Professional Car Drivers’ Attitudes toward Technical, Marketing and Environmental Characteristics of Engine Oils: A Survey Study
Abstract
1. Introduction and Theoretical Background
2. Materials and Methods
2.1. Survey Design
2.2. Research Hypotheses
2.3. Data Analysis Methods
3. Results
3.1. Characteristics of the Sample
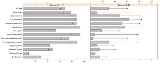
3.2. Model-Based Clustering Results
4. Discussion
5. Conclusions
Author Contributions
Funding
Conflicts of Interest
References
- Kollat, D.T.; Willett, R.P. Customer impulse purchasing behavior. J. Mark. Res. 1967, 4, 21–31. [Google Scholar] [CrossRef]
- Olshavsky, R.W.; Granbois, D.H. Consumer decision making—fact or fiction? J. Consum. Res. 1979, 6, 93–100. [Google Scholar] [CrossRef]
- Holbrook, M.B.; Hirschman, E.C. The experiential aspects of consumption: Consumer fantasies, feelings, and fun. J. Consum. Res. 1982, 9, 132–140. [Google Scholar] [CrossRef]
- Engel, J.; Blackwell, R.; Miniard, P. Consumer Behavior (8th Eds.). N. Y. Dryden Press 1995, 8, 330–345. [Google Scholar]
- Sweeney, J.C.; Soutar, G.N. Consumer perceived value: The development of a multiple item scale. J. Retail. 2001, 77, 203–220. [Google Scholar] [CrossRef]
- Chen, A.; Lu, Y.; Wang, B. Customers’ purchase decision-making process in social commerce: A social learning perspective. Int. J. Inf. Manag. 2017, 37, 627–638. [Google Scholar] [CrossRef]
- Peter, J.P.; Olson, J.C. Consumer Behavior & Marketing Strategy, 9th ed.; McGraw-Hill/Irwin: New York, NY, USA, 2010. [Google Scholar]
- De Vries, N.J.; Reis, R.; Moscato, P. Clustering Consumers Based on Trust, Confidence and Giving Behaviour: Data-Driven Model Building for Charitable Involvement in the Australian Not-For-Profit Sector. PLoS ONE 2015, 10, e0122133. [Google Scholar] [CrossRef]
- Yee, C.J.; San, N.C. Consumers’ perceived quality, perceived value and perceived risk towards purchase decision on automobile. Am. J. Econ. Bus. Adm. 2011, 3, 47–57. [Google Scholar]
- Nagendramma, P.; Kaul, S. Development of ecofriendly/biodegradable lubricants: An overview. Renew. Sustain. Energy Rev. 2012, 16, 764–774. [Google Scholar] [CrossRef]
- Pujari, D.; Wright, G.; Peattie, K. Green and competitive: Influences on environmental new product development performance. J. Bus. Res. 2003, 56, 657–671. [Google Scholar] [CrossRef]
- Menguc, B.; Ozanne, L.K. Challenges of the “green imperative”: A natural resource-based approach to the environmental orientation–business performance relationship. J. Bus. Res. 2005, 58, 430–438. [Google Scholar] [CrossRef]
- Moser, A.K. Consumers’ purchasing decisions regarding environmentally friendly products: An empirical analysis of German consumers. J. Retail. Consum. Serv. 2016, 31, 389–397. [Google Scholar] [CrossRef]
- Maignan, I.; Ferrell, O.C. Antecedents and benefits of corporate citizenship: An investigation of French businesses. J. Bus. Res. 2001, 51, 37–51. [Google Scholar] [CrossRef]
- Lombart, C.; Louis, D. A study of the impact of Corporate Social Responsibility and price image on retailer personality and consumers’ reactions (satisfaction, trust and loyalty to the retailer). J. Retail. Consum. Serv. 2014, 21, 630–642. [Google Scholar] [CrossRef]
- Kolk, A. Green reporting. Harv. Bus. Rev. 2000, 78, 15. [Google Scholar]
- Lavorata, L. Influence of retailers’ commitment to sustainable development on store image, consumer loyalty and consumer boycotts: Proposal for a model using the theory of planned behavior. J. Retail. Consum. Serv. 2014, 21, 1021–1027. [Google Scholar] [CrossRef]
- Gurău Călin International green marketing: A comparative study of British and Romanian firms. Int. Mark. Rev. 2005, 22, 547–561. [CrossRef]
- Knight, J. Acceptance of genetically modified food in India: Perspectives of gatekeepers. Br. Food J. 2008, 110, 1019–1033. [Google Scholar] [CrossRef]
- Nath, V.; Kumar, R.; Agrawal, R.; Gautam, A.; Sharma, V. Green behaviors of Indian consumers. Int. J. Res. Manag. Econ. Commer. 2012, 2, 488–498. [Google Scholar]
- Hansen, M.G. Environmental Engagement and Product Knowledge Among Consumers of Electric Light Bulbs in Albany, California; Published in ES196 May 2009, Senior ResearchSeminar, Environmental Sciences Group Major; University of California at Berkeley: Berkeley, CA, USA, 2009; pp. 1–12. [Google Scholar]
- Rusin, M.; Gospodarek, J.; Nadgórska-Socha, A. The Effect of Petroleum-Derived Substances on the Growth and Chemical Composition of Vicia faba L. Pol. J. Environ. Stud. 2015, 24, 2157–2166. [Google Scholar] [CrossRef]
- Wolińska, A.; Kuźniar, A.; Szafranek-Nakonieczna, A.; Jastrzębska, N.; Roguska, E.; Stępniewska, Z. Biological Activity of Autochthonic Bacterial Community in Oil-Contaminated Soil. Water. Air. Soil Pollut. 2016, 227, 130. [Google Scholar] [CrossRef] [PubMed]
- Hsu, Y.-L.; Liu, C.-C. Evaluation and selection of regeneration of waste lubricating oil technology. Environ. Monit. Assess. 2011, 176, 197–212. [Google Scholar] [CrossRef] [PubMed]
- Oliveira, C.M.; Magrini, A. Life Cycle Assessment of Lubricant Oil Plastic Containers in Brazil. Sustainability 2017, 9, 576. [Google Scholar] [CrossRef]
- El-Fadel, M.; Khoury, R. Strategies for vehicle waste-oil management: A case study. Resour. Conserv. Recycl. 2001, 33, 75–91. [Google Scholar] [CrossRef]
- Abdulkareem, A.S.; Afolabi, A.S.; Ahanonu, S.O.; Mokrani, T. Effect of Treatment Methods on Used Lubricating Oil for Recycling Purposes. Energy Sources Part Recovery Util. Environ. Eff. 2014, 36, 966–973. [Google Scholar] [CrossRef]
- Zimmermann, T.; Jepsen, D. A framework for calculating waste oil flows in the EU and beyond − the cases of Germany and Belgium 2015. Resour. Conserv. Recycl. 2018, 134, 315–328. [Google Scholar] [CrossRef]
- Hamilton, S.F.; Sunding, D.L. Optimal Recycling Policy for Used Lubricating Oil: The Case of California’s Used Oil Management Policy. Environ. Resour. Econ. 2015, 62, 3–17. [Google Scholar] [CrossRef]
- Chari, K.; Agarwal, A.; Agarwal, A.; Dang, G.; Giovanna, F.; Jagieta, S.; Wijeyekoon, S. Compendium of Recycling and Destruction Technologies for Waste Oils; United Nations Environment Programme: Osaka, Japan, 2012. [Google Scholar]
- Zając, G.; Szyszlak-Bargłowicz, J.; Słowik, T.; Kuranc, A.; Kamińska, A. Designation of Chosen Heavy Metals in Used Engine Oils Using the XRF Method. Pol. J. Environ. Stud. 2015, 24, 2277–2283. [Google Scholar] [CrossRef]
- Hamad, A.; Al-Zubaidy, E.; Fayed, M.E. Used lubricating oil recycling using hydrocarbon solvents. J. Environ. Manag. 2005, 74, 153–159. [Google Scholar] [CrossRef]
- Abdulkareem, A.S.; Odigure, J.O.; Abenege, S. Predictive Model for Pollutant Dispersion from Gas Flaring: A Case Study of Oil Producing Area of Nigeria. Energy Sources Part Recovery Util. Environ. Eff. 2009, 31, 1004–1015. [Google Scholar] [CrossRef]
- Brussels, S.; Luxembourg, R. Recycling of used Mineral Oil. J. Mech. Eng. Process. Technol. 2001, 8, 67–81. [Google Scholar]
- Rac, A.; Vencl, A. Ecological and Technical Aspects of the Waste Oils Influence on Environment. In Proceedings of the 3rd International Conference on DIPRE, Galaţi, Romania, 26–27 April 2012; Volume 12, pp. 1–7. [Google Scholar]
- Singh, S.K.; Agarwal, A.K.; Sharma, M. Experimental investigations of heavy metal addition in lubricating oil and soot deposition in an EGR operated engine. Appl. Therm. Eng. 2006, 26, 259–266. [Google Scholar] [CrossRef]
- Ramadass, K.; Megharaj, M.; Venkateswarlu, K.; Naidu, R. Ecological implications of motor oil pollution: Earthworm survival and soil health. Soil Biol. Biochem. 2015, 85, 72–81. [Google Scholar] [CrossRef]
- Wolak, A.; Zajac, G.; Golebiowski, W. Determination of the content of metals in used lubricating oils using AAS. Pet. Sci. Technol. 2019, 37, 93–102. [Google Scholar] [CrossRef]
- Lam, S.S.; Liew, R.K.; Jusoh, A.; Chong, C.T.; Ani, F.N.; Chase, H.A. Progress in waste oil to sustainable energy, with emphasis on pyrolysis techniques. Renew. Sustain. Energy Rev. 2016, 53, 741–753. [Google Scholar] [CrossRef]
- Willing, A. Lubricants based on renewable resources—An environmentally compatible alternative to mineral oil products. Chemosphere 2001, 43, 89–98. [Google Scholar] [CrossRef]
- Belz, F.; Peattie, K. Sustainability Marketing Strategies, Sustainability Marketing: A Global Perspective; Wiley & Sons: Hoboken, NJ, USA, 2012; pp. 1–352. [Google Scholar]
- Isenhour, C. On conflicted Swedish consumers, the effort to stop shopping and neoliberal environmental governance. J. Consum. Behav. 2010, 9, 454–469. [Google Scholar] [CrossRef]
- Gutiérrez, N.L.; Valencia, S.R.; Branch, T.A.; Agnew, D.J.; Baum, J.K.; Bianchi, P.L.; Cornejo-Donoso, J.; Costello, C.; Defeo, O.; Essington, T.E.; et al. Eco-Label Conveys Reliable Information on Fish Stock Health to Seafood Consumers. PLoS ONE 2012, 7, e43765. [Google Scholar]
- Hauser, M.; Nussbeck, F.W.; Jonas, K. The Impact of Food-Related Values on Food Purchase Behavior and the Mediating Role of Attitudes: A Swiss Study. Psychol. Mark. 2013, 30, 765–778. [Google Scholar] [CrossRef]
- Streletskaya, N.A.; Liaukonyte, J.; Kaiser, H.M. Absence labels: How does information about production practices impact consumer demand? PLoS ONE 2019, 14, e0217934. [Google Scholar] [CrossRef] [PubMed]
- Thøgersen, J.; Jørgensen, A.-K.; Sandager, S. Consumer Decision Making Regarding a “Green” Everyday Product. Psychol. Mark. 2012, 29, 187–197. [Google Scholar] [CrossRef]
- Sammer, K.; Wüstenhagen, R. The influence of eco-labelling on consumer behavior—results of a discrete choice analysis for washing machines. Bus. Strategy Environ. 2006, 15, 185–199. [Google Scholar] [CrossRef]
- Wolak, A.; Fijorek, K.; Zając, G.; Kumbar, V. What Drives Consumers in Poland and the Czech Republic When Choosing Engine Oil Brand? Entrep. Bus. Econ. Rev. 2019, 7, 165–184. [Google Scholar] [CrossRef]
- Najmiec, A. Psychosocial working conditions of bus drivers. Occup. Saf.-Sci. Pract. 2012, 7–11. [Google Scholar]
- Kiełbasa, P.; Juliszewski, T.; Pawłowicz, J.; Dróżdż, T.; Zagórda, M.; Sęk, S. Ergonomic evaluation of the working environment professional driver. Autobusy Tech. Eksploat. Syst. Transp. 2016, 17, 1030–1037. [Google Scholar]
- Krzykała, F. An Outline of Transport Sociology; Wyd. AE w Pozaniu: Poznań, Poland, 2004; ISBN 83-7417-011-5. [Google Scholar]
- Leisch, F. FlexMix Version 2: Finite Mixtures with. J. Stat. Softw. 2008, 28, 1–35. [Google Scholar]
- Dempster, A.P.; Laird, N.M.; Rubin, D.B. Maximum Likelihood from Incomplete Data Via the EM Algorithm. J. R. Stat. Soc. Ser. B Methodol. 1977, 39, 1–22. [Google Scholar]
- Leisch, F. FlexMix: A General Framework for Finite Mixture Models and Latent Class Regression in R. J. Stat. Softw. 2004, 11, 1–8. [Google Scholar] [CrossRef]
- Kass, R.E.; Raftery, A.E. Bayes factors. J. Am. Stat. Assoc. 1995, 90, 773–795. [Google Scholar] [CrossRef]
- Wolak, A.; Zając, G. An Empirical Study of the Variables Affecting the Frequency of Engine Oil Change in the Environmental Aspect. Rocz. Ochr. Srodowiska 2019, 21, 738–766. [Google Scholar]
- Grün, B.; Leisch, F. FlexMix: An {R} Package for Finite Mixture Modelling. R News 2007, 7, 8–13. [Google Scholar]
- Fraley, C.; Raftery, A.E. How many clusters? Which clustering method? Answers via model-based cluster analysis. Comput. J. 1998, 41, 578–588. [Google Scholar] [CrossRef]
- Hoyer, W.D. An Examination of Consumer Decision Making for a Common Repeat Purchase Product. J. Consum. Res. 1984, 11, 822–829. [Google Scholar] [CrossRef]
- Hoyer, W.D.; Brown, S.P. Effects of Brand Awareness on Choice for a Common, Repeat-Purchase Product. J. Consum. Res. 1990, 17, 141–148. [Google Scholar] [CrossRef]
- Mourali, M.; Laroche, M.; Pons, F. Antecedents of consumer relative preference for interpersonal information sources in pre-purchase search. J. Consum. Behav. 2005, 4, 307–318. [Google Scholar] [CrossRef]
- Biswas, A.; Roy, M. A study of consumers’ willingness to pay for green products. J. Adv. Manag. Sci. 2016, 4, 211–215. [Google Scholar] [CrossRef]
- Min, S.-H.; Lim, S.-Y.; Yoo, S.-H. Consumers’ Willingness to Pay a Premium for Eco-Labeled LED TVs in Korea: A Contingent Valuation Study. Sustainability 2017, 9, 814. [Google Scholar]
- Schäufele, I.; Hamm, U. Consumers’ perceptions, preferences and willingness-to-pay for wine with sustainability characteristics: A review. J. Clean. Prod. 2017, 147, 379–394. [Google Scholar] [CrossRef]
- Ali, A.; Ahmad, I. Environment Friendly Products: Factors that Influence the Green Purchase Intentions of Pakistani Consumers. Pak. J. Eng. Technol. Sci. 2016, 2, 84–117. [Google Scholar] [CrossRef]
- Parsa, H.G.; Lord, K.R.; Putrevu, S.; Kreeger, J. Corporate social and environmental responsibility in services: Will consumers pay for it? J. Retail. Consum. Serv. 2015, 22, 250–260. [Google Scholar] [CrossRef]
- Pedersen, E.R.; Neergaard, P. Caveat emptor – let the buyer beware! environmental labelling and the limitations of ‘green’ consumerism. Bus. Strategy Environ. 2006, 15, 15–29. [Google Scholar] [CrossRef]
- Thøgersen, J.; Haugaard, P.; Olesen, A. Consumer responses to ecolabels. Eur. J. Mark. 2010, 44, 1787–1810. [Google Scholar] [CrossRef]



| If you had to Choose between two Otherwise Technically Identical Engine Oils would you Choose the Oil Labeled as the Environmentally Friendly? | Engine Oil Price Importance | ||||
|---|---|---|---|---|---|
| Unimportant | Not Very Important | Quite Important | Important | Very Important | |
| yes | 40% | 41% | 20% | 15% | 17% |
| yes, but only if the price was lower | 7% | 12% | 22% | 50% | 58% |
| no, I don’t trust products labeled as ecological | 20% | 15% | 25% | 7% | 8% |
| no, other reasons | 33% | 32% | 33% | 28% | 17% |
© 2020 by the authors. Licensee MDPI, Basel, Switzerland. This article is an open access article distributed under the terms and conditions of the Creative Commons Attribution (CC BY) license (http://creativecommons.org/licenses/by/4.0/).
Share and Cite
Wolak, A.; Fijorek, K.; Zając, G. Professional Car Drivers’ Attitudes toward Technical, Marketing and Environmental Characteristics of Engine Oils: A Survey Study. Energies 2020, 13, 2069. https://doi.org/10.3390/en13082069
Wolak A, Fijorek K, Zając G. Professional Car Drivers’ Attitudes toward Technical, Marketing and Environmental Characteristics of Engine Oils: A Survey Study. Energies. 2020; 13(8):2069. https://doi.org/10.3390/en13082069
Chicago/Turabian StyleWolak, Artur, Kamil Fijorek, and Grzegorz Zając. 2020. "Professional Car Drivers’ Attitudes toward Technical, Marketing and Environmental Characteristics of Engine Oils: A Survey Study" Energies 13, no. 8: 2069. https://doi.org/10.3390/en13082069
APA StyleWolak, A., Fijorek, K., & Zając, G. (2020). Professional Car Drivers’ Attitudes toward Technical, Marketing and Environmental Characteristics of Engine Oils: A Survey Study. Energies, 13(8), 2069. https://doi.org/10.3390/en13082069

