A Novel Exergy Indicator for Maximizing Energy Utilization in Low-Temperature ORC
Abstract
1. Introduction
2. System Description
3. Definition of XUI
4. Calculation Model
4.1. Assumptions
- the system operates at steady state conditions,
- the changes in the kinetic and potential energy of the fluids are neglected, except for the turbine, in which the kinetic energy of the working fluid is included in the analysis,
- the pressure drops in the connecting pipes and heat exchangers are neglected,
- the heat losses to the environment are ignored,
- the efficiency of the pump ηP is a constant value.
4.2. Algorithm and Research Tools
4.2.1. Thermodynamic Analysis
4.2.2. Radial-Inflow Turbine Design
4.2.3. Heat Transfer Analysis
4.2.4. ORC Performance Indicators
4.2.5. Multi-Objective Optimization
4.3. Validation of Model
5. Exergy-Related Indicators
6. Results and Analysis
6.1. Relation Between XUI and Selected ORC Parameters
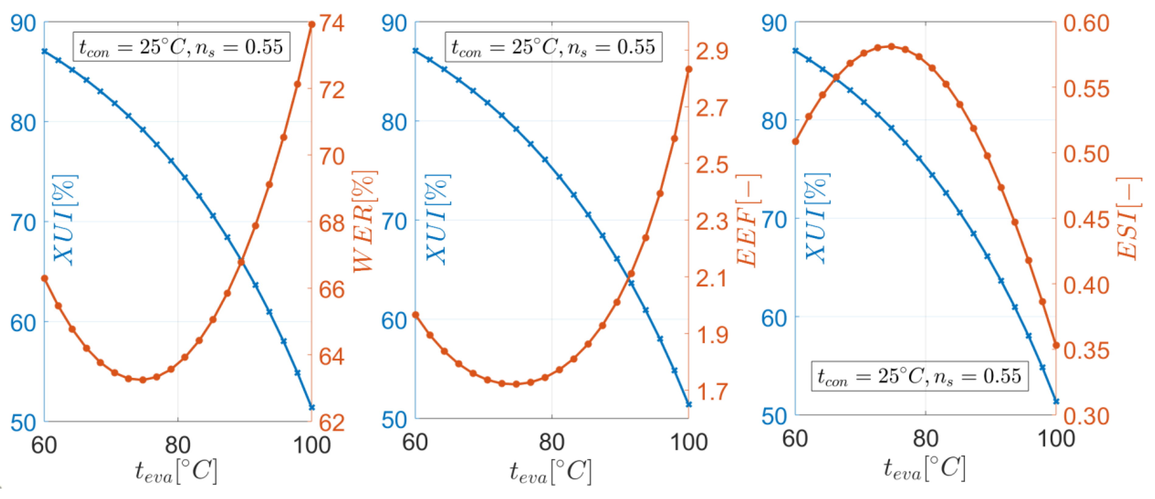
6.2. Comparative Analysis of XUI and Selected ORC Serformance Indicators
6.3. Pareto frontier
7. Conclusions
- by maximizing XUI to the value of 75.9%, the outlet temperature of a geothermal water ths2 is reduced to the environmental temperature (tr = 15.0 °C) as close as possible, i.e., to the lowest value (ths2 = 60.0 °C) of the constraint imposed on the ths2. In other words, the potential of the heat source is maximized by maximizing XUI,
- the value of XUI = ~80% corresponds to the global optima of exergy-based indices which means that high values of XUI may be associated with more sustainable work of the ORC,
- the values of the XUI = ~60%–80% lead to good economic characteristics reflected in low values of the payback period PBP (<11.3 years),
- the maximization of the XUI is beneficial from ecological perspective, since it minimizes the negative impact of the heat carrier on the environment, by reducing the value of outlet exergy flow rate Ḃhs2,
- the proposed indicator is not effective in minimizing the size of the system and its maximization leads to the total heat transfer area Atot which is 50.4% greater than the value obtained while minimizing Atot.
Author Contributions
Funding
Acknowledgments
Conflicts of Interest
Nomenclature
| A | heat transfer area, m2 |
| Ḃ | exergy flow rate, kW |
| b | blade width, m |
| Cel | electricity price, $ kWh−1 |
| Ctot | capital cost, $ |
| COMc | cost of operation and maintenance coefficient, % |
| c | specific heat capacity, kJ kg−1 K−1 |
| dh | hydraulic diameter, mm |
| EEF | environmental effect factor, - |
| ESI | exergetic sustainability index, - |
| h | specific enthalpy, kJ kg−1 |
| inc | incidence angle, ° |
| ir | interest rate, % |
| k | overall heat transfer coefficient, W m−2 K−1 |
| Ma | Mach number, - |
| mass flow rate, kg s−1 | |
| Nu | Nusselt number, - |
| ns | specific speed, - |
| Pout | net power output, kW |
| PBP | payback period, years |
| p | pressure, kPa |
| q | pitch, m |
| R | reaction degree, - |
| r | radius, m |
| SI | sustainability index, - |
| s | specific entropy, kJ kg−1 K−1 |
| T | temperature, K |
| t | temperature, °C |
| top | operating time, h |
| volume flow rate, m3 h−1 | |
| WER | waste exergy ratio, % |
| XUI | exergy utilization index, % |
| ZR | axial length of rotor, m |
| Greek Letters | |
| α | heat transfer coefficient, W m−2 K−1 |
| ΔḂ | exergy difference, kW |
| ΔHis | isentropic enthalpy drop, kJ kg−1 |
| Δhloss | enthalpy loss, kJ kg−1 |
| ΔT | temperature difference, K |
| δ | width of plate, mm |
| δḂ | exergy destruction rate, kW |
| η | efficiency, % |
| λ | thermal conductivity W m−1 K−1 |
| ρ | density, kg m−3 |
| ε | effectiveness, % |
| ω | angular velocity, rad s−1 |
| Subscript | |
| BM | bare module |
| C | condenser |
| con | condensation |
| cool | cold water |
| eva | evaporation |
| ex | exergy |
| hs | heat source |
| hub | hub |
| l | liquid |
| log | logarithmic |
| m | material |
| P | pump |
| PEC | purchased equipment cost |
| p | plate or pressure |
| r | reference state |
| sh | shroud |
| sup | superheating |
| T | turbine |
| tot | total |
| VG | vapor generator |
| wf | working fluid |
| Abbreviations | |
| CEPCI | chemical engineering plant cost index |
| GWP | global warming potential |
| ODP | ozone depletion potential |
| ORC | organic Rankine cycle |
References
- Borsukiewicz-Gozdur, A. Exergy analysis for maximizing power of organic Rankine cycle power plant driven by open type energy source. Energy 2013, 62, 73–81. [Google Scholar] [CrossRef]
- Li, J.; Ge, Z.; Duan, Y.; Yang, Z. Design and performance analyses for a novel organic Rankine cycle with supercritical-subcritical heat absorption process coupling. Appl. Energy 2019, 235, 1400–1414. [Google Scholar] [CrossRef]
- Gong, M.; Wall, G. On exergy and sustainable development–Part 2: Indicators and methods. Exergy Int. J. 2001, 1, 217–233. [Google Scholar] [CrossRef]
- Garg, P.; Orosz, M.S. Economic optimization of Organic Rankine cycle with pure fluids and mixtures for waste heat and solar applications using particle swarm optimization method. Energy Convers. Manag. 2018, 165, 649–668. [Google Scholar] [CrossRef]
- Li, J.; Ge, Z.; Duan, Y.; Yang, Z.; Liu, Q. Parametric optimization and thermodynamic performance comparison of single-pressure and dual-pressure evaporation organic Rankine cycles. Appl. Energy 2018, 217, 409–421. [Google Scholar] [CrossRef]
- Romero, J.C.; Linares, P. Exergy as a global energy sustainability indicator. A revew of the state of the art. Renew. Sustain. Energy Rev. 2014, 33, 427–442. [Google Scholar] [CrossRef]
- Lecompte, S.; Huisseune, H.; van den Broek, M.; Vanslambrouck, B.; De Paepe, M. Review of organic Rankine cycle (ORC) architectures for waste heat recovery. Renew. Sustain. Energy Rev. 2015, 47, 448–461. [Google Scholar] [CrossRef]
- Sun, W.; Yue, X.; Wang, Y. Exergy efficiency analysis of ORC (Organic Rankine Cycle) and ORC-based combined cycles driven by low-temperature waste heat. Energy Convers. Manag. 2017, 135, 63–73. [Google Scholar] [CrossRef]
- Lecompte, S.; Ameel, B.; Ziviani, D.; van den Broek, M.; De Paepe, M. Exergy analysis of zeotropic mixtures as working fluids in Organic Rankine Cycles. Energy Convers. Manag. 2014, 85, 727–739. [Google Scholar] [CrossRef]
- Xiao, L.; Wu, S.Y.; Yi, T.T.; Liu, C.; Li, Y.R. Multi-objective optimization of evaporation and condensation temperatures for subcritical organic Rankine cycle. Energy 2015, 83, 723–733. [Google Scholar] [CrossRef]
- Abam, F.I.; Ekwe, E.B.; Effiom, S.O.; Ndukwu, M.C.; Briggs, T.A.; Kadurumba, C.H. Optimum exergetic performance parameters and thermo-sustainability indicators of low-temperature modified organic Rankine cycles (ORCs). Sustain. Energy Technol. 2018, 30, 91–104. [Google Scholar] [CrossRef]
- Aydin, H. Exergetic sustainability analysis of LM6000 gas turbine power plant with steam cycle. Energy 2013, 57, 766–774. [Google Scholar] [CrossRef]
- Abam, F.I.; Ekwe, E.B.; Effiom, S.O.; Ndukwu, M.C. A comparative performance analysis and thermo-economic sustainability indicators of modified low-heat organic Rankine cycles (ORCs): An exergy-based procedure. Energy Rep. 2018, 4, 110–118. [Google Scholar] [CrossRef]
- Midilli, A.; Kucuk, H.; Dincer, I. Environmental and sustainability aspects of a recirculating aquaculture system. Environ. Prog. Sustain. 2011, 31. [Google Scholar] [CrossRef]
- Vivian, J.; Manete, G.; Lazzaretto, A. A general framework to select working fluid and configuration of ORCs for low-to-medium temperature heat sources. Appl. Energy 2015, 156, 727–746. [Google Scholar] [CrossRef]
- Aungier, R.H. Turbine Aerodynamics; ASME Press: New York, NY, USA, 2006. [Google Scholar]
- World Energy Council. World Energy Resources; World Energy Council: London, UK, 2013; Available online: https://www.worldenergy.org/assets/images/imported/2013/09/Complete_WER_2013_Survey.pdf (accessed on 1 March 2020).
- Shengjun, Z.; Huaixin, W.; Tao, G. Performance comparison and parametric optimization of subcritical Organic Rankine Cycle (ORC) and transcritical power cycle system for low-temperature geothermal power generation. Appl. Energy 2011, 88, 2740–2754. [Google Scholar] [CrossRef]
- Quoilin, S.; Declaye, S.; Tchanche, B.F.; Lemort, V. Thermo-economic optimization of waste heat recovery Organic Rankine Cycles. Appl. Therm. Eng. 2011, 31, 2885–2893. [Google Scholar] [CrossRef]
- The MathWorks Inc. MATLAB version R2019a; The MathWorks Inc.: Natick, MA, USA, 2019. [Google Scholar]
- Lemmon, E.W.; Huber, M.L.; McLinden, M.O. NIST Standard Reference Database 23: Reference Fluid Thermodynamic and Transport Properties-REFPROP, Version 9.1; National Institute of Standards and Technology: Gaithersburg, MD, USA, 2013. [Google Scholar]
- Deb, K.; Pratap, A.; Agarwal, S.; Meyarivan, T. A Fast and Elitist Multiobjective Genetic Algorithm: NSGA-II. IEEE Trans. Evol. Comput. 2002, 6, 182–197. [Google Scholar] [CrossRef]
- Whitfield, A.; Baines, N.C. Design of Radial Turbomachines; Longman Scientific & Technical: New York, NY, USA, 1990. [Google Scholar]
- Bekiloğlu, H.E.; Bedir, H.; Anlaş, G. Multi-objective optimization of ORC parameters and selection of working fluid using preliminary radial inflow turbine design. Energy Convers. Manag. 2019, 183, 833–847. [Google Scholar] [CrossRef]
- Bahadormanesh, N.; Rahat, S.; Yarali, M. Constrained multi-objective optimization of radial expanders in organic Rankine cycles by firefly algorithm. Energy Convers. Manag. 2017, 148, 1179–1193. [Google Scholar] [CrossRef]
- Jankowski, M.; Borsukiewicz, A. Multi-objective approach for determination of optimal operating parameters in low-temperature ORC power plant. Energy Convers. Manag. 2019, 200, 112075. [Google Scholar] [CrossRef]
- Zhang, C.; Liu, C.; Wang, S.; Xu, X.; Li, Q. Thermo-economic comparison of subcritical organic Rankine cycle based on different heat exchanger configurations. Energy 2017, 123, 728–741. [Google Scholar] [CrossRef]
- Turton, R.; Bailie, R.C.; Whiting, W.B.; Shaeiwitz, J.A. Analysis, Synthesis and Design of Chemical Processes; Pearson Education: London, UK, 2009; ISBN 0–13-512966-4. [Google Scholar]
- Li, T.; Meng, N.; Liu, J.; Zhu, J.; Kong, X. Thermodynamic and economic evaluation of the organic Rankine cycle (ORC) and two-stage series organic Rankine cycle (TSORC) for flue gas heat recovery. Energy Convers. Manag. 2019, 183, 816–829. [Google Scholar] [CrossRef]
- Liu, C.; Gao, T. Off-design performance analysis of basic ORC, ORC using zeotropic mixtures and composition-adjustable ORC under optimal control strategy. Energy 2019, 171, 96–108. [Google Scholar] [CrossRef]
- Da Lio, L.; Manete, G.; Lazzaretto, A. A Mean-line model to predict the design efficiency of radial inflow turbines in organic Rankine cycle (ORC) systems. Appl. Energy 2017, 205, 187–209. [Google Scholar] [CrossRef]
- Cui, Y.; Geng, Z.; Zhu, Q.; Han, Y. Review: Multi-objective optimization methods and application in energy saving. Energy 2017, 125, 681–704. [Google Scholar] [CrossRef]











| Note | Parameter | Unit | Value |
|---|---|---|---|
| constant value | [m3 h−1] | 30.0 | |
| ths1 | [°C] | 120 | |
| fluid | [-] | R1234ze | |
| ΔTsup | [K] | 5.00 | |
| ΔTcon | [K] | 5.00 | |
| tc1 | [°C] | 15.0 | |
| ηP | [-] | 0.75 | |
| ΔTeva | [K] | 5.00 | |
| Tr | [K] | 288.15 | |
| decision variables | teva | [°C] | 60.0 ÷ 100 |
| tcon | [°C] | 25.0 ÷ 40.0 | |
| ns | [-] | 0.40 ÷ 0.70 | |
| initial guess | ηT | [-] | 0.75 |
| Component | K1 | K2 | K3 | B1 | B2 | Fm | C1 | C2 | C3 | FBM |
|---|---|---|---|---|---|---|---|---|---|---|
| Vapor generator and condenser | 4.6656 | −0.1557 | 0.1547 | 0.96 | 1.21 | 2.40 | 0 | 0 | 0 | - |
| Turbine | 2.6259 | 1.4398 | −0.1776 | - | - | - | - | - | - | 3.50 |
| Pump | 3.3892 | 0.0536 | 0.1538 | 1.89 | 1.35 | 1.60 | −0.3935 | 0.3957 | -0.00226 | - |
| RIT Rotor Geometry | Fluid: R245fa, ṁwf = 20 kgs−1, teva = 110 °C, tcon = 33 °C, ns = 0.45 | ||||
|---|---|---|---|---|---|
| Unit | Description | Present study | Da Lio et al. [31] | Percentage Error [%] | |
| r4 | [m] | radius at the rotor inlet | 0.195 | 0.194 | 0.51 |
| r5,sh | [m] | shroud radius at the rotor outlet | 0.127 | 0.133 | 4.51 |
| r5,hub | [m] | hub radius at the rotor outlet | 0.058 | 0.054 | 7.41 |
| b4 | [m] | blade width at the rotor inlet | 0.014 | 0.015 | 6.67 |
| b5 | [m] | blade width at the rotor outlet | 0.069 | 0.079 | 12.7 |
| total-to-static turbine efficiency | |||||
| ηT | [%] | turbine efficiency | 80.4 | 86.9 | 7.48 |
| Type of Quantity | Symbol | Unit | Min Atot | Selected Optimal Point | Max XUI |
|---|---|---|---|---|---|
| decision variables | teva | [°C] | 100 | 94.4 | 76.2 |
| tcon | [°C] | 37.7 | 25.1 | 31.1 | |
| ns | [-] | 0.53 | 0.55 | 0.55 | |
| objective functions | XUI | [%] | 47.6 | 60.1 | 75.9 |
| Atot | [m2] | 117 | 146 | 176 | |
| ORC parameters | ṁwf | [kg s−1] | 6.05 | 7.29 | 10.6 |
| ηT | [-] | 0.83 | 0.82 | 0.83 | |
| ths2 | [°C] | 86.6 | 76.0 | 60.0 | |
| Ḃhs2 | [kW] | 294 | 224 | 135 | |
| Pout | [kW] | 113 | 170 | 177 | |
| exergy-based indicators | ηex | [%] | 20.2 | 30.4 | 31.6 |
| WER | [%] | 79.8 | 69.6 | 68.4 | |
| EEF | [-] | 3.94 | 2.28 | 2.17 | |
| ESI | [-] | 0.25 | 0.44 | 0.46 | |
| δḂtot | [kW] | 116 | 144 | 203 | |
| SI | [-] | 0.44 | 0.43 | 0.48 | |
| energy-based indicator | ε | [%] | 31.8 | 41.9 | 57.1 |
| economic indicator | PBP | [years] | 17.0 | 10.9 | 11.2 |
© 2020 by the authors. Licensee MDPI, Basel, Switzerland. This article is an open access article distributed under the terms and conditions of the Creative Commons Attribution (CC BY) license (http://creativecommons.org/licenses/by/4.0/).
Share and Cite
Jankowski, M.; Borsukiewicz, A. A Novel Exergy Indicator for Maximizing Energy Utilization in Low-Temperature ORC. Energies 2020, 13, 1598. https://doi.org/10.3390/en13071598
Jankowski M, Borsukiewicz A. A Novel Exergy Indicator for Maximizing Energy Utilization in Low-Temperature ORC. Energies. 2020; 13(7):1598. https://doi.org/10.3390/en13071598
Chicago/Turabian StyleJankowski, Marcin, and Aleksandra Borsukiewicz. 2020. "A Novel Exergy Indicator for Maximizing Energy Utilization in Low-Temperature ORC" Energies 13, no. 7: 1598. https://doi.org/10.3390/en13071598
APA StyleJankowski, M., & Borsukiewicz, A. (2020). A Novel Exergy Indicator for Maximizing Energy Utilization in Low-Temperature ORC. Energies, 13(7), 1598. https://doi.org/10.3390/en13071598
