Abstract
The low carbon transition requires the high growth of renewable generation penetration in energy systems to ultimately achieve net-zero carbon target. To ensure the reliable operation of energy systems with high intermittent renewable output, it is critical to have sufficient flexible resources to avoid curtailment. Therefore, the integrated power-natural gas-heating energy systems with power to gas (P2G) and gas storage has attracted great research interest especially on the combined operation method to enhance the flexibility provision between each other. In this paper, taking heating demand, P2G and gas storage into consideration, a multi-objective optimal operation strategy of integrated power-natural gas-heating energy systems is presented to obtain the maximum economic and environmental benefits. Furthermore, a novel model of flexibility metric is proposed based on redundant linepack and gas storage. Case studies without P2G and with P2G are carried out on integrated IEEE 39-bus power and Belgian 20-node gas system. Simulation results demonstrate that P2G not only can be beneficial for operation of the integrated energy systems in terms of total operational cost decline from M$2.510 to M$2.503, CO2 emission reduction from 62,860 ton to 62,240 ton and wind curtailment decrease from 25.58% to 4.22% but also has significant effect on flexibility improvement of a 71.72% increase.
1. Introduction
With the acceleration of low carbon transition in energy system, the renewable energy generation is growing quickly worldwide. However, due to intermittency and variability of renewable generations, the operation of energy systems faces unprecedent challenges. The curtailment issue of renewable generation caused by the lack of system flexibility to provide additional reserves and ramping capability is expected to be worse in the future. Therefore, it is critical to explore additional flexible resources to support the high level of renewable integration and ultimately achieve the net-zero carbon target.
Flexibility in energy systems is the ability to provide supply-demand balance, maintain continuity in unexpected situations and cope with uncertainty on supply-demand sides [1]. For power systems, gas turbines as traditional flexibility providers play an important role in meeting variable and unpredicted changes in net demand [2,3]. Driven by flexibility support required by renewable generation, the interaction between power systems and natural gas network is expected to increase [4]. Furthermore, some heating requirements are provided by natural gas which leads to high gas demand in winter when heating demand is increased obviously. In particular, gas demand would rise in winter with high ramp rate, which could lead to lack of linepack and low gas node pressure. Meanwhile the shortage of pipeline linepack in natural gas network could also cause the decline of power out of gas turbines which are the main flexibility provider in power systems. As such, both power systems and natural gas systems face flexibility challenges and the linepack of pipelines in gas network is the key factor affecting the flexibility of both power systems and natural gas network. It is essential to analyze flexibility of integrated power-natural gas-heating energy systems.
Many studies have been carried out on quantifying the energy system flexibility. Lannoye E. and et al. used the insufficient ramping resource expectation metric to measure power system flexibility in long-term planning [5]. Guo Z.Y. and et al. proposed flexibility metrics of power systems based on flexibility definition and physical mechanism [6]. Xu X. D. et al. developed a three-stage methodology to quantify the maximum flexibility of a district heating sector for power grid [7]. Huo Y. C. et al. designed a spatio-temporal flexibility management scheme in low-carbon power systems [8]. Impram S. et al. investigated flexibility measurement studies and evaluated methods of providing flexibility in power systems [1]. The influence of gas network on flexibility of power systems is not considered in these studies. Generally, integrated power-natural gas energy systems with renewable generation and power to gas (P2G) [9,10,11,12,13] are recognized to have a crucial role in delivering affordable low-carbon energy and exhibits significant potential to unlock more flexibility in planning [14,15,16,17,18,19,20,21,22,23,24]. More specifically, P2G converting renewable energy to gas to increase gas supply for both gas turbines and gas network will increase power output of gas turbines and replenish linepack of pipelines and thus enhance the flexibility of both power systems and natural gas network. Ameli H. et al. emphasized the important role of gas network infrastructure flexibility in efficiently accommodating the expected expansion of intermittent renewable energy sources in future power systems. Moreover, the benefits of employing flexible multi-directional compressor stations and adopting a fully integrated approach to operate gas and electricity networks were investigated [25]. Clegg S. and et al. presented a novel integrated electricity-heat-gas transmission network model that considers electrical and gas network flows coupled with heating sector [26,27], quantified flexibility of gas network and discussed effect of gas network constraints on electricity system operation [4]. Chicco G. and et al. provided a comprehensive overview of technical flexibility assessment of multi-energy systems and distributed multi-energy systems, with a focus on their potential to provide support to a low-carbon grid [28]. These studies described flexibility of power systems, gas network and multi-energy systems and provided good enlightenment for further research on flexibility assessment of multi-energy systems. While, a systematic methodology to assess flexibility of integrated power-natural gas-heating energy systems with P2G and gas storage has not been given.
With regards to the significant benefit of P2G on the integrated power-natural gas energy systems in terms of reducing renewable curtailment and providing additional gas supply for gas network [16,17,24], P2G will increase flexibility of the integrated power-natural gas energy systems. In particular, P2G generates methane (synthetic natural gas, SNG) through electrolysis and methanation [16,17,24] and replenishes linepack of pipelines, raises gas pressure and strengthens the ability to deal with high ramp caused by gas demand/heating demand particularly in winter. In addition, gas storage affects flexibility directly, which can absorb excess gas when a lot of SNG is injected into a natural gas network and can supply gas when gas demand or heating demand increases. Moreover, sufficient natural gas can guarantee power output of gas turbines and improve flexibility of power systems. Therefore, it is of importance to analyze flexibility of integrated power-natural gas-heating energy systems with P2G and gas storage.
This work here developed a framework for evaluating the flexibility in integrated power-natural gas-heating energy systems with P2G and gas storage based on a multi-objective economic/environmental optimal operation strategy. Both linepack of pipelines and volume of gas storage are modelled as the sources of system flexibility and their capability are evaluated. More specifically, at first, output of renewable generations, output of thermal units, gas flow of P2G, volume of gas storage, linepack of each pipeline and gas pressure of each gas node are obtained using the proposed optimal operation strategy. Then the flexibility of the integrated power-natural gas-heating energy systems can be evaluated using the proposed flexibility assessment model. Case studies are carried out on a hybrid IEEE 39-bus power system and Belgian 20-node gas system [9,16,23] in a period of 24 h to investigate effects of P2G on operation results, cost, emissions, wind curtailment and flexibility.
2. Optimal Operation Model of Integrated Power-Natural Gas-Heating Energy Systems with P2G and Gas Storage
In the integrated power-natural gas-heating energy systems, heating supplied by gas affects gas demand and gas ramp. P2G and gas turbines coupled with power system and natural gas system are flexibility providers. P2G is both the gas source and power load. Similarly, gas turbines are power sources and gas load. In addition, the flexibility analysis framework relies on operation of the integrated power-natural gas-heat energy systems.
2.1. Gas Supplied for Heating and Gas Turbines
Gas flow supplied for heating demand at time t, QHD(t) (MSm3/h) and gas flow of gas turbines, QGT(t) ((MSm3/h)), can be calculated as presented below.
2.2. Gas Flowing out of P2G
P2G can produce methane whereby electrolysis process and methanation process [16,17,24]. More specifically, the curtailed renewables are used by P2G to generate methane which directly injects into natural gas network. The relationship between gas flowing out of P2G, QP2G(t) (MSm3/h) and power consumed by P2G, PP2G(t) (MW), can be expressed as presented below.
2.3. Relationship between Gas Flow of Pipelines and Gas Pressure of Gas Nodes
The natural gas network follows the mass conservation law of fluid dynamics and can be modelled using Bernoulli equation [17]. In the tth time period, for the pipeline ij between gas node i and gas node j, the gas flow of the pipeline ij, Qij(t) (MSm3/h), is related to gas pressure of gas node i and j, Mi(t) (bar) and Mj(t) (bar). The relationship among Qij(t), Mi(t) and Mj(t) is presented below [23].
2.4. Gas Consumed by Compressors
Compressors in natural gas network is used to boost pressure and facilitate the gas transportation. Gas consumed by compressor s, (MSm3/h), relates to gas flowing through compressor s, Qcs(t) (MSm3/h), efficiency, ηcs and gas pressure of gas nodes connected with compressor s [16].
2.5. Optimal Economic/Environmental Dispatch of Integrated Power-Natural Gas-Heating Energy Systems with P2G and Gas Storage
In this paper, the operation of integrated power-natural gas-heating energy systems is optimized as a multi-objective problem. Both operational cost and emissions are considered as objectives along with equality constraints and inequality constraints indicating the complex characteristics of integrated energy systems.
2.5.1. Objectives
The objectives include both the minimum operational cost and the minimum pollutant emissions of the integrated power-natural gas-heating energy systems which are presented as below. In the model, the valve point effect [29] of coal-fired units is considered to describe fuel cost more accurately.
In Equation (8), can be expressed as the product of gas well’s flow and gas price, can be expressed as the product of storage flow and storage cost and can be expressed as the product of power supplied to kth P2G and unit operational cost.
2.5.2. Constraints
(1) Equality constraints
Equality constraints in the integrated power-natural gas-heating energy systems include power demand balance equation, dynamic gas flow balance equation of gas node i and linepack equation as shown below.
(2) Inequality constraints
Inequality constraints mainly include limits of power output, ramp rate limits, gas flow limits of gas wells, gas storage and P2G, gas pressure limits of gas nodes and capacity limits of gas storage which can be described by the following unified form.
3. Flexibility Assessment Model of Integrated Power-Natural Gas-Heating Energy Systems with P2G and Gas Storage
3.1. Flexibility Metric
The proposed flexibility model takes linepack of pipelines and volume of gas storage into consideration. Gas demand, heating demand and gas for gas turbines affect linepack and further have influence on flexibility. In this paper, flexibility metric F is established respectively according to different types of pipelines as presented below.
From the model of flexibility metric, it can be seen the higher the flexibility metric is, the more gas redundancy it is. Redundancy of gas at time t is calculated in different cases as presented below.
3.1.1. Case 1: Only Gas Demand/Heating Demand at Pipeline k
In case 1, Fpk(t) is calculated as presented below.
3.1.2. Case 2: Only Gas Storage at Pipeline k
In case 2, Fpk(t) is calculated as presented below.
3.1.3. Case 3: Only Gas Turbine at Pipeline k
In case 3, Fpk(t) is calculated as presented below.
3.1.4. Case 4: Gas Demand/Heating Demand and Gas Storage at Pipeline k
In case 4, Fpk(t) is calculated as presented below.
3.1.5. Case 5: Gas Demand/Heating Demand and Gas Turbine at Pipeline k
In case 5, Fpk(t) is calculated as same as case 1.
3.1.6. Case 6: Gas Storage and Gas Turbine at Pipeline k
In case 6, Fpk(t) is calculated as presented below.
3.1.7. Case 7: Gas Demand/Heating Demand, Gas Storage and Gas Turbine at Pipeline k
In case 7, Fpk(t) is calculated as same as case 4.
3.2. Flow Chart
Flexibility capability is evaluated based on the proposed flexibility metric. The flexibility metric is calculated according to the presented optimal economic/environmental operation of integrated power-natural gas-heating energy systems with P2G and gas storage (i.e., Equations (8)–(14)). This non-convex, coupled, non-linear, multi-objective and multi-constraint optimization problem is solved by the multi-objective improved black-hole particle swarm optimization algorithm (MOIBHPSO) [29,30] which has been applied to several optimal operation studies of power systems and integrated energy systems [16,24]. The equality and inequality constraints are handled using the method presented in References [16,24]. The overall flow chart is shown in Figure 1.
Figure 1.
The overall flow chart.
4. Case Studies
4.1. Description of Case Studies
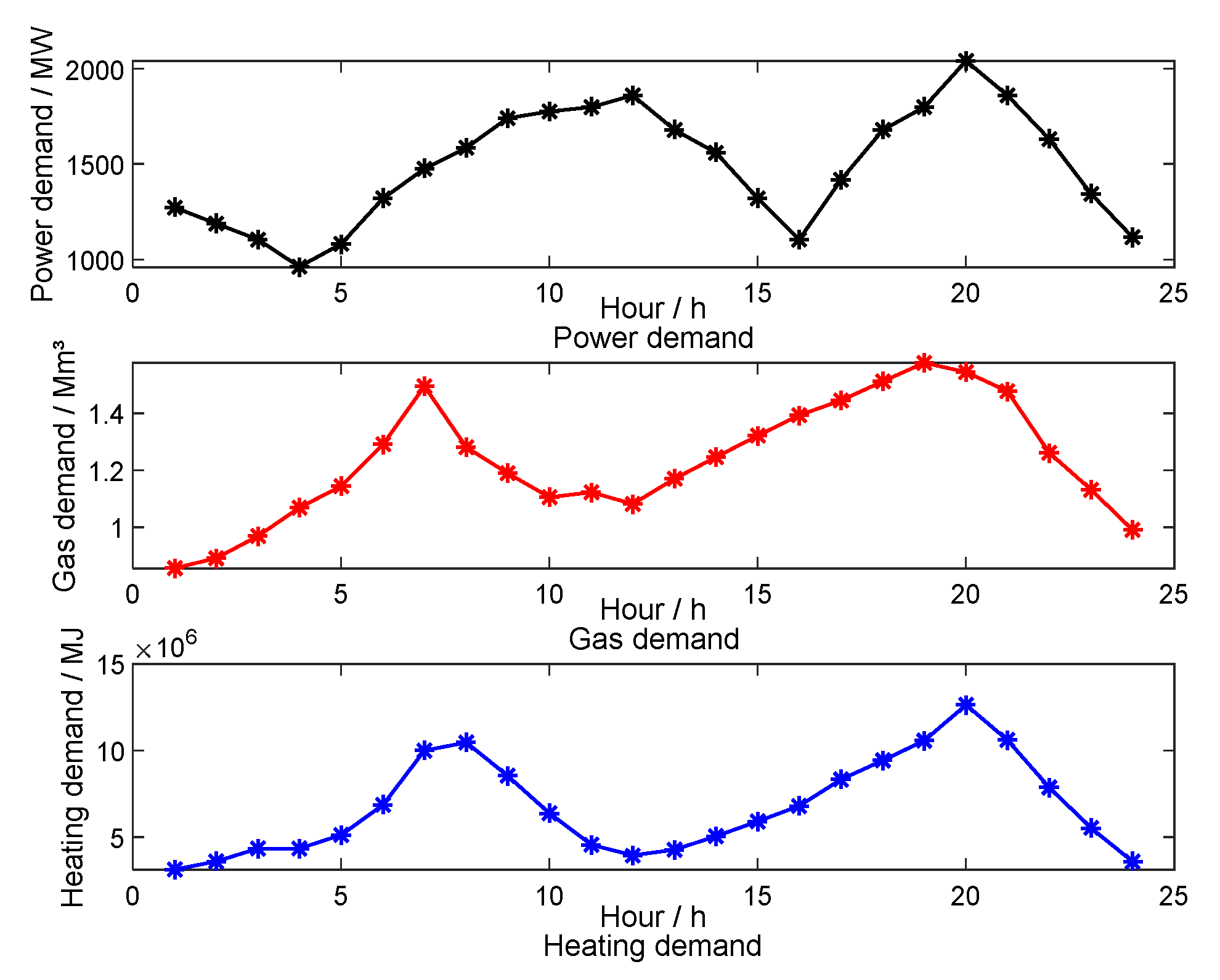
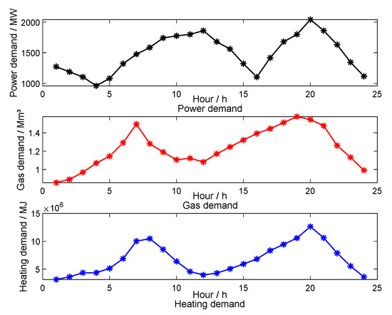
The integrated power-natural gas-heating energy systems shown in Figure 2 is composed by 39-bus power system and Belgian 20-node gas system [9,16,23]. The integrated network has 5 coal-fired units, 3 gas-fired units, 2 wind power units, 2 P2G facilities, 24 pipelines, 2 gas wells, 3 gas storages and 2 compressors. Total power generation capacity is 3903 MW. Power demand, gas demand and heating demand are shown in Figure 3 where maximum power load is at 19:00 and maximum gas/heating load is at 20:00. The parameters of cost and emissions for power systems and gas network are shown in Table 1, Table 2 and Table 3. In addition, initial line pack is given as 0.952 MSm3 and the initial capacity of gas storage is given as 0 MSm3, 0 MSm3 and 0.003 MSm3. Predicted wind power generation is 29,335.399 MWh. Other parameters can be found in [16]. The optimal economic/environmental dispatch of the integrated power-natural gas-heating energy systems with P2G and gas storage is studied to illustrate behavior of the proposed model and calculate metric of flexibility in two case studies using MATLAB language programming.
Figure 2.
The integrated power-natural gas-heating energy systems with power to gas (P2G) and gas storage.
Figure 3.
Hourly demand of power, gas and heating.
Table 1.
Cost coefficient of thermal units in power systems.
Table 2.
Emissions coefficient of thermal units in power systems.
Table 3.
Cost parameters of gas network.
4.2. Analysis of Simulation Results
4.2.1. Effects of P2G on Operation of Integrated Power-Natural Gas-Heating Energy Systems
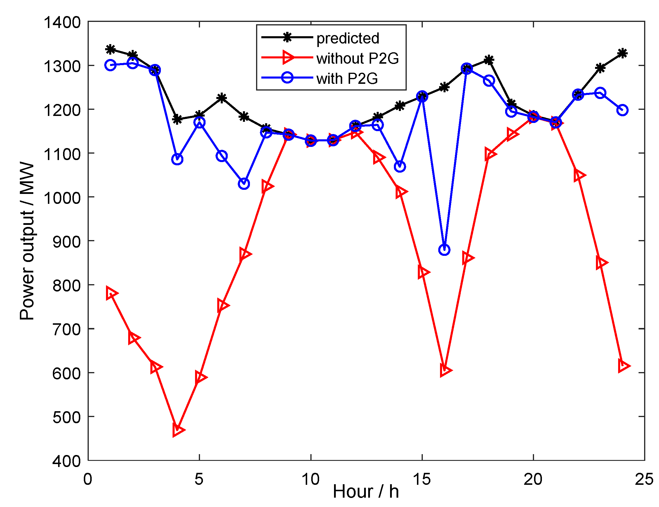
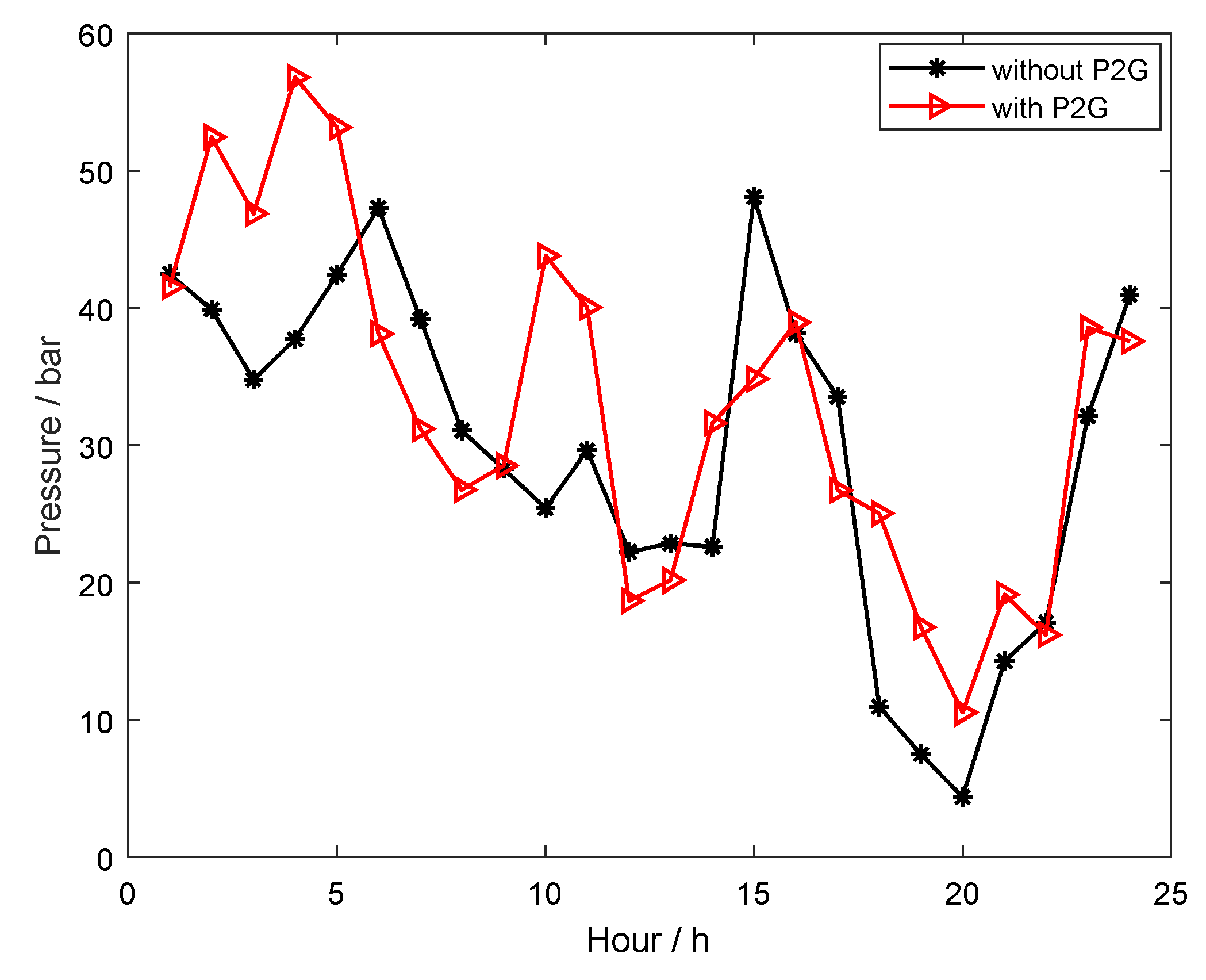
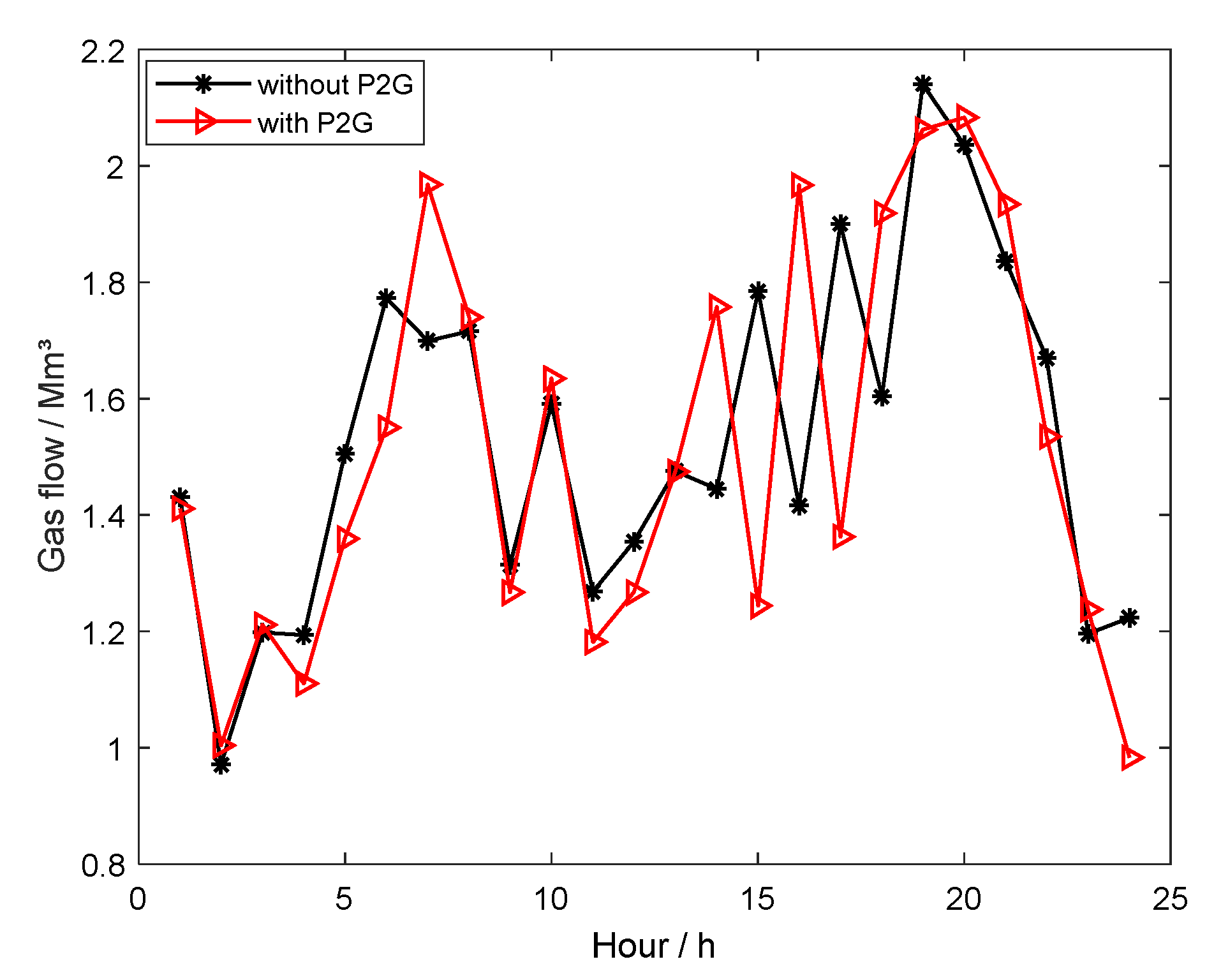
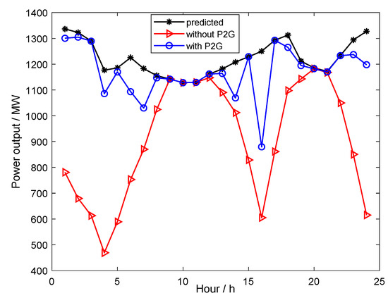
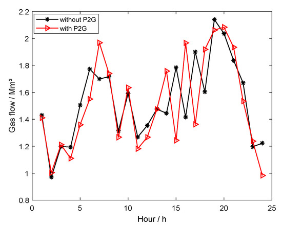
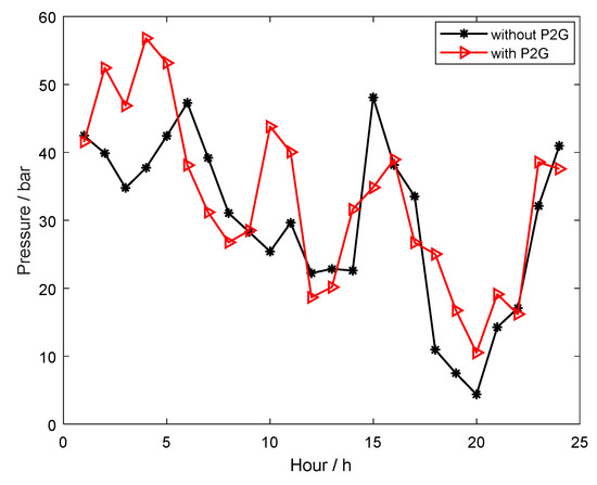
The optimal dispatch results are shown in Table 4. Wind power output and curtailed wind power without P2G and with P2G are given in Figure 4 and Figure 5, respectively. The power output of coal-fired units and gas-fired units is shown in Figure 6. Besides, the linepack of pipelines and gas pressure of node 6 are given in Figure 7 and Figure 8. Gas flow of gas wells and gas storage as well as volume of gas storage can be found in Figure 9, Figure 10 and Figure 11.
Table 4.
Optimal dispatch results of integrated energy systems without P2G and with P2G.
Figure 4.
Wind power output withoutP2G and with P2G.
Figure 5.
Curtailed wind power without P2G and with P2G.
Figure 6.
Power output of thermal units without P2G and with P2G.
Figure 7.
Linepack of pipelines without P2G and with P2G.
Figure 8.
Gas pressure of gas node 6 without P2G and with P2G.
Figure 9.
Gas flow of gas wells without P2G and with P2G.
Figure 10.
Gas flow of gas storage without P2G and with P2G.
Figure 11.
Total volume of gas storage without P2G and with P2G.
From these obtained results, when P2G is considered, it has obvious advantages in many aspects which can be described in details as below.
- (1)
- The total operational cost declined by $7000 and SOx emissions decreased by 790 kg. The main reasons for the decrease in operational cost are the injection of gas produced by P2G to gas network and thus the reduction of gas from gas wells. The main reason for the reduction of SOx emissions is the decrease of power output of coal-fired units. More specifically, the power output of coal-fired units is increased by 25.895MW at 20:00 but decreased by 39.938 MW and 9.760 MW at 19:00 and 21:00, respectively. In general, the power output of coal-fired units is declined when P2G is taken into account and thus SOx emissions are decreased accordingly.
- (2)
- CO2 is reduced by 620 ton due to the reduction of gas flow of gas wells and absorption of CO2 by methanation process.
- (3)
- Wind power output is increased by 6266.742 MWh as well as the rate of wind power accommodation is raised from 74.42% to 95.78%. It is noted that increased wind power is converted to methane to be stored in natural gas network which can be used to supply peak gas load or heating load later.
- (4)
- As both gas load and heating load are peaked at 20:00, linepack is not sufficient at the time and gas pressure of gas node (for example node 6) may below its minimum pressure which will affect normal operation of natural gas network. In order to solve this problem, gas consumption for gas-fired units is decreased and accordingly power output of coal-fired units is also adjusted, which can be seen from Figure 6. Due to gas produced from P2G inflowing to natural gas network, linepack as well as node pressure are increased significantly which can be found from Figure 7 and Figure 8.
- (5)
4.2.2. Effects of P2G on Flexibility of Integrated Power-Natural Gas-Heating Energy Systems
The total gas redundancy and flexibility metric of integrated energy systems without P2G and with P2G are given in Table 5. Moreover, the hourly flexibility metric of integrated energy systems without P2G and with P2G are shown in Table 6.
Table 5.
Total gas redundancy and flexibility metric of integrated energy systems without P2G and with P2G.
Table 6.
Hourly flexibility metric of integrated energy systems without P2G and with P2G.
Owing to the gas injection from P2G, the gas redundancy of natural gas network is increased from 10.267 Mm3 to 11.749 Mm3 (increased by 14.43%) as well as flexibility metric is raised from 0.244 to 0.419 (raised by 71.72%). It is noted that the peak load of power, gas and heating almost appears at 20:00 and at this time there is no wind curtailment. The integrated power-natural gas-heating energy systems has great challenge in reliable operation and flexibility. If gas flow of gas turbines is not declined to decrease gas load of natural gas network, the simulated pressure of node 6 is below zero which means the natural gas network cannot operate normally. After the adjustment of gas flow of gas turbines, pressure of node 6 is still below its lowest value (10 bar) which can be found from Figure 8. Even though there is no wind curtailment at the time of peak load, this problem still can be solved through gas injection from P2G which can be stored, transported in natural gas network and supply gas and heating load when peak demand arrives. That is exactly why flexibility of the integrated power-natural gas-heating energy systems can be raised significantly by P2G.
The increase of flexibility metric from 0.244 to 0.419 greatly benefits the integrated power- natural gas-heating energy systems. More specifically, the ability to deal with high ramp caused by gas demand/heating demand is better, the linepack of pipelines is more adequate to maintain gas pressure of gas nodes and gas supplying for gas turbines in power systems is more abundant.
5. Conclusions
A multi-objective optimization model is presented to maximize both economic and environmental benefits from operating the integrated power-natural gas-heating energy systems with P2G and gas storage. The flexibility contribution of P2G is assessed using a novel flexibility metric based on redundant linepack and gas storage. The results of case studies demonstrate that economic/environmental benefit of P2G in cost saving ($7000), emissions reduction (790 kg of SOx and 620 ton of CO2) and accommodation of wind power (from 74.42% to 95.78%). Moreover, P2G significantly improves the flexibility of integrated energy systems with a 71.72% increase. These contribution from P2G is critical in the operation performance of power system, gas network and heating sector in view of reducing decline of gas supply to power system, lessening dependance on gas wells and preventing large drop of node pressure when peak demand arrives.
Author Contributions
J.L.: Conceptualization, Funding acquisition, Methodology, Project administration, Software, Supervision, Writing—original draft; W.S.: Data curation, Methodology, Resources, Writing—review &editing; J.Y.: Formal analysis, Investigation, Validation. All authors have read and agreed to the published version of the manuscript.
Funding
This research was funded by the Fundamental Research Funds for the Central Universities, grant number 2020YQJD09 and Training Program of Innovation and Entrepreneurship for Undergraduates of China University of Mining and Technology-Beijing, grant number C202004924.
Institutional Review Board Statement
Not applicable.
Informed Consent Statement
Not applicable.
Data Availability Statement
Not applicable.
Conflicts of Interest
The authors declare no conflict of interest.
Nomenclature
| Parameters | |
| T | Time intervals |
| τ | Constant value related to the variability index of the compressor |
| Cij | Constant value related to physical parameters and compressibility factor of pipeline ij |
| βcs | Energy conversion coefficient of compressor s |
| ωk | Constant related to parameters of pipeline k |
| ηheat, ηGT, ηcs | Heating efficiency of natural gas, efficiency of gas turbines, efficiency of compressor s |
| ηP2G | Efficiency of P2G which indicates the total conversion efficiency of electricity (i.e. curtailed renewable energies) to gas (i.e. methane) |
| Eheat | Heating demand (MJ) |
| LHV, HHV | Lower heating value and higher heating value of natural gas (MJ/m3) |
| NG, Nw, Ngs, NP2G, Npl | Number of thermal units, gas wells, gas storage, P2G and pipelines |
| ai, bi, ci, di, ei | Coefficient of the fuel cost of thermal units |
| αi, βi, γi, δi, λi | Coefficient of the pollutant emissions |
| PD | Power demand (MW) |
| QGD, QHD | Gas demand, gas flow supplied for heating demand (MSm3/h) |
| Minimum Linepack of pipeline k (MSm3) | |
| Minimum pressure of gas node i and gas node j (bar) | |
| Maximum power output of the gas turbine (MW) | |
| Minimum power output of ith thermal unit (MW) | |
| Maximum gas flow of gas storage (MSm3/h) | |
| Maximum volume of the gas storage (MSm3) | |
| , | Minimum and maximum value of the pth state variable |
| Sets and Variables | |
| t | Time t (h) |
| Set_I(i) | The set of pipeline ij which lets gas node i as the input node |
| Set_O(i) | The set of pipeline ij which lets gas node i as the output node |
| C | Operational cost ($) |
| E | Emissions (lb or kg) |
| Fuel cost of ith thermal unit, gas cost of the jth gas well ($) | |
| Operational cost of mth gas storage, operational cost of kth P2G ($) | |
| F | Flexibility metric |
| Fpk | Redundancy of gas in pipeline k and gas storage (MSm3) |
| LPij, LPk | Linepack of pipeline ij and pipeline k (MSm3) |
| Mi, Mj | Gas pressure of gas node i and gas node j (bar) |
| Mos, Mis | Gas pressure of output node and input node connected with compressor s (bar) |
| PGT | Power output of the gas turbine (MW) |
| PP2G, Pcs | Power consumed by P2G and compressor s (MW) |
| PGi | Power output of ith thermal unit (MW) |
| QGT, QP2G | Gas flow of gas turbines, gas flow of P2G (MSm3/h) |
| , Qcs | Gas consumed by compressor s, gas flowing through compressor s (MSm3/h) |
| Qwj, Qgs,m | Gas flow of gas well j, gas flow of gas storage m (MSm3/h) |
| Qij | Gas flow of the pipeline ij (MSm3/h) |
| , | Injection and withdrawal gas flow of pipeline ij (MSm3/h) |
| Vgs | Volume of gas storage (MSm3) |
| Xp | The pth state variable |
References
- Impram, S.; Nese, S.V.; Oral, B. Challenges of renewable energy penetration on power system flexibility: A survey. Energy Strategy Rev. 2020, 31, 100539. [Google Scholar] [CrossRef]
- Baldick, R. Flexibility and availability: Can the natural gas supply support these needs? IEEE Trans. Power Energy Mag. 2014, 12, 100–104. [Google Scholar] [CrossRef]
- Keyaerts, N.; Delarue, E.; Rombauts, Y.; D’haeseleer, W. Impact of unpredictable renewables on gas-balancing design in Europe. Appl. Energy 2014, 119, 266–277. [Google Scholar] [CrossRef]
- Clegg, S. Integrated electrical and gas network flexibility assessment in low-carbon multi-energy systems. IEEE Trans. Sustain. Energy 2016, 7, 718–731. [Google Scholar] [CrossRef]
- Lannoye, E.; Flynn, D.; O’Malley, M. Evaluation of power system flexibility. IEEE Trans. Power Syst. 2012, 27, 922–931. [Google Scholar] [CrossRef]
- Guo, Z.Y.; Zheng, Y.N.; Li, G.Y. Power system flexibility quantitative evaluation based on improved universal generating function method: A case study of Zhangjiakou. Energy 2020, 205, 117963. [Google Scholar] [CrossRef]
- Xu, X.D.; Lyu, Q.; Qadrdan, M.; Wu, J.Z. Quantification of Flexibility of a District Heating System for the Power Grid. IEEE Trans. Sustain. Energy 2020, 11, 2617–2630. [Google Scholar] [CrossRef]
- Huo, Y.C.; Bouffard, F.; Joos, G. Spatio-Temporal Flexibility Management in Low-Carbon Power Systems. IEEE Trans. Sustain. Energy 2020, 11, 2593–2605. [Google Scholar] [CrossRef]
- Correa-Posada, C.M.; Sánchez-Martín, P. Integrated power and natural gas model for energy adequacy in short-term operation. IEEE Trans. Power Syst. 2015, 30, 3347–3355. [Google Scholar] [CrossRef]
- Schiebahn, S.; Grube, T.; Robinius, M.; Tietze, V.; Kumar, B.; Stolten, D. Power to gas: Technological overview, systems analysis and economic assessment for a case study in Germany. Int. J. Hydrogen Energy 2015, 40, 4285–4294. [Google Scholar] [CrossRef]
- Gotz, M.; Lefebvre, J.; Mors, F.; Koch, A.M.; Graf, F.; Bajohr, S.; Reimert, R.; Kolb, T. Renewable power-to-gas: A technological and economic review. Renew. Energy 2016, 85, 1371–1390. [Google Scholar] [CrossRef]
- Maroufmashat, A.; Fowler, M. Transition of future energy system infrastructure: Through power-to-gas pathways. Energies 2017, 10, 1089. [Google Scholar] [CrossRef]
- Mukherjee, U.; Maroufmashat, A.; Narayan, A.; Elkamel, A.; Fowler, M. A stochastic programming approach for the planning and operation of a power to gas energy hub with multiple energy recovery pathways. Energies 2017, 10, 868. [Google Scholar] [CrossRef]
- He, C.; Liu, T.Q.; Wu, L.; Shahidepour, M. Robust coordination of interdependent electricity and natural gas systems in day-ahead scheduling for facilitating volatile renewable generations via power-to-gas technology. J. Modern Power Syst. Clean Energy 2017, 5, 375–388. [Google Scholar] [CrossRef]
- Hassan, A.; Patel, M.K.; Parra, D. An assessment of the impacts of renewable and conventional electricity supply on the cost and value of power-to-gas. Int. J. Hydrogen Energy 2019, 44, 9577–9593. [Google Scholar] [CrossRef]
- Liu, J.; Sun, W.; Harrison, G.P. Optimal Low-Carbon Economic Environmental Dispatch of Hybrid Electricity-Natural Gas Energy Systems Considering P2G. Energies 2019, 12, 1355. [Google Scholar] [CrossRef]
- Clegg, S.; Mancarella, P. Integrated modelling and assessment of the operational impact of power-to-gas (P2G) on electrical and gas transmission networks. IEEE Trans. Sustain. Energy 2015, 6, 1234–1244. [Google Scholar] [CrossRef]
- Li, Y.; Liu, W.J.; Zhao, J.H.; Wen, F.S.; Dong, C.Y.; Zheng, Y.; Zhang, R. Optimal dispatch of combined electricity-gas-heat energy systems with power-to-gas devices and benefit analysis of wind power accommodation. Power Syst. Technol. 2016, 40, 3680–3688. [Google Scholar] [CrossRef]
- Ye, J.; Yuan, R.X. Integrated natural gas, heat, and power dispatch considering wind power and power-to-gas. Sustainability 2017, 9, 602. [Google Scholar] [CrossRef]
- Li, G.Q.; Zhang, R.F.; Jiang, T. Security-constrained bi-level economic dispatch model for integrated natural gas and electricity systems considering wind power and power-to-gas process. Appl. Energy 2017, 194, 696–704. [Google Scholar] [CrossRef]
- Guandalini, G.; Campanari, S.; Romano, M.C. Power-to-gas plants and gas turbines for improved wind energy dispatchability: Energy and economic assessment. Appl. Energy 2015, 147, 117–130. [Google Scholar] [CrossRef]
- Chen, Z.Y.; Wang, D.; Jia, H.J.; Wang, W.L.; Guo, B.Q.; Qu, B.; Fan, M.H. Research on optimal day-ahead economic dispatching strategy for microgrid considering P2G and multi-source energy storage system. Proc. CSEE 2017, 37, 3067–3077. [Google Scholar] [CrossRef]
- Wei, Z.N.; Zhang, S.D.; Sun, G.Q.; Zang, H.Y.; Chen, S.; Chen, S. Power-to-gas considered peak load shifting research for integrated electricity and natural-gas energy systems. Proc. CSEE 2017, 37, 4601–4609. [Google Scholar] [CrossRef]
- Liu, J.; Sun, W.; Harrison, G.P. The economic and environmental impact of power to hydrogen/power to methane facilities on the hybrid power-natural gas energy systems. Int. J. Hydrog. Energy 2020, 45, 20200–20209. [Google Scholar] [CrossRef]
- Ameli, H.; Qadrdan, M.; Strbac, G. Value of gas network infrastructure flexibility in supporting cost effective operation of power systems. Appl. Energy 2017, 202, 571–580. [Google Scholar] [CrossRef]
- Clegg, S.; Mancarella, P. Integrated electricity-heat-gas modelling and assessment, with applications to the Great Britain system. Part II: Transmission network analysis and low carbon technology and resilience case studies. Energy 2019, 184, 191–203. [Google Scholar] [CrossRef]
- Clegg, S.; Mancarella, P. Integrated electricity-heat-gas modelling and assessment, with applications to the Great Britain system. Part I: High-resolution spatial and temporal heat demand modelling. Energy 2019, 184, 180–190. [Google Scholar] [CrossRef]
- Chicco, G.; Riaz, S.; Mazza, A. Flexibility from distributed multienergy systems. Proc. IEEE 2020, 108, 1496–1517. [Google Scholar] [CrossRef]
- Liu, J.; Luo, X.J. Short-term optimal environmental economic hydrothermal scheduling based on handling complicated constraints of multi-chain cascaded hydropower station. Proc. CSEE 2012, 32, 27–35. [Google Scholar] [CrossRef]
- Liu, J.; Luo, X.J. Environmental economic dispatching adopting multi-objective random black-hole particle swarm optimization algorithm. Proc. CSEE 2010, 30, 105–111. [Google Scholar] [CrossRef]
Publisher’s Note: MDPI stays neutral with regard to jurisdictional claims in published maps and institutional affiliations. |
© 2021 by the authors. Licensee MDPI, Basel, Switzerland. This article is an open access article distributed under the terms and conditions of the Creative Commons Attribution (CC BY) license (http://creativecommons.org/licenses/by/4.0/).










