Design of a Wireless Charging System for Online Battery Spectroscopy
Abstract
1. Introduction
- Increase the battery’s average life;
- Introduce innovative solutions increasing the EV autonomy and reducing the battery number on board.
- State of Charge (SOC): the battery level of charge relative to its capacity. The units of SOC are percentage points (0% = empty; 100% = full).
- State of Life (SOL): the battery performance degradation over time, due to the normal charging–discharging operating conditions, by observing a modification in battery capacity or internal resistance.
- State of Health (SOH): the battery performance degradation after failure or unexpected events, i.e., the exceeding of peak current, overcharge, etc.
2. Wireless Power Transfer Architecture
Design of the Filter Rectifier
- Reduce the ripple of the output current Io;
- Ensure a specific bandwidth BW to the output current io to properly perform the spectroscopy to the battery. The PRBS signals have a harmonic contribution that can reach up to some kHz. Therefore, a certain band must be guaranteed.
3. Electrochemical Impedance Spectroscopy
3.1. Theory
3.2. Excitation Input Signal: Pseudo-Random Binary Sequence
3.3. Nonparametric Identification Algorithm
4. Electrochemical Impedance Spectroscopy Test and Simultaneous Wireless Charging
4.1. Modeling of the Secondary Side Transfer Function
4.2. Control Loop Design
- The closed-loop system is asymptotically stable.
- The steady-state error to a step input is zero.
- The overshoot must be .
4.3. Battery Modeling
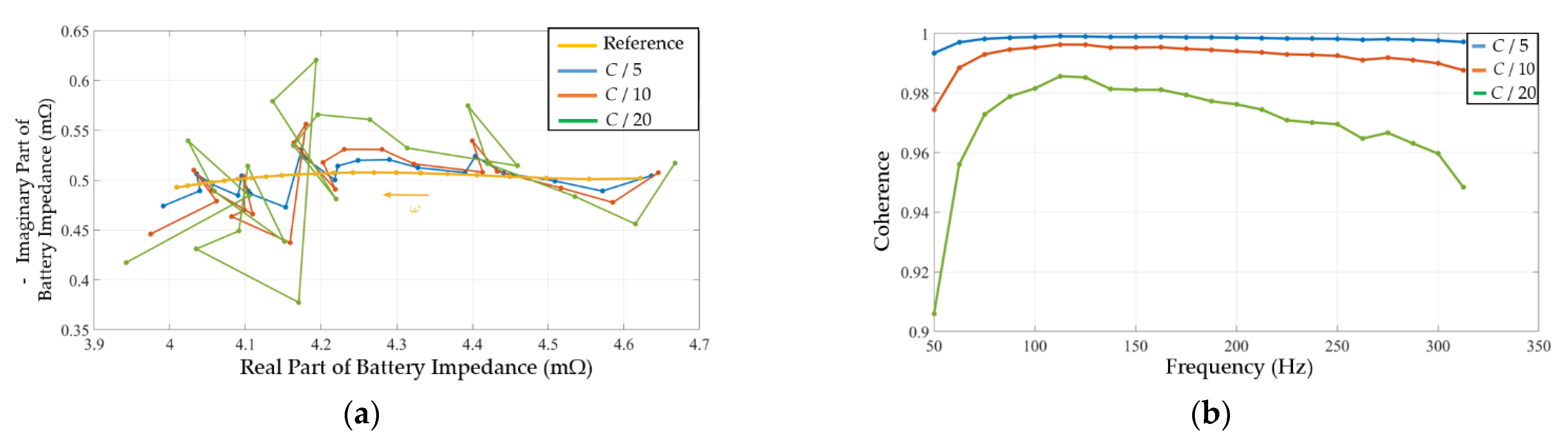
5. Simulation Results and Discussion
6. Conclusions
Author Contributions
Funding
Institutional Review Board Statement
Informed Consent Statement
Data Availability Statement
Conflicts of Interest
References
- Berckmans, G.; Messagie, M.; Smekens, J.; Omar, N.; Vanhaverbeke, L.; Van Mierlo, J. Cost projection of state of the art lithium-ion batteries for electric vehicles up to 2030. Energies 2017, 10, 1314. [Google Scholar] [CrossRef]
- Lebedeva, N.; Persio, F.D.; Boon-Brett, L. Lithium Ion Battery Value Chain and Related Opportunities for Europe (No. EUR 28534 EN); Publications Office of the European Union: Luxembourg, 2017. [Google Scholar]
- Figgener, J.; Stenzel, P.; Kairies, K.P.; Linßen, J.; Haberschusz, D.; Wessels, O.; Angenendt, G.; Robinius, M.; Stolten, D.; Sauer, D.U. The development of stationary battery storage systems in Germany—A market review. J. Energy Storage 2020, 29, 101153. [Google Scholar] [CrossRef]
- Watrin, N.; Blunier, B.; Miraoui, A. Review of adaptive systems for lithium batteries State-of-Charge and State-of-Health estimation. In Proceedings of the 2012 IEEE Transportation Electrification Conference and Expo (ITEC), Dearborn, MI, USA, 18–20 June 2012; pp. 1–6. [Google Scholar]
- Locorotondo, E.; Pugi, L.; Berzi, L.; Pierini, M.; Lutzemberger, G. Online Identification of Thevenin Equivalent Circuit Model Parameters and Estimation State of Charge of Lithium-Ion Batteries. In Proceedings of the 2018 IEEE International Conference on Environment and Electrical Engineering and 2018 IEEE Industrial and Commercial Power Systems Europe (EEEIC/I&CPS Europe), Palermo, Italy, 12–15 June 2018; pp. 1–6. [Google Scholar]
- Li, X.; Jiang, J.; Chen, D.; Zhang, Y.; Zhang, C. A capacity model based on charging process for state of health estimation of lithium ion batteries. Appl. Energy 2016, 177, 537–543. [Google Scholar] [CrossRef]
- Kim, I. A Technique for Estimating the State of Health of Lithium Batteries through a Dual-Sliding-Mode Observer. IEEE Trans. Power Electron. 2010, 25, 1013–1022. [Google Scholar]
- Lei, Y.; Li, N.; Guo, L.; Li, N.; Yan, T.; Lin, J. Machinery health prognostics: A systematic review from data acquisition to RUL prediction. Mech. Syst. Signal Process. 2018, 104, 799–834. [Google Scholar] [CrossRef]
- Khaleghi, S.; Firouz, Y.; Van Mierlo, J.; Van den Bossche, P. Developing a real-time data-driven battery health diagnosis method, using time and frequency domain condition indicators. Appl. Energy 2019, 255, 113813. [Google Scholar] [CrossRef]
- Liu, D.; Pang, J.; Zhou, J.; Peng, Y.; Pecht, M. Prognostics for state of health estimation of lithium-ion batteries based on combination Gaussian process functional regression. Microelectron. Reliab. 2013, 53, 832–839. [Google Scholar] [CrossRef]
- De Sutter, L.; Firouz, Y.; De Hoog, J.; Omar, N.; Van Mierlo, J. Battery aging assessment and parametric study of lithium-ion batteries by means of a fractional differential model. Electrochim. Acta 2019, 305, 24–36. [Google Scholar] [CrossRef]
- Tröltzsch, U.; Kanoun, O.; Tränkler, H.R. Characterizing aging effects of lithium ion batteries by impedance spectroscopy. Electrochim. Acta 2006, 51, 1664–1672. [Google Scholar] [CrossRef]
- Wang, X.; Wei, X.; Dai, H. Estimation of state of health of lithium-ion batteries based on charge transfer resistance considering different temperature and state of charge. J. Energy Storage 2019, 21, 618–631. [Google Scholar] [CrossRef]
- Xiong, R.; Tian, J.; Mu, H.; Wang, C. A systematic model-based degradation behavior recognition and health monitoring method for lithium-ion batteries. Appl. Energy 2017, 207, 372–383. [Google Scholar] [CrossRef]
- Christophersen, J.P.; Morrison, J.; Morrison, W.; Motloch, C. Rapid impedance spectrum measurements for state-of-health assessment of energy storage devices. SAE Int. J. Passeng. Cars-Electron. Electr. Syst. 2012, 5, 246–256. [Google Scholar] [CrossRef]
- Haußmann, P.; Melbert, J. Optimized mixed-domain signal synthesis for broadband impedance spectroscopy measurements on lithium ion cells for automotive applications. J. Sens. Sens. Syst. 2017, 6, 65. [Google Scholar] [CrossRef]
- Relan, R.; Firouz, Y.; Timmermans, J.; Schoukens, J. Data-Driven Nonlinear Identification of Li-Ion Battery Based on a Frequency Domain Nonparametric Analysis. IEEE Trans. Control Syst. Technol. 2017, 25, 1825–1832. [Google Scholar] [CrossRef]
- Sihvo, J.; Stroe, D.; Messo, T.; Roinila, T. Fast Approach for Battery Impedance Identification Using Pseudo-Random Sequence Signals. IEEE Trans. Power Electron. 2020, 35, 2548–2557. [Google Scholar] [CrossRef]
- Locorotondo, E.; Scavuzzo, S.; Pugi, L.; Ferraris, A.; Berzi, L.; Airale, A.; Pierini, M.; Carello, M. Electrochemical Impedance Spectroscopy of Li-Ion battery on-board the Electric Vehicles based on Fast nonparametric identification method. In Proceedings of the 2019 IEEE International Conference on Environment and Electrical Engineering and 2019 IEEE Industrial and Commercial Power Systems Europe (EEEIC/I&CPS Europe), Genova, Italy, 11–14 June 2019; pp. 1–6. [Google Scholar]
- Al Nazer, R.; Cattin, V.; Granjon, P.; Montaru, M.; Ranieri, M. Broadband Identification of Battery Electrical Impedance for HEVs. IEEE Trans. Veh. Technol. 2013, 62, 2896–2905. [Google Scholar] [CrossRef]
- Piret, H.; Granjon, P.; Guillet, N.; Cattin, V. Tracking of electrochemical impedance of batteries. J. Power Sources 2016, 312, 60–69. [Google Scholar] [CrossRef]
- Howey, D.A.; Mitcheson, P.D.; Yufit, V.; Offer, G.J.; Brandon, N.P. Online Measurement of Battery Impedance Using Motor Controller Excitation. IEEE Trans. Veh. Technol. 2014, 63, 2557–2566. [Google Scholar] [CrossRef]
- Nguyen, T.; Tran, V.; Choi, W. Development of the intelligent charger with battery State-Of-Health estimation using online impedance spectroscopy. In Proceedings of the 2014 IEEE 23rd International Symposium on Industrial Electronics (ISIE), Istanbul, Turkey, 1–4 June 2014. [Google Scholar]
- De Angelis, A.; Crescentini, M.; Ramilli, R.; De Angelis, G.; Tartagni, M.; Moschitta, A.; Traverso, P.A.; Carbone, P. A Compact System for On-line Electrochemical Impedance Spectroscopy on Lithium-Ion Batteries. In Proceedings of the 2020 IEEE International Instrumentation and Measurement Technology Conference (I2MTC), Dubrovnik, Croatia, 25–28 May 2020; pp. 1–6. [Google Scholar]
- Serni, T.; Locorotondo, E.; Pugi, L.; Berzi, L.; Pierini, M.; Cultrera, V. A Low Cost Programmable Hardware for Online Spectroscopy of Lithium Batteries. In Proceedings of the 2020 IEEE 20th Mediterranean Electrotechnical Conference (MELECON), Palermo, Italy, 16–18 June 2020; pp. 57–62. [Google Scholar]
- Jung, M. Optimized design of DC-DC converter LC output filter for EV battery charging applications in terms of defined battery current and voltage ripple as well as overall system efficiency. In Proceedings of the 2016 18th European Conference on Power Electronics and Applications (EPE’16 ECCE Europe), Karlsruhe, Germany, 5–9 September 2016; pp. 1–8. [Google Scholar]
- Ljung, L. System Identification-Theory for the User; Prentice Hall: Upper Saddle River, NJ, USA, 1999. [Google Scholar]
- Raijmakers, L.H.J.; Danilov, D.L.; Van Lammeren, J.P.M.; Lammers, M.J.G.; Notten, P.H.L. Sensorless battery temperature measurements based on electrochemical impedance spectroscopy. J. Power Sources 2014, 247, 539–544. [Google Scholar] [CrossRef]
- Stroe, D.I.; Swierczynski, M.; Stan, A.I.; Knap, V.; Teodorescu, R.; Andreasen, S.J. Diagnosis of lithium-ion batteries state-of-health based on electrochemical impedance spectroscopy technique. In Proceedings of the 2014 IEEE Energy Conversion Congress and Exposition (ECCE), Pittsburgh, PA, USA, 14–18 September 2014; pp. 4576–4582. [Google Scholar]
- Huria, T.; Ludovici, G.; Lutzemberger, G.I.O.V.A.N.N.I. State of charge estimation of high power lithium iron phosphate cells. J. Power Sources 2014, 249, 92–102. [Google Scholar] [CrossRef]
- Waag, W.; Käbitz, S.; Sauer, D.U. Experimental investigation of the lithium-ion battery impedance characteristic at various conditions and aging states and its influence on the application. Appl. Energy 2013, 102, 885–897. [Google Scholar] [CrossRef]
- Silva, J.; Maia, N. Modal Analysis and Testing; Applied Science; Springer Science & Business Media: Berlin, Germany, 1999; Volume 363. [Google Scholar]
- Pintelon, R.; Schoukens, J. System Identification: A Frequency Domain Approach; John Wiley & Sons: Hoboken, NJ, USA, 2012. [Google Scholar]
- GFranklin, F.; Powell, J.D.; Emami-Naeini, A. Feedback Control of Dynamic Systems, 3rd ed.; Addison-Wesley: Boston, MA, USA, 1994. [Google Scholar]
- Randles, J.E.B. Kinetics of rapid electrode reactions. Discuss. Faraday Soc. 1947, 1, 11–19. [Google Scholar] [CrossRef]
- Berthier, F.; Diard, J.P.; Michel, R. Distinguishability of equivalent circuits containing CPEs: Part I. Theoretical part. J. Electroanal. Chem. 2001, 510, 1–11. [Google Scholar] [CrossRef]
- Locorotondc, E.; Pugi, L.; Berzi, L.; Pierini, M.; Scavuzzc, S.; Ferraris, A.; Airale, A.G.; Carello, M. Modeling and simulation of Constant Phase Element for battery Electrochemical Impedance Spectroscopy. In Proceedings of the 2019 IEEE 5th International forum on Research and Technology for Society and Industry (RTSI), Florence, Italy, 9–12 September 2019; pp. 225–230. [Google Scholar]
- Locorotondo, E.; Cultrera, V.; Pugi, L.; Berzi, L.; Pasquali, M.; Andrenacci, N.; Lutzemberger, G.; Pierini, M. Impedance spectroscopy characterization of lithium batteries with different ages in second life application. In Proceedings of the 2020 IEEE International Conference on Environment and Electrical Engineering and 2020 IEEE Industrial and Commercial Power Systems Europe (EEEIC/I&CPS Europe), Madrid, Spain, 9–12 June 2020; pp. 1–6. [Google Scholar]
- EIG Battery Official Site. Available online: www.eigbattery.com (accessed on 3 August 2018).
- Schönleber, M.; Klotz, D.; Ivers-Tiffée, E. A method for improving the robustness of linear Kramers-Kronig validity tests. Electrochim. Acta 2014, 131, 20–27. [Google Scholar]
- PLECS. The Simulation Platform for Power Electronic Systems. Available online: https://www.plexim.com/plecs (accessed on 7 July 2020).













| Parameters | Values |
|---|---|
| Resonant Frequency | 85 kHz |
| Primary Inductance | 89.22 µH |
| Secondary Inductance | 90.02 µH |
| Mutual Inductance | 15.8 µH |
| Coils Distance | 20 cm |
| Primary Resonant Capacitance | 33 nF |
| Secondary Resonant Capacitance | 33 nF |
| Output Power | 3.7 kW |
| Parameters | Values |
|---|---|
| Digital controller sample frequency | 5 kHz |
| Filtering inductance | [15,50,100] µH |
| Filtering capacitance | 1950 µF |
| Output capacitance | 45 µF |
| Shunt resistance | 0.1 Ω |
| Desired overshoot | 20% |
| Desired bandwidth | 2.513 × rad/s |
| Damping factor | 0.6 |
| Undamped natural frequency | 2.514 × rad/s |
Publisher’s Note: MDPI stays neutral with regard to jurisdictional claims in published maps and institutional affiliations. |
© 2021 by the authors. Licensee MDPI, Basel, Switzerland. This article is an open access article distributed under the terms and conditions of the Creative Commons Attribution (CC BY) license (http://creativecommons.org/licenses/by/4.0/).
Share and Cite
Locorotondo, E.; Corti, F.; Pugi, L.; Berzi, L.; Reatti, A.; Lutzemberger, G. Design of a Wireless Charging System for Online Battery Spectroscopy. Energies 2021, 14, 218. https://doi.org/10.3390/en14010218
Locorotondo E, Corti F, Pugi L, Berzi L, Reatti A, Lutzemberger G. Design of a Wireless Charging System for Online Battery Spectroscopy. Energies. 2021; 14(1):218. https://doi.org/10.3390/en14010218
Chicago/Turabian StyleLocorotondo, Edoardo, Fabio Corti, Luca Pugi, Lorenzo Berzi, Alberto Reatti, and Giovanni Lutzemberger. 2021. "Design of a Wireless Charging System for Online Battery Spectroscopy" Energies 14, no. 1: 218. https://doi.org/10.3390/en14010218
APA StyleLocorotondo, E., Corti, F., Pugi, L., Berzi, L., Reatti, A., & Lutzemberger, G. (2021). Design of a Wireless Charging System for Online Battery Spectroscopy. Energies, 14(1), 218. https://doi.org/10.3390/en14010218

