, D.A.; Van Eldik, R. The Chemistry of Metal Carbonato and Carbon Dioxide Complexes. Chem. Rev. 1983, 83, 651–731. [Google Scholar] [CrossRef]
- Oddo, J.; Tomson, M. Simplified Calculation of CaCO3 Saturation at High Temperatures and Pressures in Brine Solutions. J. Pet. Technol. 1982, 34, 1583–1590. [Google Scholar] [CrossRef]
- Nešić, S.; Kahyarian, A.; Choi, Y.S. Implementation of a Comprehensive Mechanistic Prediction Model of Mild Steel Corrosion in Multiphase Oil and Gas Pipelines. Corrosion 2018, 75, 274–291. [Google Scholar] [CrossRef]
- Adams, T.; Grant, C.; Watson, H. A Simple Algorithm to Relate Measured Surface Roughness to Equivalent Sand-Grain Roughness. Int. J. Mech. Eng. Mechatron. 2012, 1, 66–71. [Google Scholar] [CrossRef]
- De Waard, C.; Milliams, D.E. Carbonic Acid Corrosion of Steel. Corrosion 2013, 31, 177–181. [Google Scholar] [CrossRef]












| Species | Diffusion Coefficient (m2∙s−2) | Reference |
|---|---|---|
| 1.96 × 10−9 | [28] | |
| 2.00 × 10−9 | [28] | |
| 1.11 × 10−9 | [28] | |
| 0.92 × 10−9 | [28] | |
| 9.31 × 10−9 | [28] | |
| 5.26 × 10−9 | [28] | |
| 0.72 × 10−9 | [28] |
| Chemical Reaction | Equilibrium Constant | Reference |
|---|---|---|
| [28] | ||
| 2.58 × 10−3 | [31] | |
| [32] | ||
| [32] |
| Parameter | Unit | Value |
|---|---|---|
| Mass fraction of | - | 0.88 |
| Mass fraction of | - | 0.12 |
| Inlet total temperature | K | 888.15 |
| Inlet total pressure | kPa | 5500 |
| Outlet static pressure | kPa | 16 |
| Mass flow rate | Kg/s | 60.46 |
| Rotor rotation speed | rpm | 3000 |
| Temperature (°C) | Partial Pressure of CO2 (bar) | Numerical Results (mm/y) | Experimental Results (mm/y) | Error (%) |
|---|---|---|---|---|
| 30 | 1 | 1.421 | 1.3 | 9.31 |
| 40 | 0.92 | 1.560 | 1.7 | 0.02 |
| 50 | 0.88 | 2.164 | 2.3 | −1.03 |
| 60 | 0.80 | 3.793 | 3.9 | −4.85 |
| 70 | 0.69 | 4.292 | 4.3 | 0.39 |
| 80 | 0.53 | 5.197 | 5.7 | −8.82 |
Publisher’s Note: MDPI stays neutral with regard to jurisdictional claims in published maps and institutional affiliations. |
© 2021 by the authors. Licensee MDPI, Basel, Switzerland. This article is an open access article distributed under the terms and conditions of the Creative Commons Attribution (CC BY) license (https://creativecommons.org/licenses/by/4.0/).
Share and Cite
Ma, Z.; Wang, X.; Yang, J.; Wang, W.; Shao, W.; Jiang, X. Acid Corrosion Analysis in the Initial Condensation Zone of a H2O/CO2 Turbine. Energies 2021, 14, 3323. https://doi.org/10.3390/en14113323
Ma Z, Wang X, Yang J, Wang W, Shao W, Jiang X. Acid Corrosion Analysis in the Initial Condensation Zone of a H2O/CO2 Turbine. Energies. 2021; 14(11):3323. https://doi.org/10.3390/en14113323
Chicago/Turabian StyleMa, Ziyue, Xiaofang Wang, Jinguang Yang, Wei Wang, Wenyang Shao, and Xiaowu Jiang. 2021. "Acid Corrosion Analysis in the Initial Condensation Zone of a H2O/CO2 Turbine" Energies 14, no. 11: 3323. https://doi.org/10.3390/en14113323
APA StyleMa, Z., Wang, X., Yang, J., Wang, W., Shao, W., & Jiang, X. (2021). Acid Corrosion Analysis in the Initial Condensation Zone of a H2O/CO2 Turbine. Energies, 14(11), 3323. https://doi.org/10.3390/en14113323

