Reduction of Cold-Start Emissions for a Micro Combined Heat and Power Plant
Abstract
1. Introduction
- Strategies that reduce the raw emissions originating from the combustion of the air-fuel mixture inside the cylinder. Such strategies can be either mechanical measures, e.g., the design of in-cylinder components or valves, or the application of combustion control approaches.
- Strategies that accelerate the heat-up process of the TWC until it reaches a specific light-off temperature. Only after TWC light-off, THC, CO and NOx are significantly converted. Again, such strategies may utilize either specific hardware components or dedicated combustion control techniques that, in this case, generate high exhaust gas temperatures.
2. Test Bench Setup
3. Strategic Approaches
3.1. Ignition Timing
3.2. Air/Fuel Ratio Control Strategy
3.3. Electrically Heated Catalyst
4. Experimental Procedure
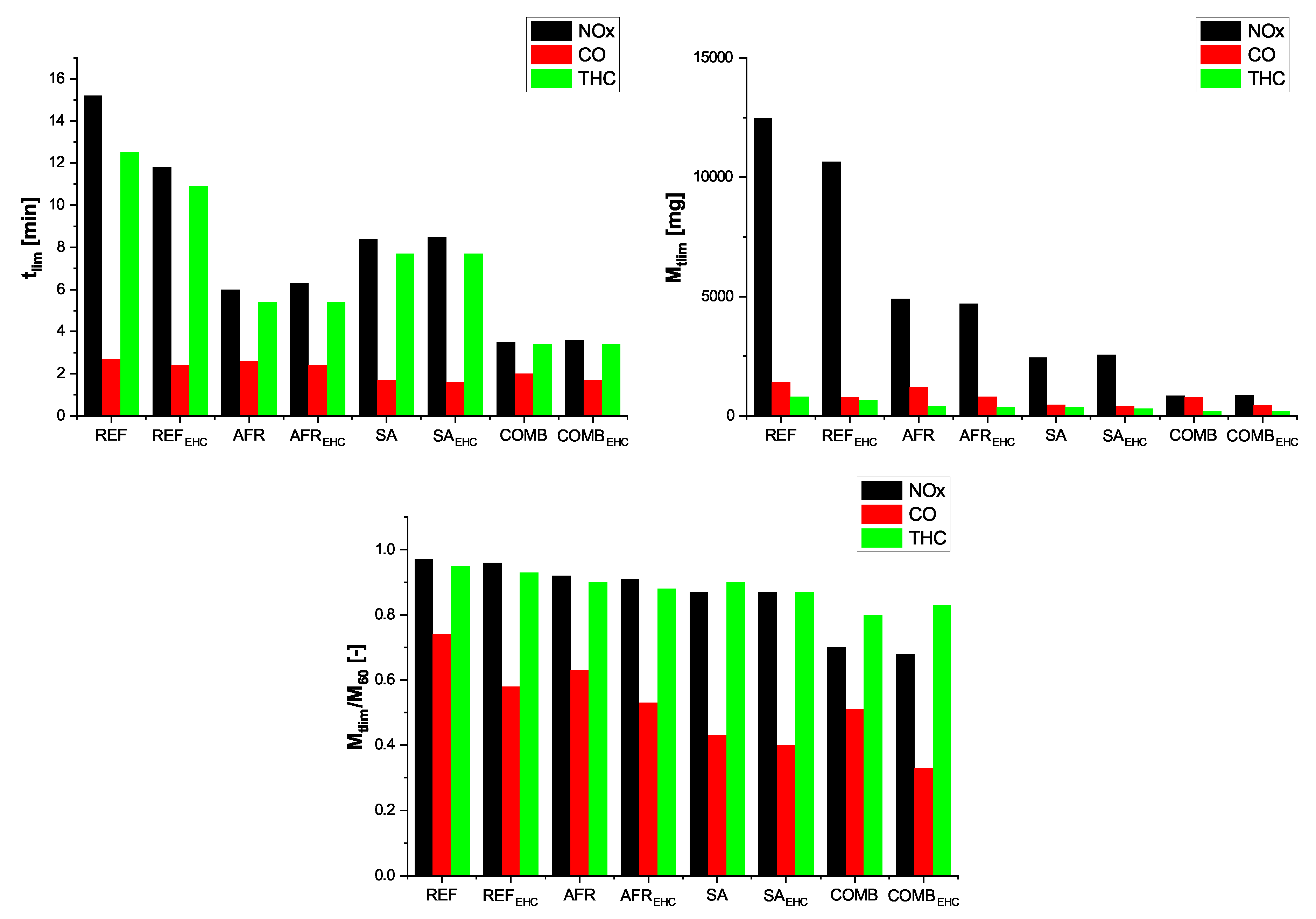
5. Results and Discussion
- Time in [] until a quasi-stable conversion rate is reached. In the following discussion this condition is assumed to be fulfilled as soon as the mass concentration falls below for CO and NOx, and below for THC.
- The mean emission concentration over the entire cold-start duration in [].
- The cumulated emission mass for the entire cold-start in []
- The specific emission mass with respect to the electrical energy produced in [//]
6. Conclusions
Author Contributions
Funding
Conflicts of Interest
Abbreviations
| AFR | Air/Fuel Ratio |
| aTDC | after Top Dead Center |
| bTDC | before Top Dead Center |
| CA | Crank Angle |
| CHP | Combined Heat and Power |
| COC | Center of Combustion |
| DS | Downstream |
| EHC | Electrically Heated Catalyst |
| ICE | Internal Combustion Engine |
| LRV | Luftreinhalte-Verordnung |
| MBT | Maximum Brake Torque |
| mCHP | Micro Combined Heat and Power |
| SA | Spark Advance |
| SP | Setpoint |
| SR | Spark Retardation |
| SS | Steady-state |
| TDC | Top Dead Center |
| THC | Total Hydrocarbons |
| TWC | Three Way Catalytic Converter |
| US | Upstream |
Appendix A
| Species | Vendor | Type | Measurement Principle | Range | Accuracy (2) |
|---|---|---|---|---|---|
| Exhaust gas analysis | |||||
| NOx | Eco Physics | CLD82Mhrk1 | Chemiluminescence Detection | 5000 ppm | 0.05‰ of range |
| HC | ABB | AO 2000—MultiFID14 | Flame Ionization Detection | 5000 ppm | of range |
| CO2 | ABB | AO 2000—Uras26 | Non Dispersive Infrared Spectrometry | 16% | of range |
| COlow | ABB | AO 2000—Uras26 | Non Dispersive Infrared Spectrometry | 1000 ppm | of range |
| COhigh | ABB | AO 2000—Uras26 | Non Dispersive Infrared Spectrometry | 10% | of range |
| O2 | ABB | AO 2000—Magnos206 | Paramagnetic Oxygen Sensor | 25% | 25 ppm |
| Fuel mass flow measurement | |||||
| CH4 | Bronkhorst | EL-Flow Select | Thermal Flow Metering | 1.2–60 ln/min (slm) | of meas. value + of range |
References
- Abolhosseini, S.; Heshmati, A.; Altmann, J. A Review of Renewable Energy Supply and Energy Efficiency Technologies; IZA Discussion Papers; Institute for the Study of Labor (IZA): Bonn, Germany, 2014; Volume 8145. [Google Scholar]
- Kroposki, B. Integrating high levels of variable renewable energy into electric power systems. J. Mod. Power Syst. Clean Energy 2017, 5, 831–837. [Google Scholar] [CrossRef]
- Kumbartzky, N.; Schacht, M.; Schulz, K.; Werners, B. Optimal operation of a CHP plant participating in the German electricity balancing and day-ahead spot market. Eur. J. Oper. Res. 2017, 261, 390–404. [Google Scholar] [CrossRef]
- Vögelin, P.; Georges, G.; Noembrini, F.; Koch, B.; Boulouchos, K.; Buffat, R.; Raubal, M.; Beccuti, G.; Demiray, T.; Panos, E.; et al. System Modelling for Assessing the Potential of Decentralised biomass-CHP Plants to Stabilise the Swiss Electricity Network with Increased Fluctuating Renewable Generation; Technical Report; Bundesamt für Energie: Bern, Switzerland, 2016. [Google Scholar]
- Vögelin, P.; Georges, G.; Boulouchos, K. Design analysis of gas engine combined heat and power plants (CHP) for building and industry heat demand under varying price structures. Energy 2017, 125, 356–366. [Google Scholar] [CrossRef]
- Domínguez-Muñoz, F.; Cejudo-López, J.M.; Carrillo-Andrés, A.; Gallardo-Salazar, M. Selection of typical demand days for CHP optimization. Energy Build. 2011, 43, 3036–3043. [Google Scholar] [CrossRef]
- Cho, H.; Luck, R.; Eksioglu, S.D.; Chamra, L.M. Cost-optimized real-time operation of CHP systems. Energy Build. 2009, 41, 445–451. [Google Scholar] [CrossRef]
- Levihn, F. CHP and heat pumps to balance renewable power production: Lessons from the district heating network in Stockholm. Energy 2017, 137, 670–678. [Google Scholar] [CrossRef]
- Barbieri, E.S.; Spina, P.R.; Venturini, M. Analysis of innovative micro-CHP systems to meet household energy demands. Appl. Energy 2012, 97, 723–733. [Google Scholar] [CrossRef]
- Reiter, M.S.; Kockelman, K.M. The problem of cold starts: A closer look at mobile source emissions levels. Transp. Res. Part D Transp. Environ. 2016, 43, 123–132. [Google Scholar] [CrossRef]
- Gao, J.; Tian, G.; Sorniotti, A.; Karci, A.E.; Palo, R.D. Review of thermal management of catalytic converters to decrease engine emissions during cold start and warm up. Appl. Therm. Eng. 2019, 147, 177–187. [Google Scholar] [CrossRef]
- Liu, Q.; Liu, J.; Fu, J.; Li, Y.; Luo, B.; Zhan, Z.; Deng, B. Comparative study on combustion and thermodynamics performance of gasoline direct injection (GDI) engine under cold start and warm-up NEDC. Energy Convers. Manag. 2019, 181, 663–673. [Google Scholar] [CrossRef]
- Zhu, G.; Liu, J.; Fu, J.; Xu, Z.; Guo, Q.; Zhao, H. Experimental study on combustion and emission characteristics of turbocharged gasoline direct injection (GDI) engine under cold start new European driving cycle (NEDC). Fuel 2018, 215, 272–284. [Google Scholar] [CrossRef]
- Dardiotis, C.; Martini, G.; Marotta, A.; Manfredi, U. Low-temperature cold-start gaseous emissions of late technology passenger cars. Appl. Energy 2013, 111, 468–478. [Google Scholar] [CrossRef]
- German Federal Ministry for the Environment. Erste Allgemeine Verwaltungsvorschrift zum Bundes– Immissionsschutzgesetz—Technische Anleitung zur Reinhaltung der Luft [Online]. 2002. Available online: http://m.bmu.de/fileadmin/Daten_BMU/Download_PDF/Luft/taluft_engl.pdf (accessed on 10 October 2019).
- The Swiss Federal Council. Ordinance on Air Pollution Control (OAPC) [Online]. 1985. Available online: https://www.admin.ch/opc/en/classified-compilation/19850321/index.html (accessed on 17 March 2019).
- Hedinger, R.; Elbert, P.; Onder, C. Optimal cold-start control of a gasoline engine. Energies 2017, 10, 1548. [Google Scholar] [CrossRef]
- Guerra, R.F.; Gallo, W.L.R. Ignition Timing as a Strategy to Reduce Spark-Ignition Engine Emissions in the Cold Phase. In Proceedings of the SAE International, 22nd SAE Brasil International Congress and Display, São Paulo, Brasil, 7–9 October 2013. [Google Scholar]
- Nakayama, Y.; Maruya, T.; Oikawa, T.; Fujiwara, M.; Kawamata, M. Reduction of Emission from VTEC Engine During Cold-Start Condition. SAE Trans. 1994, 103, 737–746. [Google Scholar]
- Leisenring, K.; Samimy, B.; Rizzoni, G. IC Engine Air/Fuel Ratio Feedback Control During Cold Start. SAE Trans. 1996, 105, 427–437. [Google Scholar]
- Lee, D.; Heywood, J.B. Effects of Charge Motion Control During Cold Start of SI Engines. In Powertrain & Fluid Systems Conference and Exhibition; SAE International: Warrendale, PA, USA, 2006. [Google Scholar]
- Cedrone, K.; Cheng, W. Using Valve Timing and Exhaust Back Pressure to Improve Catalyst Warm-Up Time; SAE Technical Paper; SAE International: Warrendale, PA, USA, 2013; Volume 11. [Google Scholar]
- Bhaskar, K.; Govindan, N.; Sampath, S. Experimental Investigation On Cold Start Emissions Using Electrically Heated Catalyst In A Spark Ignition Engine. Int. J. Autom. Mech. Eng. 2010, 2, 105–118. [Google Scholar] [CrossRef]
- Lee, D.; Heywood, J.B. Effects of Secondary Air Injection During Cold Start of SI Engines. SAE Int. J. Eng. 2010, 3, 182–196. [Google Scholar] [CrossRef]
- Peng, H.; Cui, Y.; Shi, L.; Deng, K. Effects of exhaust gas recirculation (EGR) on combustion and emissions during cold start of direct injection (DI) diesel engine. Energy 2008, 33, 471–479. [Google Scholar] [CrossRef]
- Korin, E.; Reshef, R.; Tshernichovesky, D.; Sher, E. Reducing cold-start emission from internal combustion engines by means of a catalytic converter embedded in a phase-change material. Proc. Inst. Mech. Eng. Part D J. Autom. Eng. 1999, 213, 575–583. [Google Scholar] [CrossRef]
- Guzzella, L.; Onder, C. Introduction to Modeling and Control of Internal Combustion Engine Systems; Springer Science & Business Media: Berlin, Germany, 2010. [Google Scholar]
- Shivaprasad, K.V.; Chitragar, P.R.; Nayak, V.; Kumar, G.N. Influence of spark timing on the performance and emission characteristics of gasoline–hydrogen-blended high-speed spark-ignition engine. Int. J. Ambient Energy 2017, 38, 605–612. [Google Scholar] [CrossRef]
- Lawankar, S.M.; Dhamande, D.L.P.; Khandare, D.S.S. Experimental study of effect of ignition timing and compression ratio on NOx emission of LPG fuelled engine. Int. J. Sci. Eng. Res. 2012, 3. [Google Scholar]
- Awad, O.I.; Ali, O.M.; Mamat, R.; Abdullah, A.A.; Najafi, G.; Kamarulzaman, M.K.; Yusri, I.M.; Noor, M.M. Using fusel oil as a blend in gasoline to improve SI engine efficiencies: A comprehensive review. Renew. Sustain. Energy Rev. 2017, 69, 1232–1242. [Google Scholar] [CrossRef]
- Ebrahimi, B.; Tafreshi, R.; Masudi, H.; Franchek, M.; Mohammadpour, J.; Grigoriadis, K. A Systematic Air-fuel Ratio Control Strategy for Lean-burn SI Engines. IFAC Proc. Vol. 2012, 45, 296–301. [Google Scholar] [CrossRef]
- Tomforde, M.; Drewelow, W.; Schultalbers, M. Air-fuel ratio control with respect to oxygen storage dynamics. In Proceedings of the 16th International Conference on Methods & Models in Automation & Robotics, Miedzyzdroje, Poland, 22–25 August 2011; pp. 242–247. [Google Scholar]
- Lauber, J.; Guerra, T.; Dambrine, M. Air-fuel ratio control in a gasoline engine. Int. J. Syst. Sci. 2011, 42, 277–286. [Google Scholar] [CrossRef]
- Pfalzgraf, B.; Otto, E.; Wirth, A.; Küper, P.F.; Held, W.; Donnerstag, A. The System Development of Electrically Heated Catalyst EHC for the LEV and EU-III Legislation. SAE Trans. 1995, 104, 777–787. [Google Scholar]
- Kubsh, J.E.; Brunson, G.W. EHC Design Options and Performance; SAE Technical Paper; SAE International: Warrendale, PA, USA, 1996. [Google Scholar]
- Kim, C.H.; Paratore, M.; Gonze, E.; Solbrig, C.; Smith, S. Electrically Heated Catalysts for Cold-Start Emissions in Diesel Aftertreatment; SAE Technical Paper; SAE International: Warrendale, PA, USA, 2012. [Google Scholar]
- Ning, J.; Yan, F. Temperature Control of Electrically Heated Catalyst for Cold-start Emission Improvement. IFAC Papers OnLine 2016, 49, 14–19. [Google Scholar] [CrossRef]
- Stadtrat der Stadt Zürich. Reglement zum Massnahmenplan Luftreinhaltung 2011 der Stadt Zürich [Online]. 2011. Available online: https://www.stadt-zuerich.ch/portal/de/index/politik_u_recht/stadtrat/geschaefte-des-stadtrates/stadtratsbeschluesse/2011/Dez/StZH_StRB_2011_1588.html (accessed on 13 August 2019).
- Myhre, G.; Shindell, D.; Breon, F.M.; Collins, W.; Fuglestvedt, J.; Huang, J.; Koch, D.; Lamarque, J.F.; Lee, D.; Mendoza, B.; et al. Anthropogenic and natural radiative forcing. In Climate Change 2013: The Physical Science Basis. Contribution of Working Group I to the Fifth Assessment Report of the Intergovernmental Panel on Climate Change; Cambridge University Press: Cambridge, UK, 2013; pp. 659–740. [Google Scholar]











| Concentration | Spark Advance [CA bTDC] | |||
|---|---|---|---|---|
| 8 | 10 | 12 | 15 | |
| NOx [ppm] | 725 | 831 | 1051 | 1371 |
| THC [ppm] | 122 | 150 | 205 | 280 |
| CO [ppm] | 2369 | 2342 | 2274 | 2290 |
| [C] | [C] | |
|---|---|---|
| EHC ON | <600 | <700 |
| EHC OFF | otherwise | otherwise |
| Strategy | |||
|---|---|---|---|
| Case | SA | AFR | EHC |
| REF | |||
| REFEHC | • | ||
| SA | • | ||
| SAEHC | • | • | |
| AFR | • | ||
| AFREHC | • | • | |
| COMB | • | • | |
| COMBEHC | • | • | • |
| Case | |||||||||
|---|---|---|---|---|---|---|---|---|---|
| MCH4 [g] | MCO2eq [kg] | MCO2 [kg] | MCH4 [g] | MCO2eq [kg] | MCO2 [kg] | ||||
| REF | 0.8 | 0.0272 | 0.99 | 2.7 | 0.8 | 0.0272 | 4.75 | 0.6 | |
| REFEHC | 0.7 | 0.0238 | 0.86 | 2.8 | 0.7 | 0.0238 | 4.75 | 0.5 | |
| AFR | 0.4 | 0.0136 | 0.43 | 3.2 | 0.4 | 0.0136 | 4.75 | 0.3 | |
| AFREHC | 0.4 | 0.0136 | 0.43 | 3.2 | 0.4 | 0.0136 | 4.75 | 0.3 | |
| SA | 0.4 | 0.0136 | 0.61 | 2.2 | 0.4 | 0.0136 | 4.75 | 0.3 | |
| SAEHC | 0.3 | 0.0102 | 0.61 | 1.7 | 0.4 | 0.0136 | 4.75 | 0.3 | |
| COMB | 0.2 | 0.0068 | 0.27 | 2.5 | 0.2 | 0.0068 | 4.75 | 0.2 | |
| COMBEHC | 0.2 | 0.0068 | 0.27 | 2.5 | 0.2 | 0.0068 | 4.75 | 0.2 | |
© 2020 by the authors. Licensee MDPI, Basel, Switzerland. This article is an open access article distributed under the terms and conditions of the Creative Commons Attribution (CC BY) license (http://creativecommons.org/licenses/by/4.0/).
Share and Cite
Zobel, T.; Schürch, C.; Boulouchos, K.; Onder, C. Reduction of Cold-Start Emissions for a Micro Combined Heat and Power Plant. Energies 2020, 13, 1862. https://doi.org/10.3390/en13081862
Zobel T, Schürch C, Boulouchos K, Onder C. Reduction of Cold-Start Emissions for a Micro Combined Heat and Power Plant. Energies. 2020; 13(8):1862. https://doi.org/10.3390/en13081862
Chicago/Turabian StyleZobel, Tammo, Christian Schürch, Konstantinos Boulouchos, and Christopher Onder. 2020. "Reduction of Cold-Start Emissions for a Micro Combined Heat and Power Plant" Energies 13, no. 8: 1862. https://doi.org/10.3390/en13081862
APA StyleZobel, T., Schürch, C., Boulouchos, K., & Onder, C. (2020). Reduction of Cold-Start Emissions for a Micro Combined Heat and Power Plant. Energies, 13(8), 1862. https://doi.org/10.3390/en13081862

