Effect of Low-Temperature Conditioning of Excess Dairy Sewage Sludge with the Use of Solidified Carbon Dioxide on the Efficiency of Methane Fermentation
Abstract
1. Introduction
2. Materials and Methods
2.1. Organization of Experimental Works
2.2. Materials
2.3. Respirometric Measurements
2.4. Analytical Methods
2.5. Computation Methods
2.6. Statistical Methods
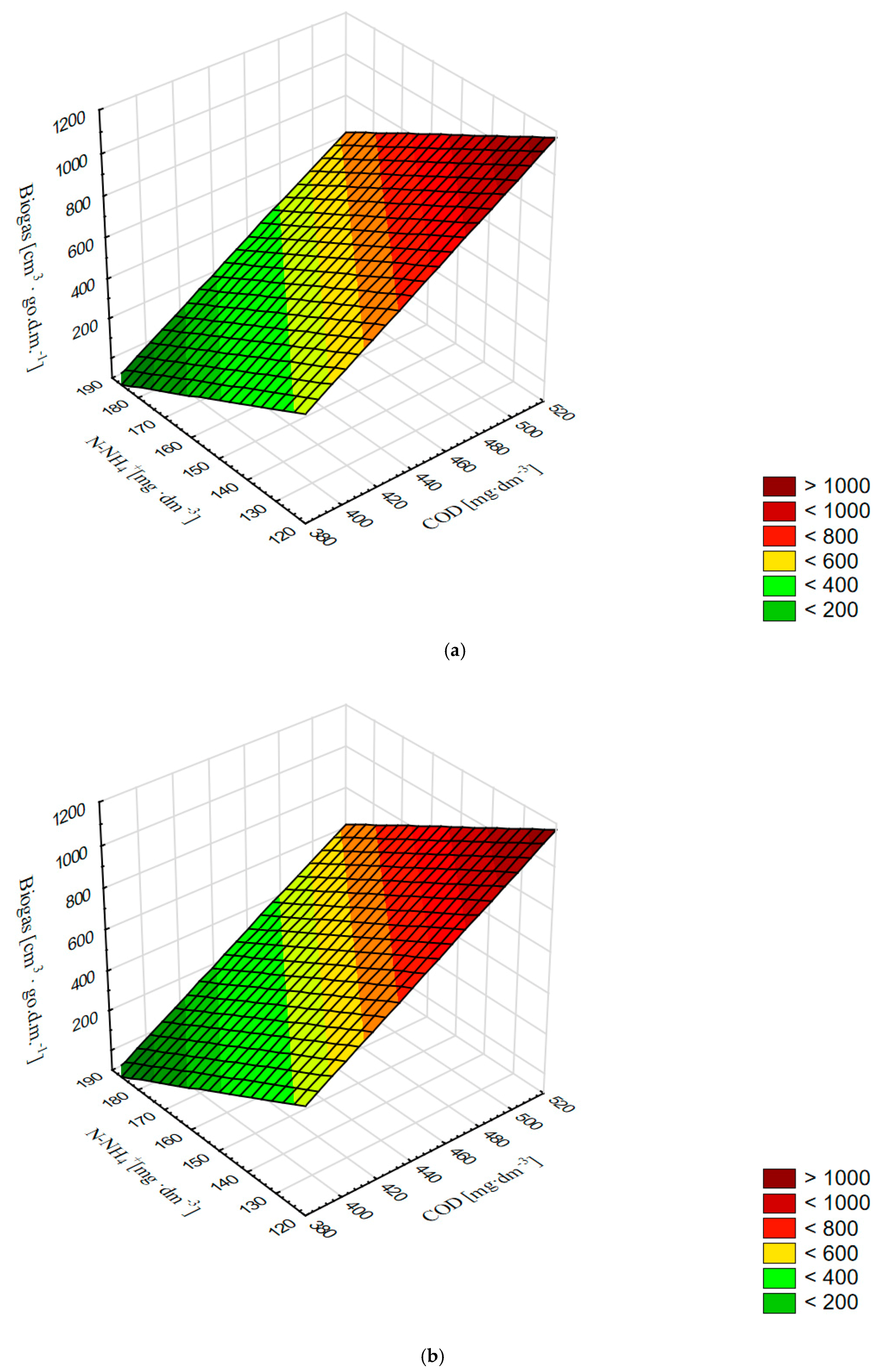
3. Results and Discussion
4. Conclusions
Author Contributions
Funding
Institutional Review Board Statement
Informed Consent Statement
Data Availability Statement
Conflicts of Interest
References
- Dębowski, M.; Zieliński, M.; Kisielewska, M.; Kazimierowicz, J. Evaluation of Anaerobic Digestion of Dairy Wastewater in an Innovative Multi-Section Horizontal Flow Reactor. Energies 2020, 13, 2392. [Google Scholar] [CrossRef]
- Garg, S.; Rumjit, N.P.; Thomas, P.; Sikander; Lai, C.W.; George, P.J. Green Technologies for the Treatment and Utilisation of Dairy Product Wastes. In Sustainable Green Chemical Processes and Their Allied Applications; Nanotechnology in the Life Sciences; Inamuddin, I., Asiri, A., Eds.; Springer: Cham, Switzerland, 2020. [Google Scholar] [CrossRef]
- Tian, T.; Zhou, K.; Xuan, L.; Zhang, J.-X.; Li, Y.-S.; Liu, D.-F.; Yu, H.-Q. Exclusive microbially driven autotrophic iron-dependent denitrification in a reactor inoculated with activated sludge. Water Res. 2019. [Google Scholar] [CrossRef] [PubMed]
- Żyłka, R.; Dąbrowski, W.; Malinowski, P.; Karolinczak, B. Modeling of Electric Energy Consumption during Dairy Wastewater Treatment Plant Operation. Energies 2020, 13. [Google Scholar] [CrossRef]
- Goli, A.; Shamiri, A.; Khosroyar, S.; Talaiekhozani, A.; Sanaye, R.; Azizi, K. A Review on Different Aerobic and Anaerobic Treatment Methods in Dairy Industry Wastewater. J. Environ. Treat. Tech. 2019, 6, 113–141. [Google Scholar]
- Sabliy, L.; Kuzminskiy, Y.; Zhukova, V.; Kozar, M.; Sobczuk, H. New Approaches in Biological Wastewater Treatment Aimed at Removal of Organic Matter and Nutrients. Ecol. Chem. Eng. S 2019, 26, 331–343. [Google Scholar] [CrossRef]
- Ahmad, T.; Aadil, R.M.; Ahmed, H.; Rahman, U.; Soares, B.C.V.; Souza, S.L.Q.; Pimentel, T.C.; Scudino, H.; Guimarães, J.T.; Esmerino, E.A.; et al. Treatment and utilization of dairy industrial waste: A review. Trends Food Sci. Technol. 2019, 88, 361–372. [Google Scholar] [CrossRef]
- Flotats, X. Biogas: Perspectives of an Old Technology. In Biorefinery; Bastidas-Oyanedel, J.R., Schmidt, J., Eds.; Springer: Cham, Switzerland, 2019. [Google Scholar] [CrossRef]
- Markowski, M.; Bialobrzewski, I.; Zielinski, M.; Dębowski, M.; Krzemieniewski, M. Optimizing low-temperature biogas production from biomass by anaerobic digestion. Renew. Energy 2014, 69, 219–225. [Google Scholar] [CrossRef]
- Dębowski, M.; Zieliński, M. Technological Effectiveness of Sugar-Industry Effluent Methane Fermentation in a Fluidized Active Filling Reactor (FAF-R). Energies 2020, 13, 6626. [Google Scholar] [CrossRef]
- Di Capua, F.; Spasiano, D.; Giordano, A.; Adani, F.; Fratino, U.; Pirozzi, F.; Esposito, G. High-solid anaerobic digestion of sewage sludge: Challenges and opportunities. Appl. Energy 2020, 278. [Google Scholar] [CrossRef]
- Oladejo, J.; Shi, K.; Luo, X.; Yang, G.; Wu, T. A Review of Sludge-to-Energy Recovery Methods. Energies 2019, 12, 60. [Google Scholar] [CrossRef]
- Liu, B.; Jin, R.; Liu, G.; Gu, C.; Dong, B.; Zhou, J.; Xing, D. Effect on sludge disintegration by EDTA-enhanced thermal-alkaline treatment. Water Environ. Res. 2019. [Google Scholar] [CrossRef] [PubMed]
- Liu, X.; Xu, Q.; Wang, D.; Wu, Y.; Yang, Q.; Liu, Y.; Wang, Q.; Li, X.; Li, H.; Zeng, G.; et al. Unveiling the mechanisms of how cationic polyacrylamide affects short-chain fatty acids accumulation during long-term anaerobic fermentation of waste activated sludge. Water Res. 2019, 155, 142–151. [Google Scholar] [CrossRef]
- Liu, J.; Wei, Y.; Li, K.; Tong, J.; Wang, Y.; Jia, R. Microwave-acid pretreatment: A potential process for enhancing sludge dewaterability. Water Res. 2016, 90, 225–234. [Google Scholar] [CrossRef] [PubMed]
- Mancuso, G.; Langone, M.; Andreottola, G.; Bruni, L. Effects of hydrodynamic cavitation, low-level thermal and low-level alkaline pre-treatments on sludge solubilisation. Ultrason. Sonochem. 2019, 59, 104750. [Google Scholar] [CrossRef] [PubMed]
- Zhang, G.; Zhang, P.; Yang, J.; Chen, Y. Ultrasonic reduction of excess sludge from the activated sludge system. J. Hazard. Mater. 2007, 145, 515–519. [Google Scholar] [CrossRef] [PubMed]
- Nabi, M.; Zhang, G.; Li, F.; Zhang, P.; Wu, Y.; Tao, X.; Bao, S.; Wang, S.; Chen, N.; Ye, J.; et al. Enhancement of high pressure homogenization pretreatment on biogas production from sewage sludge: A review. Desalin. Water Treat. 2020, 175, 341–351. [Google Scholar] [CrossRef]
- Wett, B.; Phothilangka, P.; Eladawy, A. Systematic comparison of mechanical and thermal sludge disintegration technologies. Waste Manag. 2010, 30, 1057–1062. [Google Scholar] [CrossRef]
- Aylin Alagöz, B.; Yenigün, O.; Erdinçler, A. Ultrasound assisted biogas production from co-digestion of wastewater sludges and agricultural wastes: Comparison with microwave pre-treatment. Ultrason. Sonochem. 2018, 40, 193–200. [Google Scholar] [CrossRef]
- Zhou, Z.; Yang, Y.; Li, X. Effects of ultrasound pretreatment on the characteristic evolutions of drinking water treatment sludge and its impact on coagulation property of sludge recycling process. Ultrason. Sonochem. 2015, 27, 62–71. [Google Scholar] [CrossRef]
- Zieliński, M.; Dębowski, M.; Krzemieniewski, M.; Rusanowska, P.; Zielińska, M.; Cydzik-Kwiatkowska, A.; Głowacka-Gil, A. Application of an Innovative Ultrasound Disintegrator for Sewage Sludge Conditioning Before Methane Fermentation. J. Ecol. Eng. 2018, 19, 240–247. [Google Scholar] [CrossRef]
- Rani, R.U.; Kumar, S.A.; Kaliappan, S.; Yeom, I.; Banu, J.R. Impacts of microwave pretreatments on the semi-continuous anaerobic digestion of dairy waste activated sludge. Waste Manag. 2013, 33, 1119–1127. [Google Scholar] [CrossRef] [PubMed]
- Yi, W.G.; Lo, K.V.; Mavinic, D.S. Effects of microwave, ultrasonic and enzymatic treatment on chemical and physical properties of waste-activated sludge. J. Env. Sci. Health A 2014, 49, 203–209. [Google Scholar] [CrossRef] [PubMed]
- Ali, M.; Zhang, J.; Raga, R.; Lavagnolo, M.C.; Pivato, A.; Wang, X.; Zhang, Y.; Cossu, R.; Yue, D. Effectiveness of aerobic pretreatment of municipal solid waste for accelerating biogas generation during simulated landfilling. Front. Env. Sci. Eng. 2018, 12, 5. [Google Scholar] [CrossRef]
- Lü, F.; Wang, J.; Shao, L.; He, P. Enzyme disintegration with spatial resolution reveals different distributions of sludge extracellular polymer substances. Biotechnol. Biofuels 2016, 9, 29. [Google Scholar] [CrossRef] [PubMed]
- Gebreeyessus, G.D.; Jenicek, P. Thermophilic versus mesophilic anaerobic digestion of sewage sludge: A comparative review. Bioengineering 2016, 3, 15. [Google Scholar] [CrossRef]
- Silvestri, D.; Wacławek, S.; Gončuková, Z.; Padil, V.V.T.; Grübel, K.; Černík, M. A new method for assessment of the sludge disintegration degree with the use of differential centrifugal sedimentation. Environ. Technol. (UK) 2018, 1–8. [Google Scholar] [CrossRef]
- Parthiba Karthikeyan, O.; Trably, E.; Mehariya, S.; Bernet, N.; Wong, J.W.C.; Carrere, H. Pretreatment of food waste for methane and hydrogen recovery: A review. Bioresour. Technol. 2018, 249, 1025–1039. [Google Scholar] [CrossRef]
- Carbajo, J.B.; Petre, A.L.; Rosal, R.; Berná, A.; Letón, P.; García-Calvo, E.; Perdigón-Melón, J.A. Ozonation as pre-treatment of activated sludge process of a wastewater containing benzalkonium chloride and NiO nanoparticles. Chem. Eng. J. 2016, 283, 740–749. [Google Scholar] [CrossRef]
- Xu, Q.; Liu, X.; Fu, Y.; Li, Y.; Wang, D.; Wang, Q.; Liu, Y.; An, H.; Zhao, J.; Wu, Y.; et al. Feasibility of enhancing short-chain fatty acids production from waste activated sludge after free ammonia pretreatment: Role and significance of rhamnolipid. Bioresour. Technol. 2018, 267, 141–148. [Google Scholar] [CrossRef]
- Kim, C.; Ahn, J.-Y.; Kim, T.Y.; Shin, W.S.; Hwang, I. Activation of persulfate by nanosized zero-valent iron (NZVI): Mechanisms and transformation products of NZVI. Environ. Sci. Technol 2018, 52, 3625–3633. [Google Scholar] [CrossRef]
- Liu, X.; Xu, Q.; Wang, D.; Zhao, J.; Wu, Y.; Liu, Y.; Ni, B.J.; Wang, Q.; Zeng, G.; Li, X.; et al. Improved methane production from waste activated sludge by combining free ammonia with heat pretreatment: Performance, mechanisms and applications. Bioresour. Technol. 2018, 268, 230–236. [Google Scholar] [CrossRef] [PubMed]
- Pilli, S.; Yan, S.; Tyagi, R.D.; Surampalli, R.Y. Thermal pretreatment of sewage sludge to enhance anaerobic digestion: A review. Crit. Rev. Env. Sci. Technol. 2015, 45, 669–702. [Google Scholar] [CrossRef]
- Krzemieniewski, M.; Debowski, M.; Janczukowicz, W.; Pesta, J. Effect of Sludge Conditioning by Chemical Methods with Magnetic Field Application. Pol. J. Environ. Stud. 2003, 12, 595–605. [Google Scholar]
- Suschka, J.; Grübel, K. Low intensity surplus activated sludge pretreatment before anaerobic digestion. Arch. Environ. Prot. 2016, 43, 50–57. [Google Scholar] [CrossRef][Green Version]
- Uma Rani, R.; Adish Kumar, S.; Kaliappan, S.; Yeom, I.T.; Banu, J.R. Enhancing the anaerobic digestion potential of dairy waste activated sludge by two step sono-alkalization pretreatment. Ultrason. Sonochem. 2014, 21, 1065–1074. [Google Scholar] [CrossRef]
- Jean, D.S.; Lee, D.J.; Chang, C.Y. Direct sludge freezing using dry ice. Adv. Environ. Res. 2001, 5, 145–150. [Google Scholar] [CrossRef]
- Machnicka, A.; Grübel, K.; Wacławek, S.; Sikora, K. Waste-activated sludge disruption by dry ice: Bench scale study and evaluation of heat phase transformations. Environ. Sci. Pollut. Res. 2019, 26, 26488–26499. [Google Scholar] [CrossRef]
- Bollag, D.H.; Edelstein, S.J. Protein Methods; Wiley & Liss: New York, NY, USA, 1992. [Google Scholar]
- Diak, J.; Örmeci, B.; Proux, C. Freeze—Thaw treatment of RBC sludge from a remote mining exploration facility in subarctic Canada. Water Sci. Technol. 2011, 63, 1309–1313. [Google Scholar] [CrossRef]
- Tuan, P.A.; Sillanpää, M. Migration of ions and organic matter during electro—Dewatering of anaerobic sludge. J. Hazard. Mater. 2010, 15, 54–61. [Google Scholar] [CrossRef]
- StatSoft Electronic Statistics Textbook. Copyright StatSoft, Inc., 1984–2011. Available online: https://www.statsoft.pl/textbook/stathome_stat.html?https%3A%2F%2Fwww.statsoft.pl%2Ftextbook%2Fadvisor.html (accessed on 1 December 2020).
- Nowicka, E.; Machnicka, A. Confirmation of effectiveness surplus activated sludge dry ice disruption by infrared wave analysis. In Proceedings of the 42nd International Conference of Slovak Society of Chemical Engineering, Tatranské matliare, Slovakia, 25–29 May 2015; Baza Wiedzy: Tatranské Matliare, Slovakia, 2015; pp. 531–551. [Google Scholar]
- Hu, K.; Jiang, J.Q.; Zhao, Q.L.; Lee, D.J.; Wang, K.; Qiu, W. Conditioning of wastewater sludge freezing and thawing: Role of curing. Water Res. 2011, 45, 5969–5976. [Google Scholar] [CrossRef]
- Zhao, Q.L.; Hu, K.; Miao, L.J.; Wang, K. Effect of Ultrasonic Treatment on Characteristics of Waste Activated Sludge. Bioinformatics and Biomedical Engineering (iCBBE). In Proceedings of the 4th International Conference, Chengdu, China, 18–20 June 2010; IEEE: Piscataway, NY, USA, 2010; pp. 1–4. [Google Scholar] [CrossRef]
- Bougrier, C.; Delgenès, J.P.; Carrère, H. Effects of thermal treatments on five different waste activated sludge samples solubilisation, physical properties and anaerobic digestion. Chem. Eng. J. 2008, 139, 236–244. [Google Scholar] [CrossRef]
- Stabnikova, O.; Liu, X.Y.; Wang, J.Y. Digestion of frozen/thawed food waste in the hybrid anaerobic solid–liquid system. Waste Manag. 2008, 28, 1654–1659. [Google Scholar] [CrossRef] [PubMed]
- Örmeci, B.; Vesilind, P.A. Effect of dissolved organic material and cations on freeze–thaw conditioning of activated and alum sludges. Water Res. 2001, 35, 4299–4306. [Google Scholar] [CrossRef]
- Montusiewicz, A.; Lebiocka, M.; Rozej, A.; Zacharska, E.; Pawlowski, L. Freezing/thawing effects on anaerobic digestion of mixed sewage sludge. Bioresour. Technol. 2010, 101, 3466–3473. [Google Scholar] [CrossRef]
- Gao, W. Freezing as a combined wastewater sludge pretreatment and conditioning method. Desalination 2011, 268, 170–173. [Google Scholar] [CrossRef]
- Nowicka, E.; Machnicka, A.; Grübel, K. Improving of anaerobic digestion by dry ice disintegration of surplus activated sludge. Proc. ECOpole 2014, 8, 239–247. [Google Scholar] [CrossRef]
- Meyer, T.; Chen, X.; Tran, H.N.; Allen, D.G.; Edwards, E.A. Natural Freezing-Thawing and Its Impact on Dewaterability and Anaerobic Digestibility of Biosludge. Environ. Eng. Sci. 2017, 34, 357–366. [Google Scholar] [CrossRef]







| Indicator | Unit | Excess Sludge | Anaerobic Sludge |
|---|---|---|---|
| pH | - | 7.20 ± 0.9 | 7.36 ± 0.2 |
| Dry matter (DM) | [g·dm−3] | 18.3 ± 3.3 | 35.8 ± 3.2 |
| Organic dry matter (o.d.m.) | [g·dm−3] | 11.2 ± 1.5 | 25.0 ± 1.2 |
| Mineral dry matter (m.d.m.) | [g·dm−3] | 7.1 ± 1.1 | 10.8 ± 1.2 |
| Chemical oxygen demand (COD) | [mg·dm−3] | 4100.8 ± 126.4 | 77.5 ± 9.4 |
| Total carbon (TC) | [g TC·dm−3] | 781.4 ± 30.6 | 10.7 ± 0.5 |
| Total nitrogen (TN) | [g TN·dm−3] | 59.1 ± 8.6 | 1.1 ± 0.2 |
| Carbon to nitrogen ratio (C/N) | - | 13.2 ± 1.2 | 9.7 ± 0.7 |
| Ammonia nitrogen (N-NH4+) | [mg·dm−3] | 240.6 ± 20.9 | 105.4 ± 12.6 |
| Orthophosphates (PO43−) | [mg·dm−3] | 295.8 ± 28.5 | 91.3 ± 10.5 |
| Variant | r | k | CH4 |
|---|---|---|---|
| [cm3·d−1] | [1·d−1] | [%] | |
| 1 | 79.3 | 0.18 | 61.2 ± 1.3 |
| 2 | 111.1 | 0.21 | 63.8 ± 2.8 |
| 3 | 129.7 | 0.23 | 64.5 ± 1.7 |
| 4 | 157.6 | 0.25 | 68.7 ± 1.5 |
| 5 | 133.8 | 0.23 | 66.3 ± 2.1 |
| 6 | 131.8 | 0.23 | 66.2 ± 1.9 |
| Variant | SCDO/DSS | ρDSS | MDSS | VDSS | ρSCDO | VSCDO | MSCDO | PSCDO | YSCDO | Es | Ymethane | Ymethane | CVmethane | Eout | Enout | Enet | % |
|---|---|---|---|---|---|---|---|---|---|---|---|---|---|---|---|---|---|
| [-] | [kg·dm−3] | [kg] | [dm3] | [kg·dm−3] | [dm3] | [kg] | [kW] | [kg·h−1] | [Wh] | [dm3·kgo.d.m.−1] | [dm3·kg f.m.−1] | [kWh·dm−3] | [Wh] | [Wh] | [Wh] | ||
| 1 | 0 | 1.03 | 1.03 | 1 | 1.56 | 0 | 0 | 1.6 | 55 | 0 | 270 | 3.024 | 0.00917 | 28.6 ± 1.5 | - | 28.6 ± 1.5 | - |
| 2 | 0.1 | 0.1 | 0.156 | 4.5 ± 0.3 | 338 | 3.786 | 35.8 ± 1.2 | 7.2 ± 0.3 | 31.2 ± 1.8 | 9.3 ± 1.1 | |||||||
| 3 | 0.2 | 0.2 | 0.312 | 9.1 ± 0.9 | 364 | 4.077 | 38.5 ± 1.7 | 9.9 ± 0.2 | 29.4 ± 1.2 | 3.0 ± 1.0 | |||||||
| 4 | 0.3 | 0.3 | 0.468 | 13.6 ± 1.1 | 434 | 4.861 | 45.9 ± 2.8 | 17.3 ± 1.3 | 32.3 ± 1.5 | 13.1 ± 1.1 | |||||||
| 5 | 0.4 | 0.4 | 0.624 | 18.2 ± 0.8 | 386 | 4.323 | 40.8 ± 2.1 | 12.3 ± 0.6 | 22.7 ± 1.9 | −20.6 ± 0.8 | |||||||
| 6 | 0.5 | 0.5 | 0.78 | 22.7 ± 1.3 | 379 | 4.245 | 40.1 ± 2.3 | 11.5 ± 0.8 | 17.4 ± 1.7 | −39.1 ± 0.6 |
Publisher’s Note: MDPI stays neutral with regard to jurisdictional claims in published maps and institutional affiliations. |
© 2020 by the authors. Licensee MDPI, Basel, Switzerland. This article is an open access article distributed under the terms and conditions of the Creative Commons Attribution (CC BY) license (http://creativecommons.org/licenses/by/4.0/).
Share and Cite
Kazimierowicz, J.; Bartkowska, I.; Walery, M. Effect of Low-Temperature Conditioning of Excess Dairy Sewage Sludge with the Use of Solidified Carbon Dioxide on the Efficiency of Methane Fermentation. Energies 2021, 14, 150. https://doi.org/10.3390/en14010150
Kazimierowicz J, Bartkowska I, Walery M. Effect of Low-Temperature Conditioning of Excess Dairy Sewage Sludge with the Use of Solidified Carbon Dioxide on the Efficiency of Methane Fermentation. Energies. 2021; 14(1):150. https://doi.org/10.3390/en14010150
Chicago/Turabian StyleKazimierowicz, Joanna, Izabela Bartkowska, and Maria Walery. 2021. "Effect of Low-Temperature Conditioning of Excess Dairy Sewage Sludge with the Use of Solidified Carbon Dioxide on the Efficiency of Methane Fermentation" Energies 14, no. 1: 150. https://doi.org/10.3390/en14010150
APA StyleKazimierowicz, J., Bartkowska, I., & Walery, M. (2021). Effect of Low-Temperature Conditioning of Excess Dairy Sewage Sludge with the Use of Solidified Carbon Dioxide on the Efficiency of Methane Fermentation. Energies, 14(1), 150. https://doi.org/10.3390/en14010150

