Advanced and Emerging Negative Electrodes for Li-Ion Capacitors: Pragmatism vs. Performance
Abstract
1. Introduction
2. Li-Ion Capacitors (LICs) as an Electrochemical Energy-Storage Technology
2.1. Comparative Performance
2.2. Prelithiation
- Electrochemical (in situ and ex situ);
- Short circuit (in situ and ex situ);
- Stabilized Li metal powder;
- Chemical.
3. Materials Based on Metal Oxides
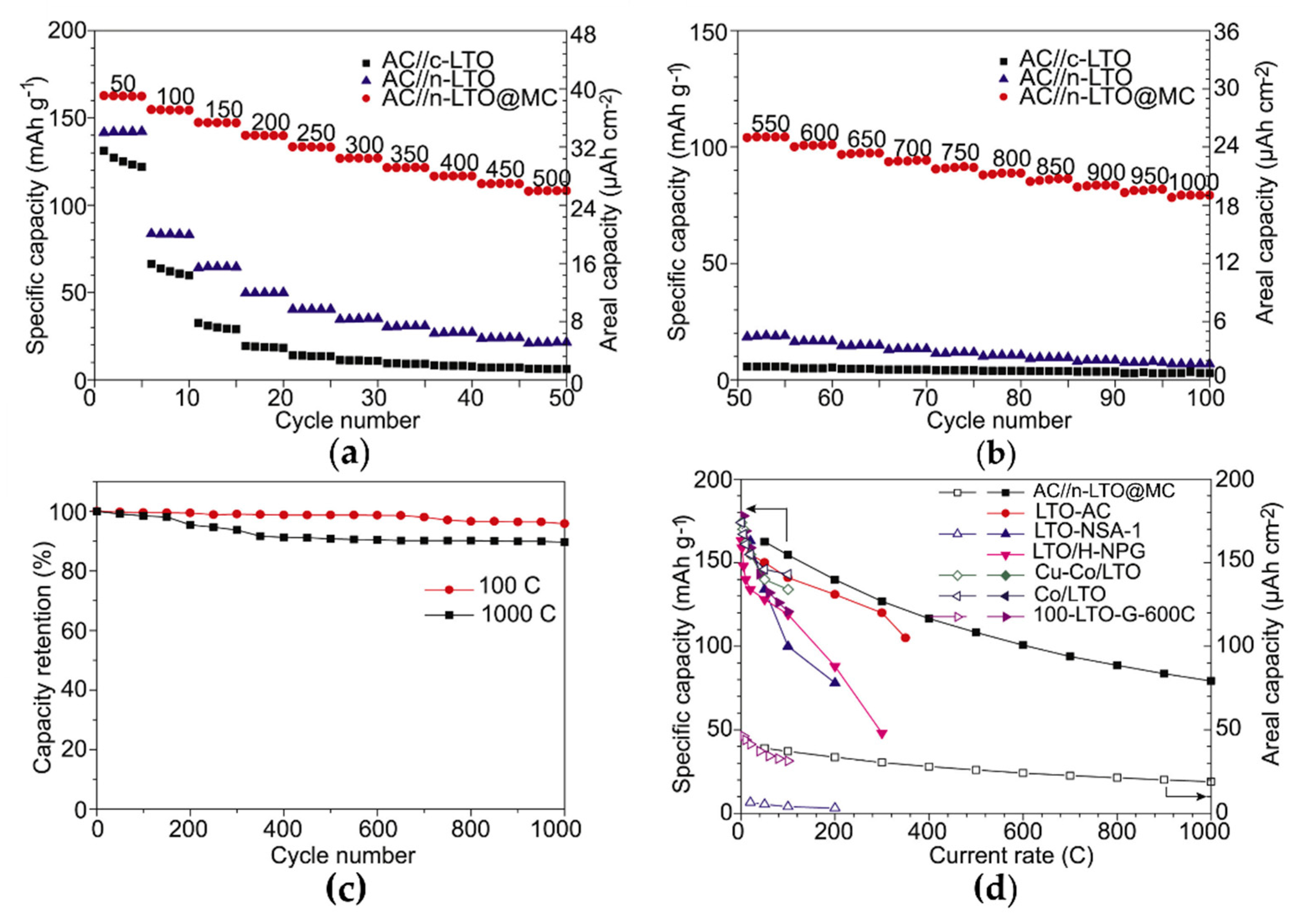
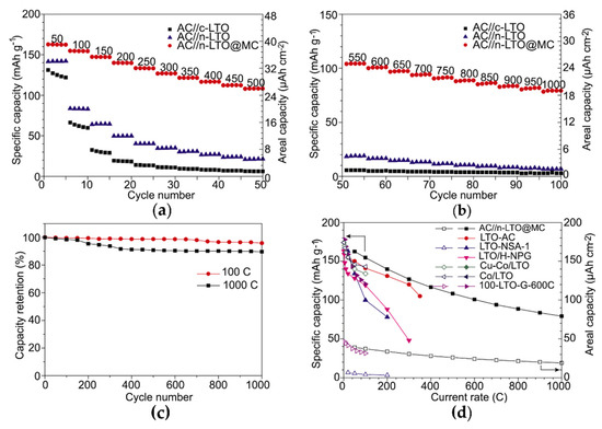
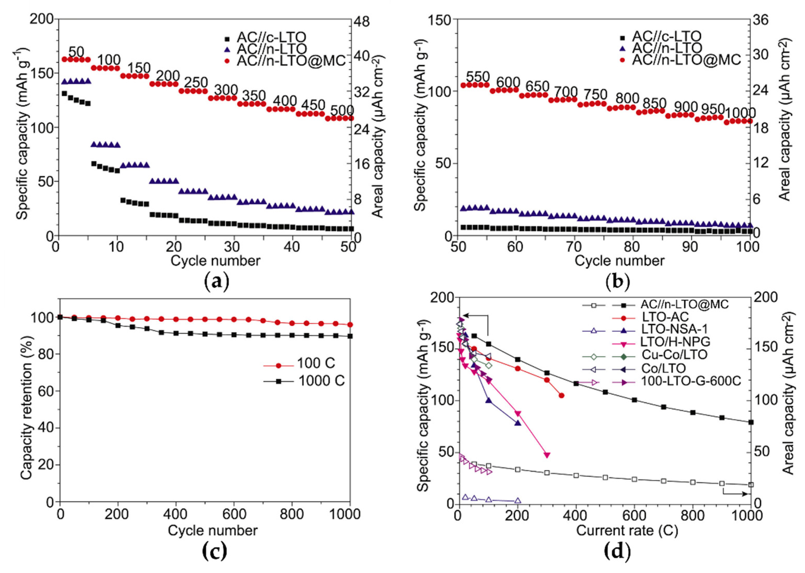
3.1. Titanium-Based Oxides
3.2. Niobium-Based Oxides
3.3. Conversion Oxides
4. Silicon-Based Materials
4.1. Pure Silicon and Silicon Nanostructures
4.2. Silicon-Based Composites
5. Organic-Based Materials
6. Emerging Materials
7. Conclusions and Future Prospects
Author Contributions
Funding
Acknowledgments
Conflicts of Interest
References
- Morton, S.; Pencheon, D.; Squires, N. Sustainable Development Goals (SDGs), and Their Implementation: A National Global Framework for Health, Development and Equity Needs a Systems Approach at Every Level. Br. Med Bull. 2017, 124, 81–90. [Google Scholar] [CrossRef] [PubMed]
- Gür, T.M. Review of Electrical Energy Storage Technologies, Materials and Systems: Challenges and Prospects for Large-scale Grid Storage. Energy Environ. Sci. 2018, 11, 2696–2767. [Google Scholar] [CrossRef]
- Kyriakopoulos, G.L.; Arabatzis, G. Electrical Energy Storage Systems in Electricity Generation: Energy Policies, Innovative Technologies, and Regulatory Regimes. Renew. Sustain. Energy Rev. 2016, 56, 1044–1067. [Google Scholar] [CrossRef]
- The Nobel Prize in Chemistry 2019. Available online: NobelPrize.org (accessed on 21 May 2021).
- Tarascon, J.M.; Armand, M. Issues and Challenges Facing Rechargeable Lithium Batteries. Nature 2001, 414, 359–367. [Google Scholar] [CrossRef] [PubMed]
- Simon, P.; Gogotsi, Y.; Dunn, B. Where Do Batteries End and Supercapacitors Begin? Science 2014, 343, 1210–1211. [Google Scholar] [CrossRef]
- Dubal, D.P.; Ayyad, O.; Ruiz, V.; Gómez-Romero, P. Hybrid Energy Storage: The Merging of Battery and Supercapacitor Chemistries. Chem. Soc. Rev. 2015, 44, 1777–1790. [Google Scholar] [CrossRef] [PubMed]
- Afif, A.; Rahman, S.M.H.; Tasfiah Azad, A.; Zaini, J.; Islan, M.A.; Azad, A.K. Advanced Materials and Technologies for Hybrid Supercapacitors for Energy Storage–A Review. J. Energy Storage 2019, 25, 100852. [Google Scholar] [CrossRef]
- Bocklisch, T. Hybrid Energy Storage Systems for Renewable Energy Applications. Energy Procedia 2015, 73, 103–111. [Google Scholar] [CrossRef]
- Shao, Y.; El-Kady, M.F.; Sun, J.; Li, Y.; Zhang, Q.; Zhu, M.; Wang, H.; Dunn, B.; Kaner, R.B. Design and Mechanisms of Asymmetric Supercapacitors. Chem. Rev. 2018, 118, 9233–9280. [Google Scholar] [CrossRef]
- Chen, G.Z. Supercapacitor and Supercapattery as Emerging Electrochemical Energy Stores. Int. Mater. Rev. 2017, 62, 173–202. [Google Scholar] [CrossRef]
- Ding, J.; Hu, W.; Paek, E.; Mitlin, D. Review of Hybrid Ion Capacitors: From Aqueous to Lithium to Sodium. Chem. Rev. 2018, 118, 6457–6498. [Google Scholar] [CrossRef] [PubMed]
- Wang, X.; Liu, L.; Niu, Z. Carbon-based Materials for Lithium-ion Capacitors. Mater. Chem. Front. 2019, 3, 1265–1279. [Google Scholar] [CrossRef]
- Soltani, M.; Beheshti, S.H. A Comprehensive Review of Lithium Ion Capacitor: Development, Modelling, Thermal Management and Applications. J. Energy Storage 2020. [Google Scholar] [CrossRef]
- Aravindan, V.; Gnanaraj, J.; Lee, Y.-S.; Madhavi, S. Insertion-Type Electrodes for Nonaqueous Li-Ion Capacitors. Chem. Rev. 2014, 114, 11619–11635. [Google Scholar] [CrossRef] [PubMed]
- Wang, H.; Zhu, C.; Chao, D.; Yan, Q.; Fan, H.J. Nonaqueous Hybrid Lithium-Ion and Sodium-Ion Capacitors. Adv. Mater. 2017, 29, 1702093. [Google Scholar] [CrossRef]
- Han, C.; Li, H.; Shi, R.; Xu, L.; Li, J.; Kang, F.; Li, B. Nanostructured Anode Materials for Non-aqueous Lithium Ion Hybrid Capacitors. Energy Environ. Mater. 2018, 1, 75–87. [Google Scholar] [CrossRef]
- Han, P.; Xu, G.; Han, X.; Zhao, J.; Zhou, X.; Cui, G. Lithium Ion Capacitors in Organic Electrolyte System: Scientific Problems, Material Development, and Key Technologies. Adv. Energy Mater. 2018, 8, 1801243. [Google Scholar] [CrossRef]
- Jagadale, A.; Zhou, X.; Xiong, R.; Dubal, D.P.; Xu, J.; Yang, S. Lithium Ion Capacitors (LICs): Development of the Materials. Energy Storage Mater. 2019, 19, 314–329. [Google Scholar] [CrossRef]
- Kim, B.K.; Sy, S.; Yu, A.; Zhang, J. Electrochemical Supercapacitors for Energy Storage and Conversion. In Handbook of Clean Energy Systems; John Wiley & Sons: New York, NY, USA, 2015; pp. 1–25. [Google Scholar]
- Aravindan, V.; Lee, Y.-S. Building Next-Generation Li-ion Capacitors with High Energy: An Approach beyond Intercalation. J. Phys. Chem. Lett. 2018, 9, 3946–3958. [Google Scholar] [CrossRef]
- Li, B.; Zheng, J.; Zhang, H.; Jin, L.; Yang, D.; Lv, H.; Shen, C.; Shellikeri, A.; Zheng, Y.; Gong, R.; et al. Electrode Materials, Electrolytes, and Challenges in Nonaqueous Lithium-Ion Capacitors. Adv. Mater. 2018, 30, 1705670. [Google Scholar] [CrossRef]
- Winter, M.; Brodd, R.J. What Are Batteries, Fuel Cells, and Supercapacitors? Chem. Rev. 2004, 104, 4245–4270. [Google Scholar] [CrossRef]
- Christen, T. Ragone Plots and Discharge Efficiency-power Relations of Electric and Thermal Energy Storage Devices. J. Energy Storage 2020, 27, 101084. [Google Scholar] [CrossRef]
- Arbizzani, C.; Yu, Y.; Li, J.; Xiao, J.; Xia, Y.-y.; Yang, Y.; Santato, C.; Raccichini, R.; Passerini, S. Good Practice Guide for Papers on Supercapacitors and Related Hybrid Capacitors for the Journal of Power Sources. J. Power Sources 2020, 450, 227636. [Google Scholar] [CrossRef]
- Li, J.; Arbizzani, C.; Kjelstrup, S.; Xiao, J.; Xia, Y.-y.; Yu, Y.; Yang, Y.; Belharouak, I.; Zawodzinski, T.; Myung, S.-T.; et al. Good Practice Guide for Papers on Batteries for the Journal of Power Sources. J. Power Sources 2020, 452, 227824. [Google Scholar] [CrossRef]
- Jin, L.; Shen, C.; Shellikeri, A.; Wu, Q.; Zheng, J.; Andrei, P.; Zhang, J.-G.; Zheng, J.P. Progress and Perspectives on Pre-lithiation Technologies for Lithium Ion Capacitors. Energy Environ. Sci. 2020, 13, 2341–2362. [Google Scholar] [CrossRef]
- Wang, F.; Wang, B.; Li, J.; Wang, B.; Zhou, Y.; Wang, D.; Liu, H.; Dou, S. Prelithiation: A Crucial Strategy for Boosting the Practical Application of Next-Generation Lithium Ion Battery. ACS Nano 2021, 15, 2197–2218. [Google Scholar] [CrossRef]
- Sun, X.; Zhang, X.; Zhang, H.; Xu, N.; Wang, K.; Ma, Y. High Performance Lithium-ion Hybrid Capacitors with Pre-lithiated Hard Carbon Anodes and Bifunctional Cathode Electrodes. J. Power Sources 2014, 270, 318–325. [Google Scholar] [CrossRef]
- Jang, J.; Kang, I.; Choi, J.; Jeong, H.; Yi, K.-W.; Hong, J.; Lee, M. Molecularly Tailored Lithium–Arene Complex Enables Chemical Prelithiation of High-Capacity Lithium-Ion Battery Anodes. Angew. Chem. Int. Ed. 2020, 59, 14473–14480. [Google Scholar] [CrossRef]
- An, C.; Zhang, Y.; Guo, H.; Wang, Y. Metal Oxide-based Supercapacitors: Progress and Prospectives. Nanoscale Adv. 2019, 1, 4644–4658. [Google Scholar] [CrossRef]
- Calcagno, G.; Lotsari, A.; Matic, A.; Lindberg, S.; Cavallo, C. Fast Charging Negative Electrodes Based on Anatase Titanium Dioxide Beads for Highly Stable Li-ion Capacitors. Mater. Today Energy 2020, 16, 100424. [Google Scholar] [CrossRef]
- Lu, X.; Zhao, L.; He, X.; Xiao, R.; Gu, L.; Hu, Y.-S.; Li, H.; Wang, Z.; Duan, X.; Chen, L.; et al. Lithium Storage in Li4Ti5O12 Spinel: The Full Static Picture from Electron Microscopy. Adv. Mater. 2012, 24, 3233–3238. [Google Scholar] [CrossRef] [PubMed]
- Liang, X.; Qi, R.; Zhao, M.; Zhang, Z.; Liu, M.; Pu, X.; Wang, Z.L.; Lu, X. Ultrafast Lithium-ion Capacitors for Efficient Storage of Energy Generated by Triboelectric Nanogenerators. Energy Storage Mater. 2020, 24, 297–303. [Google Scholar] [CrossRef]
- Zhao, E.; Qin, C.; Jung, H.-R.; Berdichevsky, G.; Nese, A.; Marder, S.; Yushin, G. Lithium Titanate Confined in Carbon Nanopores for Asymmetric Supercapacitors. ACS Nano 2016, 10, 3977–3984. [Google Scholar] [CrossRef] [PubMed]
- Chen, S.; Xin, Y.; Zhou, Y.; Ma, Y.; Zhou, H.; Qi, L. Self-supported Li4Ti5O12 Nanosheet Arrays for Lithium Ion Batteries with Excellent Rate Capability and Ultralong Cycle Life. Energy Environ. Sci. 2014, 7, 1924–1930. [Google Scholar] [CrossRef]
- Jeong, J.H.; Kim, M.-S.; Choi, Y.J.; Lee, G.-W.; Park, B.H.; Lee, S.-W.; Roh, K.C.; Kim, K.-B. Rational Design of Oxide/Carbon Composites to Achieve Superior Rate-capability via Enhanced Lithium-ion Transport Across Carbon to Oxide. J. Mater. Chem. A 2018, 6, 6033–6044. [Google Scholar] [CrossRef]
- Zhou, C.-a.; Xia, X.; Wang, Y.; Yao, Z.; Wu, J.; Wang, X.; Tu, J. Pine-Needle-Like Cu–Co Skeleton Composited with Li4Ti5O12 Forming Core–Branch Arrays for High-Rate Lithium Ion Storage. Small 2018, 14, 1704339. [Google Scholar] [CrossRef]
- Zhou, C.-a.; Xia, X.; Wang, Y.; Zhong, Y.; Yao, Z.; Wang, X.; Tu, J. Rational Construction of a Metal Core for Smart Combination with Li4Ti5O12 as Integrated Arrays with Superior High-rate Li-ion Storage Performance. J. Mater. Chem. A 2017, 5, 1394–1399. [Google Scholar] [CrossRef]
- Wang, G.; Lu, C.; Zhang, X.; Wan, B.; Liu, H.; Xia, M.; Gou, H.; Xin, G.; Lian, J.; Zhang, Y. Toward Ultrafast Lithium Ion Capacitors: A Novel Atomic Layer Deposition Seeded Preparation of Li4Ti5O12/Graphene Anode. Nano Energy 2017, 36, 46–57. [Google Scholar] [CrossRef]
- Que, L.-F.; Yu, F.-D.; Wang, Z.-B.; Gu, D.-M. Pseudocapacitance of TiO2−x/CNT Anodes for High-Performance Quasi-Solid-State Li-Ion and Na-Ion Capacitors. Small 2018, 14, 1704508. [Google Scholar] [CrossRef]
- Tian, Y.; Xu, G.; Wu, Z.; Zhong, J.; Yang, L. Dual-phase Spinel Li4Ti5O12/Anatase TiO2 Nanosheet Anchored 3D Reduced Graphene Oxide Aerogel Scaffolds as Self-supporting Electrodes for High-performance Na- and Li-ion Batteries. RSC Adv. 2017, 7, 52702–52711. [Google Scholar] [CrossRef]
- Zhu, W.; Yang, H.; Zhang, W.; Huang, H.; Tao, X.; Xia, Y.; Gan, Y.; Guo, X. Synthesis and Electrochemical Performance of Li4Ti5O12/TiO2/C Nanocrystallines for High-rate Lithium Ion Batteries. RSC Adv. 2015, 5, 74774–74782. [Google Scholar] [CrossRef]
- Zhou, H.; Ma, Q.; Yang, W.; Lu, X. Li4Ti5O12−TiO2 Composite Coated on Carbon Foam as Anode Material for Lithium Ion Capacitors: Evaluation of Rate Performance and Self-Discharge. ChemNanoMat 2020, 6, 280–284. [Google Scholar] [CrossRef]
- Liu, Z.; Dong, W.; Wang, J.; Dong, C.; Lin, Y.; Chen, I.W.; Huang, F. Orthorhombic Nb2O5−x for Durable High-Rate Anode of Li-Ion Batteries. iScience 2020, 23, 100767. [Google Scholar] [CrossRef]
- Augustyn, V.; Come, J.; Lowe, M.A.; Kim, J.W.; Taberna, P.-L.; Tolbert, S.H.; Abruña, H.D.; Simon, P.; Dunn, B. High-rate Electrochemical Energy Storage through Li+ Intercalation Pseudocapacitance. Nat. Mater. 2013, 12, 518–522. [Google Scholar] [CrossRef]
- Kim, J.W.; Augustyn, V.; Dunn, B. The Effect of Crystallinity on the Rapid Pseudocapacitive Response of Nb2O5. Adv. Energy Mater. 2012, 2, 141–148. [Google Scholar] [CrossRef]
- Kong, L.; Zhang, C.; Wang, J.; Qiao, W.; Ling, L.; Long, D. Free-Standing T-Nb2O5/Graphene Composite Papers with Ultrahigh Gravimetric/Volumetric Capacitance for Li-Ion Intercalation Pseudocapacitor. ACS Nano 2015, 9, 11200–11208. [Google Scholar] [CrossRef]
- Sun, H.; Mei, L.; Liang, J.; Zhao, Z.; Lee, C.; Fei, H.; Ding, M.; Lau, J.; Li, M.; Wang, C.; et al. Three-dimensional Holey-graphene/Niobia Composite Architectures for Ultrahigh-rate Energy Storage. Science 2017, 356, 599–604. [Google Scholar] [CrossRef] [PubMed]
- Liu, S.; Zhou, J.; Cai, Z.; Fang, G.; Cai, Y.; Pan, A.; Liang, S. Nb2O5 Quantum Dots Embedded in MOF Derived Nitrogen-doped Porous Carbon for Advanced Hybrid Supercapacitor Applications. J. Mater. Chem. A 2016, 4, 17838–17847. [Google Scholar] [CrossRef]
- Li, H.; Li, D.; Shi, J.; He, Z.; Zhao, Z.; Wang, H. Carbon Coated 3D Nb2O5 Hollow Nanospheres with Superior Performance as an Anode for High Energy Li-ion Capacitors. Sustain. Energy Fuels 2020, 4, 4868–4877. [Google Scholar] [CrossRef]
- Qin, L.; Liu, Y.; Xu, S.; Wang, S.; Sun, X.; Zhu, S.; Hou, L.; Yuan, C. In-Plane Assembled Single-Crystalline T-Nb2O5 Nanorods Derived from Few-Layered Nb2CTx MXene Nanosheets for Advanced Li-Ion Capacitors. Small Methods 2020, 4, 2000630. [Google Scholar] [CrossRef]
- Yuan, T.; Soule, L.; Zhao, B.; Zou, J.; Yang, J.; Liu, M.; Zheng, S. Recent Advances in Titanium Niobium Oxide Anodes for High-Power Lithium-Ion Batteries. Energy Fuels 2020, 34, 13321–13334. [Google Scholar] [CrossRef]
- Han, J.-T.; Huang, Y.-H.; Goodenough, J.B. New Anode Framework for Rechargeable Lithium Batteries. Chem. Mater. 2011, 23, 2027–2029. [Google Scholar] [CrossRef]
- Yu, H.; Cheng, X.; Zhu, H.; Zheng, R.; Liu, T.; Zhang, J.; Shui, M.; Xie, Y.; Shu, J. Deep Insights into Kinetics and Structural Evolution of Nitrogen-doped Carbon Coated TiNb24O62 Nanowires as High-performance Lithium Container. Nano Energy 2018, 54, 227–237. [Google Scholar] [CrossRef]
- Yuan, T.; Luo, S.; Soule, L.; Wang, J.-H.; Wang, Y.; Sun, D.; Zhao, B.; Li, W.; Yang, J.; Zheng, S.; et al. A Hierarchical Ti2Nb10O29 Composite Electrode for High-power Lithium-ion Batteries and Capacitors. Mater. Today 2021. [Google Scholar] [CrossRef]
- Budak, Ö.; Srimuk, P.; Aslan, M.; Shim, H.; Borchardt, L.; Presser, V. Titanium Niobium Oxide Ti2Nb10O29/Carbon Hybrid Electrodes Derived by Mechanochemically Synthesized Carbide for High-Performance Lithium-Ion Batteries. ChemSusChem 2021, 14, 398–407. [Google Scholar] [CrossRef] [PubMed]
- Yang, M.; Zhong, Y.; Ren, J.; Zhou, X.; Wei, J.; Zhou, Z. Fabrication of High-Power Li-Ion Hybrid Supercapacitors by Enhancing the Exterior Surface Charge Storage. Adv. Energy Mater. 2015, 5, 1500550. [Google Scholar] [CrossRef]
- Zhao, X.; Wang, H.-E.; Cao, J.; Cai, W.; Sui, J. Amorphous/Crystalline Hybrid MoO2 Nanosheets for High-energy Lithium-ion Capacitors. Chem. Commun. 2017, 53, 10723–10726. [Google Scholar] [CrossRef] [PubMed]
- Shi, R.; Han, C.; Xu, X.; Qin, X.; Xu, L.; Li, H.; Li, J.; Wong, C.-P.; Li, B. Electrospun N-Doped Hierarchical Porous Carbon Nanofiber with Improved Degree of Graphitization for High-Performance Lithium Ion Capacitor. Chem. Eur. J. 2018, 24, 10460–10467. [Google Scholar] [CrossRef]
- Brandt, A.; Balducci, A. A Study about the Use of Carbon Coated Iron Oxide-based Electrodes in Lithium-ion Capacitors. Electrochim. Acta 2013, 108, 219–225. [Google Scholar] [CrossRef]
- Zhan, Y.; Edison, E.; Manalastas, W.; Tan, M.R.J.; Satish, R.; Buffa, A.; Madhavi, S.; Mandler, D. Electrochemical Deposition of Highly Porous Reduced Graphene Oxide Electrodes for Li-ion Capacitors. Electrochim. Acta 2020, 337, 135861. [Google Scholar] [CrossRef]
- Yu, F.; Pang, L.; Wang, H.-X. Preparation of Mulberry-like RuO2 Electrode Material for Supercapacitors. Rare Met. 2020. [Google Scholar] [CrossRef]
- Xu, L.; Liu, W.; Hu, Y.; Luo, L. Stress-resilient Electrode Materials for Lithium-ion Batteries: Strategies and Mechanisms. Chem. Commun. 2020, 56, 13301–13312. [Google Scholar] [CrossRef]
- Durmus, Y.E.; Zhang, H.; Baakes, F.; Desmaizieres, G.; Hayun, H.; Yang, L.; Kolek, M.; Küpers, V.; Janek, J.; Mandler, D.; et al. Side by Side Battery Technologies with Lithium-Ion Based Batteries. Adv. Energy Mater. 2020, 10, 2000089. [Google Scholar] [CrossRef]
- Qi, J.; Zhu, Y.; Zhang, J.; Wang, C. Mulberry-Like Core-Shell Structured C@MnO2 as Electrode Material for Li–Ion Batteries and Pseudo-Capacitors. ChemistrySelect 2020, 5, 5657–5664. [Google Scholar] [CrossRef]
- Huang, L.; Chen, D.; Ding, Y.; Feng, S.; Wang, Z.L.; Liu, M. Nickel–Cobalt Hydroxide Nanosheets Coated on NiCo2O4 Nanowires Grown on Carbon Fiber Paper for High-Performance Pseudocapacitors. Nano Lett. 2013, 13, 3135–3139. [Google Scholar] [CrossRef]
- Li, S.; Chen, J.; Cui, M.; Cai, G.; Wang, J.; Cui, P.; Gong, X.; Lee, P.S. Capacitors: A High-Performance Lithium-Ion Capacitor Based on 2D Nanosheet Materials (Small 6/2017). Small 2017, 13. [Google Scholar] [CrossRef]
- Lee, W.S.V.; Peng, E.; Li, M.; Huang, X.; Xue, J.M. Rational Design of Stable 4V Lithium Ion Capacitor. Nano Energy 2016, 27, 202–212. [Google Scholar] [CrossRef]
- Chen, S.; Xue, M.; Li, Y.; Pan, Y.; Zhu, L.; Qiu, S. Rational Design and Synthesis of NixCo3−xO4 Nanoparticles Derived from Multivariate MOF-74 for Supercapacitors. J. Mater. Chem. A 2015, 3, 20145–20152. [Google Scholar] [CrossRef]
- Wang, S.; Li, L.; He, W.; Shao, Y.; Li, Y.; Wu, Y.; Hao, X. Oxygen Vacancy Modulation of Bimetallic Oxynitride Anodes toward Advanced Li-Ion Capacitors. Adv. Funct. Mater. 2020, 30, 2000350. [Google Scholar] [CrossRef]
- Wang, Z.; Yan, X.; Wang, F.; Xiong, T.; Balogun, M.S.; Zhou, H.; Deng, J. Reduced Graphene Oxide Thin Layer Induced Lattice Distortion in High Crystalline MnO2 Nanowires for High-performance Sodium- and Potassium-ion Batteries and Capacitors. Carbon 2021, 174, 556–566. [Google Scholar] [CrossRef]
- Su, X.; Wu, Q.; Li, J.; Xiao, X.; Lott, A.; Lu, W.; Sheldon, B.W.; Wu, J. Silicon-Based Nanomaterials for Lithium-Ion Batteries: A Review. Adv. Energy Mater. 2014, 4, 1300882. [Google Scholar] [CrossRef]
- Vogl, U.; Lux, S.; Das, P.; Weber, A.; Placke, T.; Kostecki, R.; Winter, M. The Mechanism of SEI Formation on Single Crystal Si(100), Si(110) and Si(111) Electrodes. J. Electrochem. Soc. 2015, 162, A2281–A2288. [Google Scholar] [CrossRef]
- Ulvestad, A.; Reksten, A.H.; Andersen, H.F.; Carvalho, P.A.; Jensen, I.J.T.; Nagell, M.U.; Mæhlen, J.P.; Kirkengen, M.; Koposov, A.Y. Crystallinity of Silicon Nanoparticles: Direct Influence on the Electrochemical Performance of Lithium Ion Battery Anodes. ChemElectroChem 2020, 7, 4349–4353. [Google Scholar] [CrossRef]
- Lai, S.Y.; Knudsen, K.D.; Sejersted, B.T.; Ulvestad, A.; Mæhlen, J.P.; Koposov, A.Y. Silicon Nanoparticle Ensembles for Lithium-Ion Batteries Elucidated by Small-Angle Neutron Scattering. ACS Appl. Energy Mater. 2019, 2, 3220–3227. [Google Scholar] [CrossRef]
- Shen, T.; Yao, Z.; Xia, X.; Wang, X.; Gu, C.; Tu, J. Rationally Designed Silicon Nanostructures as Anode Material for Lithium-Ion Batteries. Adv. Engineering Mater. 2018, 20, 1700591. [Google Scholar] [CrossRef]
- Foss, C.E.L.; Müssig, S.; Svensson, A.M.; Vie, P.J.S.; Ulvestad, A.; Mæhlen, J.P.; Koposov, A.Y. Anodes for Li-ion batteries prepared from microcrystalline silicon and enabled by binder’s chemistry and pseudo-self-healing. Sci. Rep. 2020, 10, 13193. [Google Scholar] [CrossRef] [PubMed]
- Vogl, U.S.; Das, P.K.; Weber, A.Z.; Winter, M.; Kostecki, R.; Lux, S.F. Mechanism of Interactions between CMC Binder and Si Single Crystal Facets. Langmuir 2014, 30, 10299–10307. [Google Scholar] [CrossRef]
- Saito, M.; Takahashi, K.; Ueno, K.; Seki, S. Electrochemical Charge/Discharge Properties of Li Pre-doped Si Nanoparticles for Use in Hybrid Capacitor Systems. J. Electrochem. Soc. 2016, 163, A3140–A3145. [Google Scholar] [CrossRef]
- Saito, M.; Osawa, M.; Masuya, A.; Kawakatsu, K. Stabilization of Si Negative Electrode by Li Pre-doping Technique and the Application to a New Energy Storage System. Electrochemistry 2017, 85, 656–659. [Google Scholar] [CrossRef]
- Liu, X.; Jung, H.-G.; Kim, S.-O.; Choi, H.-S.; Lee, S.; Moon, J.H.; Lee, J.K. Silicon/Copper Dome-patterned Electrodes for High-performance Hybrid Supercapacitors. Sci. Rep. 2013, 3, 3183. [Google Scholar] [CrossRef]
- Shao, R.; Niu, J.; Zhu, F.; Dou, M.; Zhang, Z.; Wang, F. A Facile and Versatile Strategy towards High-performance Si Anodes for Li-ion Capacitors: Concomitant Conductive Network Construction and Dual-interfacial Engineering. Nano Energy 2019, 63, 103824. [Google Scholar] [CrossRef]
- Aradilla, D.; Bidan, G.; Gentile, P.; Weathers, P.; Thissandier, F.; Ruiz, V.; Gómez-Romero, P.; Schubert, T.J.S.; Sahin, H.; Sadki, S. Novel Hybrid Micro-supercapacitor Based on Conducting Polymer Coated Silicon Nanowires for Electrochemical Energy Storage. RSC Adv. 2014, 4, 26462–26467. [Google Scholar] [CrossRef]
- Lai, C.-M.; Kao, T.-L.; Tuan, H.-Y. Si Nanowires/Cu Nanowires Bilayer Fabric as a Lithium Ion Capacitor Anode with Excellent Performance. J. Power Sources 2018, 379, 261–269. [Google Scholar] [CrossRef]
- Ge, M.; Fang, X.; Rong, J.; Zhou, C. Review of Porous Silicon Preparation and Its Application for Lithium-ion Battery Anodes. Nanotechnology 2013, 24, 422001. [Google Scholar] [CrossRef] [PubMed]
- Korotcenkov, G. Porous Silicon: From Formation to Application; Taylor and Francis Group: Oxforshire, UK, 2016; Volume 1, pp. 187–216. [Google Scholar]
- Oakes, L.; Westover, A.; Mares, J.W.; Chatterjee, S.; Erwin, W.R.; Bardhan, R.; Weiss, S.M.; Pint, C.L. Surface Engineered Porous Silicon for Stable, High Performance Electrochemical Supercapacitors. Sci. Rep. 2013, 3, 3020. [Google Scholar] [CrossRef] [PubMed]
- Li, B.; Li, S.; Jin, Y.; Zai, J.; Chen, M.; Nazakat, A.; Zhan, P.; Huang, Y.; Qian, X. Porous Si@C Ball-in-ball Hollow Spheres for Lithium-ion Capacitors with Improved Energy and Power Densities. J. Mater. Chem. A 2018, 6, 21098–21103. [Google Scholar] [CrossRef]
- An, Y.-B.; Chen, S.; Zou, M.-M.; Geng, L.-B.; Sun, X.-Z.; Zhang, X.; Wang, K.; Ma, Y.-W. Improving Anode Performances of Lithium-ion Capacitors Employing Carbon–Si Composites. Rare Met. 2019, 38, 1113–1123. [Google Scholar] [CrossRef]
- Huang, X.D.; Zhang, F.; Gan, X.F.; Huang, Q.A.; Yang, J.Z.; Lai, P.T.; Tang, W.M. Electrochemical Characteristics of Amorphous Silicon Carbide Film as a Lithium-ion Battery Anode. RSC Adv. 2018, 8, 5189–5196. [Google Scholar] [CrossRef]
- Ulvestad, A.; Andersen, H.F.; Mæhlen, J.P.; Prytz, Ø.; Kirkengen, M. Long-term Cyclability of Substoichiometric Silicon Nitride Thin Film Anodes for Li-ion Batteries. Sci. Rep. 2017, 7, 13315. [Google Scholar] [CrossRef]
- Liu, Z.; Yu, Q.; Zhao, Y.; He, R.; Xu, M.; Feng, S.; Li, S.; Zhou, L.; Mai, L. Silicon Oxides: A Promising Family of Anode Materials for Lithium-ion Batteries. Chem. Soc. Rev. 2019, 48, 285–309. [Google Scholar] [CrossRef]
- Yi, R.; Chen, S.; Song, J.; Gordin, M.L.; Manivannan, A.; Wang, D. High-Performance Hybrid Supercapacitor Enabled by a High-Rate Si-based Anode. Adv. Funct. Mater. 2014, 24, 7433–7439. [Google Scholar] [CrossRef]
- Kim, M.; Oh, I.; Kim, J. Carbonization Temperature Dependence of Pore Structure of Silicon Carbide Spheres and Their Electrochemical Capacitive Properties as Supercapacitors. Ceram. Int. 2016, 42, 3947–3958. [Google Scholar] [CrossRef]
- Halim, M.; Liu, G.; Ardhi, R.E.A.; Hudaya, C.; Wijaya, O.; Lee, S.-H.; Kim, A.Y.; Lee, J.K. Pseudocapacitive Characteristics of Low-Carbon Silicon Oxycarbide for Lithium-Ion Capacitors. ACS Appl. Mater. Interfaces 2017, 9, 20566–20576. [Google Scholar] [CrossRef]
- Lakraychi, A.E.; Vlad, A. Organic Batteries-The Route towards Sustainable Electrical Energy Storage Technologies. Chim. Nouv 2018, 127, 1–9. [Google Scholar]
- Armand, M.; Tarascon, J.M. Building Better Batteries. Nature 2008, 451, 652–657. [Google Scholar] [CrossRef] [PubMed]
- Chen, H.; Armand, M.; Demailly, G.; Dolhem, F.; Poizot, P.; Tarascon, J.-M. From Biomass to a Renewable LiXC6O6 Organic Electrode for Sustainable Li-Ion Batteries. ChemSusChem 2008, 1, 348–355. [Google Scholar] [CrossRef]
- Chen, H.; Armand, M.; Courty, M.; Jiang, M.; Grey, C.P.; Dolhem, F.; Tarascon, J.-M.; Poizot, P. Lithium Salt of Tetrahydroxybenzoquinone: Toward the Development of a Sustainable Li-Ion Battery. J. Am. Chem. Soc. 2009, 131, 8984–8988. [Google Scholar] [CrossRef] [PubMed]
- Nishide, H.; Oyaizu, K. Toward Flexible Batteries. Science 2008, 319, 737–738. [Google Scholar] [CrossRef]
- Hasan, S.S.; Yamashita, E.; Baniulis, D.; Cramer, W.A. Quinone-dependent Proton Transfer Pathways in the Photosynthetic Cytochrome b6f Complex. Proc. Natl. Acad. Sci. USA 2013, 110, 4297–4302. [Google Scholar] [CrossRef]
- Deuchert, K.; Hünig, S. Multistage Organic Redox Systems—A General Structural Principle. Angew. Chem. Int. Ed. 1978, 17, 875–886. [Google Scholar] [CrossRef]
- Gottis, S.; Barrès, A.-L.; Dolhem, F.; Poizot, P. Voltage Gain in Lithiated Enolate-Based Organic Cathode Materials by Isomeric Effect. ACS Appl. Mater. Interfaces 2014, 6, 10870–10876. [Google Scholar] [CrossRef] [PubMed]
- Armand, M.; Grugeon, S.; Vezin, H.; Laruelle, S.; Ribière, P.; Poizot, P.; Tarascon, J.M. Conjugated Dicarboxylate Anodes for Li-ion Batteries. Nat. Mater. 2009, 8, 120–125. [Google Scholar] [CrossRef]
- Renault, S.; Mihali, V.A.; Brandell, D. Optimizing the Electrochemical Performance of Water-soluble Organic Li–ion Battery Electrodes. Electrochem. Commun. 2013, 34, 174–176. [Google Scholar] [CrossRef]
- Fédèle, L.; Sauvage, F.; Bois, J.; Tarascon, J.-M.; Bécuwe, M. Lithium Insertion/De-Insertion Properties of π-Extended Naphthyl-Based Dicarboxylate Electrode Synthesized by Freeze-Drying. J. Electrochem. Soc. 2013, 161, A46–A52. [Google Scholar] [CrossRef]
- Lee, J.; Kim, H.; Park, M.J. Long-Life, High-Rate Lithium-Organic Batteries Based on Naphthoquinone Derivatives. Chem. Mater. 2016, 28, 2408–2416. [Google Scholar] [CrossRef]
- Ogihara, N.; Yasuda, T.; Kishida, Y.; Ohsuna, T.; Miyamoto, K.; Ohba, N. Organic Dicarboxylate Negative Electrode Materials with Remarkably Small Strain for High-Voltage Bipolar Batteries. Angew. Chem. Int. Ed. 2014, 53, 11467–11472. [Google Scholar] [CrossRef] [PubMed]
- Wang, Y.; Deng, Y.; Qu, Q.; Zheng, X.; Zhang, J.; Liu, G.; Battaglia, V.S.; Zheng, H. Ultrahigh-Capacity Organic Anode with High-Rate Capability and Long Cycle Life for Lithium-Ion Batteries. ACS Energy Lett. 2017, 2, 2140–2148. [Google Scholar] [CrossRef]
- Kapaev, R.R.; Zhidkov, I.S.; Kurmaev, E.Z.; Stevenson, K.J.; Troshin, P.A. Hexaazatriphenylene-based Polymer Cathode for Fast and Stable Lithium-, Sodium- and Potassium-ion Batteries. J. Mater. Chem. A 2019, 7, 22596–22603. [Google Scholar] [CrossRef]
- Bonaccorso, F.; Colombo, L.; Yu, G.; Stoller, M.; Tozzini, V.; Ferrari, A.C.; Ruoff, R.S.; Pellegrini, V. Graphene, Related Two-dimensional Crystals, and Hybrid Systems for Energy Conversion and Storage. Science 2015, 347, 1246501. [Google Scholar] [CrossRef]
- Liu, Y.; Peng, X. Recent Advances of Supercapacitors Based on Two-dimensional Materials. Appl. Mater. Today 2017, 8, 104–115. [Google Scholar] [CrossRef]
- Han, Y.; Ge, Y.; Chao, Y.; Wang, C.; Wallace, G.G. Recent Progress in 2D Materials for Flexible Supercapacitors. J. Energy Chem. 2018, 27, 57–72. [Google Scholar] [CrossRef]
- Sahoo, R.; Pal, A.; Pal, T. 2D Materials for Renewable Energy Storage Devices: Outlook and Challenges. Chem. Commun. 2016, 52, 13528–13542. [Google Scholar] [CrossRef] [PubMed]
- Zhang, X.; Wang, L.; Liu, W.; Li, C.; Wang, K.; Ma, Y. Recent Advances in MXenes for Lithium-Ion Capacitors. ACS Omega 2020, 5, 75–82. [Google Scholar] [CrossRef]
- Anasori, B.; Lukatskaya, M.R.; Gogotsi, Y. 2D Metal Carbides and Nitrides (MXenes) for Energy Storage. Nat. Rev. Mater. 2017, 2, 16098. [Google Scholar] [CrossRef]
- Zhu, Q.; Li, J.; Simon, P.; Xu, B. Two-dimensional MXenes for Electrochemical Capacitor Applications: Progress, Challenges and Perspectives. Energy Storage Mater. 2021, 35, 630–660. [Google Scholar] [CrossRef]
- Naguib, M.; Kurtoglu, M.; Presser, V.; Lu, J.; Niu, J.; Heon, M.; Hultman, L.; Gogotsi, Y.; Barsoum, M.W. Two-Dimensional Nanocrystals Produced by Exfoliation of Ti3AlC2. Adv. Mater. 2011, 23, 4248–4253. [Google Scholar] [CrossRef] [PubMed]
- Ghidiu, M.; Lukatskaya, M.R.; Zhao, M.-Q.; Gogotsi, Y.; Barsoum, M.W. Conductive Two-dimensional Titanium Carbide ‘Clay’ with High Volumetric Capacitance. Nature 2014, 516, 78–81. [Google Scholar] [CrossRef]
- Halim, J.; Lukatskaya, M.R.; Cook, K.M.; Lu, J.; Smith, C.R.; Näslund, L.-Å.; May, S.J.; Hultman, L.; Gogotsi, Y.; Eklund, P.; et al. Transparent Conductive Two-Dimensional Titanium Carbide Epitaxial Thin Films. Chem. Mater. 2014, 26, 2374–2381. [Google Scholar] [CrossRef] [PubMed]
- Yu, P.; Cao, G.; Yi, S.; Zhang, X.; Li, C.; Sun, X.; Wang, K.; Ma, Y. Binder-free 2D Titanium Carbide (MXene)/Carbon Nanotube Composites for High-performance Lithium-ion Capacitors. Nanoscale 2018, 10, 5906–5913. [Google Scholar] [CrossRef]
- Naoi, K.; Ishimoto, S.; Miyamoto, J.-I.; Naoi, W. Second Generation ‘Nanohybrid Supercapacitor’: Evolution of Capacitive Energy Storage Devices. Energy Environ. Sci. 2012, 5, 9363–9373. [Google Scholar] [CrossRef]
- Kodama, R.; Terada, Y.; Nakai, I.; Komaba, S.; Kumagai, N. Electrochemical and in situ XAFS-XRD Investigation of Nb2O5 for Rechargeable Lithium Batteries. J. Electrochem. Soc. 2006, 153, A583. [Google Scholar] [CrossRef]
- Lu, X.; Jian, Z.; Fang, Z.; Gu, L.; Hu, Y.-S.; Chen, W.; Wang, Z.; Chen, L. Atomic-scale Investigation on Lithium Storage Mechanism in TiNb2O7. Energy Environ. Sci. 2011, 4, 2638–2644. [Google Scholar] [CrossRef]









| Material 1 | Operating Potential (V vs. Li/Li+) | Theoretical Capacity (mAh g−1) | Cycle Life | Relative Abundance 1 | Relative Affordability 2 |
|---|---|---|---|---|---|
| TiO2 polymorphs | 1.55 [19] | 335 [123] | 10,000 [32] | High | High |
| Nb2O5 | 1.7 [124] | 190 [124] | 3000 [51] | Moderate | Moderate |
| TNO | 1.64 [125] | 388-397 [55] | 500 [57] | Moderate | Moderate |
| Si (LIC) | 0.4 [73] | 3579 [73] | 800 [81] | Very high | Very high 3 |
Publisher’s Note: MDPI stays neutral with regard to jurisdictional claims in published maps and institutional affiliations. |
© 2021 by the authors. Licensee MDPI, Basel, Switzerland. This article is an open access article distributed under the terms and conditions of the Creative Commons Attribution (CC BY) license (https://creativecommons.org/licenses/by/4.0/).
Share and Cite
Lai, S.Y.; Cavallo, C.; Abdelhamid, M.E.; Lou, F.; Koposov, A.Y. Advanced and Emerging Negative Electrodes for Li-Ion Capacitors: Pragmatism vs. Performance. Energies 2021, 14, 3010. https://doi.org/10.3390/en14113010
Lai SY, Cavallo C, Abdelhamid ME, Lou F, Koposov AY. Advanced and Emerging Negative Electrodes for Li-Ion Capacitors: Pragmatism vs. Performance. Energies. 2021; 14(11):3010. https://doi.org/10.3390/en14113010
Chicago/Turabian StyleLai, Samson Yuxiu, Carmen Cavallo, Muhammad E. Abdelhamid, Fengliu Lou, and Alexey Y. Koposov. 2021. "Advanced and Emerging Negative Electrodes for Li-Ion Capacitors: Pragmatism vs. Performance" Energies 14, no. 11: 3010. https://doi.org/10.3390/en14113010
APA StyleLai, S. Y., Cavallo, C., Abdelhamid, M. E., Lou, F., & Koposov, A. Y. (2021). Advanced and Emerging Negative Electrodes for Li-Ion Capacitors: Pragmatism vs. Performance. Energies, 14(11), 3010. https://doi.org/10.3390/en14113010

