Pre-Drilling Production Forecasting of Parent and Child Wells Using a 2-Segment Decline Curve Analysis (DCA) Method Based on an Analytical Flow-Cell Model Scaled by a Single Type Well
Abstract
:1. Introduction
2. Contemporary Research and New Direction
2.1. Brief Review of Practical Tools for Well Performance Prediction
2.2. Basic Flow-Cell Model Description
2.3. Practical Workflow Steps
2.4. Required Model Inputs and Outputs Generated
- -
- Inputs required:
- production data of type curve well (to scale the flow-cell rate),
- estimated reservoir properties (to control the rate of the pressure transient),
- dimensions of elementary flow-cell of the type curve well (against which the new well with different flow-cell dimensions will be scaled),
- total well length (to account for changes relative to the type well length),
- well spacing for the type curve well (to account for well down-spacing effects),
- acreage quality factor (to account for any changes in well performance due to geological factors, if applicable, separate from the well design and completion impacts).
- -
- Outputs produced:
- future production rates and EUR of new wells,
- forecasts possible for parent–parent wells,
- forecasts possible for parent–child wells,
- fracture treatment quality (FTQ) factor, which shows the quality difference between planned completion (design) and practical completion (actual results).
3. Flow-Cell Model Results: Fracture Spacing Effects
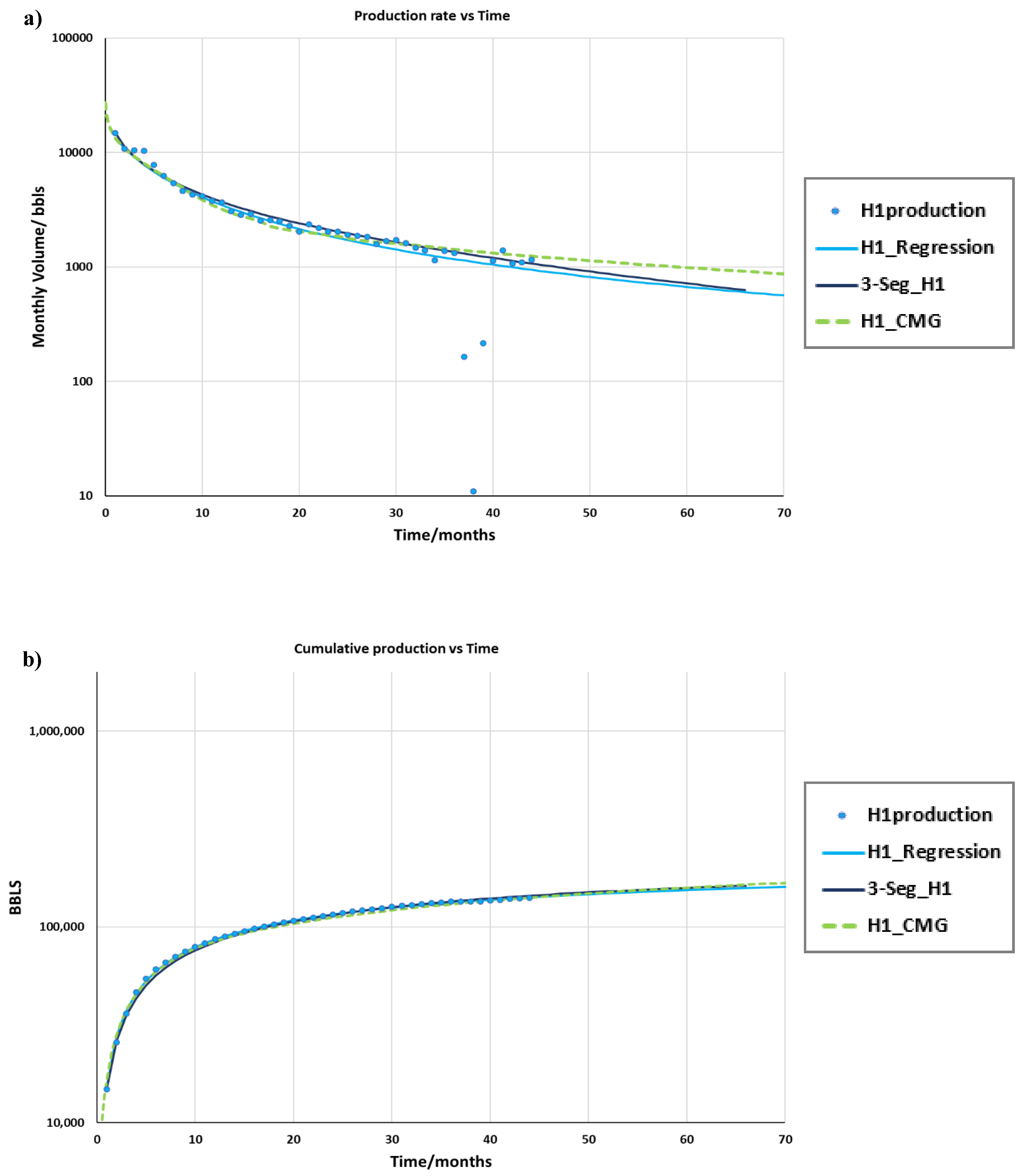
3.1. History Matching Type Well and Reservoir Simulator
3.2. EUR Forecasts and History Match Comparisons New Wells
3.3. Decline Rate Forecasts New Wells
3.4. Fracture Treatment Quality Factor (TQF)
3.5. Comparison of Flow-Cell Based EUR and Numerical EUR Estimation Methods
4. Flow-Cell Model Results: Well Spacing Effects
4.1. Onset of Terminal Decline
4.2. Terminal Decline and b-Values
4.3. Terminal Decline and Flow Regime Changes
4.4. B-Sigmoid Confirmation of Terminal Decline With 1 > b > 0
4.5. Comparison of Flow-Cell Based EUR With KAPPA Results
5. Discussion
5.1. Generic Observations
- Recovery factors are not noticeably enhanced by fracture treatment with tighter fracture spacing, assuming that well interference effects due to well down-spacing remain negligible. Only early production rates are higher at the expense of late-well life production rate. Pressure depletion will occur faster in the zones between hydraulic fractures when fracture spacing is reduced, which initially leads to higher production rates, but lower production rates thereafter, due to rapid depletion of pressure such that flow rate of the well declines accordingly.
- When tighter fracture spacing is used, the likelihood of poorly performing perforation clusters increases. Two child wells studied underperformed relative to the predicted CMG and KAPPA reservoir model forecasts. The well spacing of the child wells was identical to that of the parent wells and all wells tapped into the reservoir sections with same original oil in place volumes. The production gains of fracture down-spacing are less than expected. A poor performance of child wells is often attributed to well interference effects. While this certainly may play a role in some regions, our well simulations suggest the possibility of failed perforations and fracture coalescence into several principal hydraulic fracture swarms is the principal cause of relatively lagging production performance.
- In any case, tighter fracture spacing, although not leading to overall EUR gains (computed here for the typical 30-year time frame), is still of interest to operators because some early production gains are booked, which benefits the internal rate of return of the project (due to time value of money used in discounting the project cash flows). Each year over the past 15 years, service providers have innovated by providing competitively priced completion packages with more fracture stages and tighter fracture cluster spacing. That is what service providers of completion technology compete on and industry seems each year to adopt the tightest perforation cluster spacing possible in their newly completed wells. The common perforation cluster spacing used in North America becomes tighter each year.
- Well rates, when reaching the boundary dominated flow regime, do not decline exponentially, as has been often assumed in two segment DCA models. The exponential decline model is over-simplistic as the transition from secondary transient flow to true BDF occurs gradually, due to which a terminal rate with hyperbolic decline is more appropriate, as was demonstrated in our study by history matching the flow-cell model against a KAPPA reservoir simulation.
- The onset of true BDF, or kick-off points on the type curve can be approximated by a depth of investigation curve, but more accurate results are achieved by calibration of the timing of kick-off using a reservoir simulator. Once the curve for kick-off timing is established, the flow-cell model will give reasonably accurate production forecasts for well spacing reduction.
- Long wells cannot be argued to suffer from pressure bottlenecks in productivity due to frictional flow losses in the hydraulic fractures system and the production system. Such frictional losses are not the limiting factor, which entirely resides in the sluggishness of diffusion of reservoir fluids in the nano-Darcy reservoir space.
- Different reservoir simulators give different history matches for the flow performance of hydraulically fractured wells, and only converge in production forecasts when mutually exclusive reservoir parameters are used. Our example used CMG and KAPPA simulators. The flow-cell model based on the type curve combined with reservoir model-based kick-off points provides a fast, practical alternative, with plausible accuracy.
- Bubble point effects are not (yet) accounted for. Equation of state computations would need be integrated with the spreadsheet model (work in progress).
5.2. Additional Insights From Models
- Future performance and history matching results are greatly dependent on fluid and PVT model as relative permeability curves will affect late-life well rates in a profound way. Bubble point effects may lead locally to rapid pressure decline but lift up the well rate later due to its gas lift effect.
- The flow cell model does not accurately match the actual production of the H2 and H3 wells in early production time.
- The initial production for H2 and H3 from the flow cell model is much greater than the actual production but declines faster and ultimately converges on the H1 EUR forecast.
- Possible explanation of early time mismatch for flow cell H2 and H3 model is that the intended number of hydraulic fractures was never effectuated due to a number of failed perforation clusters. The ratio of possible failed clusters to total clusters perforated is captured in the newly devised fracture treatment quality factor (TQF).
- Decline in reservoir pressure from the nearby producing H1 and O wells could be neglected because the pressure transient would not have reached the region hosting H2 and H3 wells at the time of their drilling.
- H2 and H3 have more hydraulic fractures than H1 but the earlier onset of inter-fracture interference means that the expected uplift in production (compared to H1) from the flow cell model is not realized.
6. Conclusions
Author Contributions
Funding
Conflicts of Interest
Appendix A. Spreadsheet Interface Guide
- (1)
- The first input required is production data for decline curve fitting. If production data are known, this is done in tab “Type well DCA fitting”.
- (2)
- “Type well DCA fitting” is done via the use of the Excel "Solver" add in to determine the DCA parameter of qi, b, and Di for curve fitting and forecasting.
- (3)
- Once the DCA parameters have been identified from the “Type well DCA fitting” the next step is the user input of well parameters in tabs “Down-spacing ratio_0.1” and “Down-spacing ratio_0.05”. Both of these tabs run the same calculations and refer to fracture down-spacing ratios. Splitting the well spacing ratio over increments with different order of magnitude makes the outputs more manageable for users and for plotting requirements.
- (4)
- For the “Down-spacing” tabs, user inputs for the flow cell formulation are needed to account for any changes to fracture spacing in the new wells. The required completion dimensions are entered in commented cells in the spreadsheet. User input of reservoir properties (also commented) are also needed.
- (5)
- Once the required inputs are provided in the “Down-spacing” tabs, the equivalent Daily and Cumulative plots are automatically generated.
- (6)
- In addition to completion parameter changes (fracture spacing, height, and half-length), the 2-segment DCA model also accounts for well spacing changes for both simultaneous parent-parent wells as for parent-child wells, with a time delay of their respective drilling and completion.
Appendix A.1. Case Study Example





Appendix A.2. Methodology Used for Spreadsheet Calculations


References
- Weijermars, R.; Yu, W.; Khanal, A. (Eds.) Improved Reservoir Models and Production Forecasting Techniques for Multi-Stage Fractured Hydrocarbon Wells; MDPI Energies, Book with Collection of 10 Best Papers Special Issue. mdpi.com/books/pdfview/book/1890; MDPI: Basel, Switzerland, 2019; ISBN1 978-3-03921-892-9. ISBN2 978-3-03921-893-6. [Google Scholar]
- Weijermars, R.; Johnson, A.; Denman, J.; Salinas, K.; Kennedy, M.; Williams, J. Creditworthiness of North American Oil Companies and Minsky Effects of the (2014–2016) Oil Price Shock. J. Financ. Account. 2018, 6, 162–180. [Google Scholar] [CrossRef]
- SPE Taskforce Final Report, 2016. Unconventional Reserves Task Force, The Woodlands, TX, USA, 18–19 August 2015. Available online: https://www.spwla.org/Documents/SPWLA/TEMP/Unconventional%20Taskforce%20Final%20Report.pdf (accessed on 21 March 2020).
- Hu, Y.; Weijermars, R.; Lihua, Z.; Yu, W. Benchmarking EUR Estimates for Hydraulically Fractured Wells with and without Fracture Hits Using Various DCA Methods. J. Pet. Sci. Eng. 2017, 162, 617–632. [Google Scholar] [CrossRef]
- Tugan, F.M.; Weijermars, R. Improved EUR Prediction for Multi-Fractured Hydrocarbon Wells Based on 3-Segment DCA: Implication for Production Forecasting of Parent and Child Wells. J. Pet. Sci. Eng. 2020, 187, 106692. [Google Scholar] [CrossRef]
- Weijermars, R.; Khanal, A. Production Interference of Hydraulically Fractured Hydrocarbon Wells: New Tools for Optimization of Productivity and Economic Performance of Parent and Child Wells. In Proceedings of the SPE Europec featured at 81st EAGE Conference and Exhibition, London, UK, 3–6 June 2019. SPE-195544-MS. [Google Scholar]
- Weijermars, R.; Tugan, F.M.; Khanal, A. Production Rates and EUR Forecasts for Interfering Parent-Parent Wells and Parent-Child Wells: Fast Analytical Solutions and Validation with Numerical Reservoir Simulators. J. Pet. Sci. Eng. 2020, 190, 107032. [Google Scholar] [CrossRef]
- Ilk, D.; Perego, A.D.; Rushing, J.A.; Blasingame, T.A. Integrating Multiple Production Analysis Techniques to Assess Tight Gas Sand Reserves: Defining a New Paradigm for Industry Best Practices. In Proceedings of the CIPC/SPE Gas Technology Symposium 2008 Joint Conference, Calgary, AB, Canada, 16–19 June 2008. [Google Scholar] [CrossRef]
- Ilk, D.; Rushing, J.A.; Perego, A.D.; Blasingame, T.A. Exponential vs. Hyperbolic Decline in Tight Gas Sands—Understanding the Origin and Implication for Reserve Estimates Using Arps’ Decline Curves. In Proceedings of the SPE Annual Technical Conference and Exhibition, Denver, CO, USA, 21–24 September 2008. [Google Scholar] [CrossRef]
- Valko, P.P. Assigning Value to Stimulation in the Barnett Shale: A Simultaneous Analysis of 7000 Plus Production Histories and Well Completion Records. In Proceedings of the SPE 119369, SPE Hydraulic Technology Conference, The Woodlands, TX, USA, 19–21 January 2009. [Google Scholar] [CrossRef]
- Duong, A.N. Rate-Decline Analysis for Fracture-Dominated Shale Reservoirs. SPE Reserv. Eval. Eng. 2011, 14, 377–387. [Google Scholar] [CrossRef] [Green Version]
- Clark, A.J.; Lake, L.W.; Patzek, T.W. Production Forecasting with Logistic Growth Models. In Proceedings of the SPE Annual Technical Conference and Exhibition, Denver, CO, USA, 30 October–2 November 2011. paper SPE 144790. [Google Scholar] [CrossRef] [Green Version]
- Patzek, T.W.; Male, F.; Marder, M. Gas Production in the Barnett Shale Obeys a Simple Theory. Proc. Natl. Acad. Sci. USA 2013, 110, 19731–19736. [Google Scholar] [CrossRef] [PubMed] [Green Version]
- Zhang, H.; Cocco, M.; Rietz, D.; Cagle, A.; Lee, J. An Empirical Extended Exponential Decline Curve for Shale Reservoirs. In Proceedings of the SPE Annual Technical Conference and Exhibition, Houston, TX, USA, 28–30 September 2015. [Google Scholar] [CrossRef]
- Holanda, R.W.D.; Gildin, E.; Valko, P.P. Combining Physics, Statistics, and Heuristics in the Decline-Curve Analysis of Large Data Sets in Unconventional Reservoirs. SPE Reserv. Eval. Eng. 2018, 21, 683–702. [Google Scholar] [CrossRef]
- Miao, Y.; Li, X.; Lee, J.; Zhou, Y.; Wu, K.; Sun, Z.; Liu, S. A new rate-decline analysis of shale gas reservoirs: Coupling the self-diffusion and surface diffusion characteristics. J. Pet. Sci. Eng. 2018, 163, 166–176. [Google Scholar] [CrossRef]
- Tugan, F.M.; Weijermars, R. Variation in b-sigmoids with flow regime transitions in support of a New 3-Segment DCA Method: Improved Production Forecasting for tight oil and gas wells. J. Pet. Sci. Eng. 2020, in press. [Google Scholar]
- Gakhar, K.; Rodionov, Y.; Defeu, C.; Shan, D.; Malpani, R.; Ejofodomi, E.; Fischer, K.; Hardy, B. Engineering an Effective Completion and Stimulation Strategy for In-Fill Wells. In Proceedings of the SPE Hydraulic Fracturing Technology Conference and Exhibition, The Woodlands, TX, USA, 24–26 January 2017. [Google Scholar] [CrossRef]
- Bansal, N.; Han, J.; Shin, Y.; Blasingame, T. Reservoir Characterization to Understand Optimal Well Spacing; A Wolfcamp Case Study. In Proceedings of the Unconventional Resources Technology Conference, Houston, TX, USA, 23–25 July 2018. [Google Scholar] [CrossRef]
- Khodabakhshnejad, A.; Zeynal, A.R.; Fontenot, A. The Sensitivity of Well Performance to Well Spacing and Configuration—A Marcellus Case Study. In Proceedings of the Unconventional Resources Technology Conference, Denver, CO, USA, 22–24 July 2019. [Google Scholar] [CrossRef]
- Lougheed, D.; Behmanesh, H.; Anderson, D. Does Depletion Matter? A Child Well Workflow. In Proceedings of the Unconventional Resources Technology Conference, Denver, CO, USA, 22–24 July 2019. [Google Scholar] [CrossRef]
- Izadi, G.; Guises, R.; Barton, C.; Randazzo, S.; Mahrooqi, S.; Shaibani, M.; Dobroskok, A. Advanced Integrated Subsurface 3D Reservoir Model for Multistage Full-Physics Hydraulic Fracturing Simulation. In Proceedings of the International Petroleum Technology Conference, Dhahran, Saudi Arabia, 13–15 January 2020. [Google Scholar] [CrossRef]
- Cipolla, C.; Litvak, M.; Prasad, R.S.; McClure, M. Case History of Drainage Mapping and Effective Fracture Length in the Bakken. In Proceedings of the SPE Hydraulic Fracturing Technology Conference and Exhibition, The Woodlands, TX, USA, 4–6 February 2020. [Google Scholar] [CrossRef]
- Fowler, G.; McClure, M.; Cipolla, C. A Utica Case Study: The Impact of Permeability Estimates on History Matching, Fracture Length, and Well Spacing. In Proceedings of the SPE Annual Technical Conference and Exhibition, Calgary, AB, Canada, 30 September–2 October 2019. [Google Scholar] [CrossRef]
- Yu, W.; Wu, K.; Zuo, L.; Tan, X.; Weijermars, R. Physical Models for Inter-Well Interference in Shale Reservoirs: Relative Impacts of Fracture Hits and Matrix Permeability. In Proceedings of the SPE Unconventional Resources Technology Conference, San Antonio, TX, USA, 1–3 August 2016. SPE-URTeC 2457663. [Google Scholar] [CrossRef] [Green Version]
- Yu, W.; Xu, Y.; Weijermars, R.; Wu, K.; Sepehrnoori, K. Impact of Well Interference on Shale Oil Production Performance: A Numerical Model for Analyzing Pressure Response of Fracture Hits with Complex Geometries. In Proceedings of the SPE, Hydraulic Fracturing Conference, Woodlands, TX, USA, 24–26 January 2017. SPE 184825. [Google Scholar]
- Yu, W.; Xu, Y.; Weijermars, R.; Wu, K.; Sepehrnoori, K. A numerical model for simulating pressure response of well interference and well performance in tight oil reservoirs with complex fracture geometries using the fast embedded discrete fracture model method. SPE Reserv. Eval. Eng. 2018, 21, 489–502. [Google Scholar] [CrossRef]
- Garza, M.; Baumbach, J.; Prosser, J.; Pettigrew, S.; Elvig, K. An Eagle Ford Case Study: Improving an Infill Well Completion Through Optimized Refracturing Treatment of the Offset Parent Wells. In Proceedings of the SPE Hydraulic Fracturing Technology Conference and Exhibition, The Woodlands, TX, USA, 5–7 February 2019. [Google Scholar] [CrossRef]
- McClure, M.; Picone, M.; Fowler, G.; Ratcliff, D.; Kang, C.; Medam, S.; Frantz, J. Nuances and Frequently Asked Questions in Field-Scale Hydraulic Fracture Modeling. In Proceedings of the SPE Hydraulic Fracturing Technology Conference and Exhibition, The Woodlands, TX, USA, 4–6 February 2020. [Google Scholar] [CrossRef]
- Yang, X.; Yu, W.; Weijermars, R.; Wu, K. Fracture hits via diagnostic charts to assess production interference level. SPE J. 2020, in press. [Google Scholar] [CrossRef]
- Parsegov, S.G.; Nandlal, K.; Schechter, D.S.; Weijermars, R. Physics-Driven Optimization of Drained Rock Volume for Multistage Fracturing: Field Example from the Wolfcamp Formation, Midland Basin. SPE-URTeC: 2879159. In Proceedings of the Unconventional Resources Technology Conference, Houston, TX, USA, 23–25 July 2018. [Google Scholar] [CrossRef] [Green Version]
- Coveney, P.V.; Dougherty, E.R.; Highfield, R.R. Big data need big theory. Philos. Trans. R. Soc. A 2016, 374, 20160153. [Google Scholar] [CrossRef] [PubMed]
- Weijermars, R.; Nascentes Alves, I. High-Resolution Visualization of Flow Velocities Near Frac-Tips and Flow Interference of Multi-Fracked Eagle Ford Wells, Brazos County, Texas. J. Pet. Sci. Eng. 2018, 165, 946–961. [Google Scholar] [CrossRef]
- Arps, J.J. Analysis of Decline Curves. Trans. AIME 1945, 160, 228–247. Available online: https://www.onepetro.org/journal-paper/SPE-945228-G. [CrossRef]
- Khanal, A.; Weijermars, R. Pressure depletion and drained rock volume near hydraulically fractured parent and child wells. J. Pet. Sci. Eng. 2019, 172, 607–626. [Google Scholar] [CrossRef]
- Weijermars, R.; Nandlal, K.; Khanal, A.; Tugan, M.F. Comparison of Pressure Front with Tracer Front Advance and Principal Flow Regimes in Hydraulically Fractured Wells in Unconventional Reservoirs. J. Pet. Sci. Eng. 2019. [Google Scholar] [CrossRef]
- Maley, S. The Use of Conventional Decline Curve Analysis in Tight Gas Well Applications. In Proceedings of the SPE/DOE (Society of Petroleum Engineers and U.S. Department of Energy), Low Permeability Gas Reservoirs, Denver, CO, USA, 19–22 May 1985. [Google Scholar] [CrossRef]

















| Well Name | Lateral Length | Number of Stages | Stage Spacing | Total Perf Clusters | Fracture/Cluster Spacing | Total Proppant |
|---|---|---|---|---|---|---|
| - | ft | - | ft | - | ft | lbs |
| Well H1 | 6550 | 22 | 300 | 131 | 50 | 10,664,970 |
| Well H2 | 7905 | 51 | 45–180 | 433 | 18 | N/A |
| Well H3 | 7359 | 50 | 56–177 | 413 | 18 | N/A |
| Well Name | Arps Hyperbolic DCA (44 mth H1 & 6mth H2 & H3) Regression (Mstb) | Arps Hyperbolic DCA (17mth) Regression (Mstb) | Flow Cell Model Based on H1 Type Well (Mstb) | 3-segment DCA (Limited) Historical Production Data (Mstb) | 3-Segment DCA (+4 Months Data) (Mstb) | 3-Segment DCA (+Initial Rate) (Mstb) | CMG Model (Mstb) |
|---|---|---|---|---|---|---|---|
| H1 | 218 | - | - | - | - | 209 | 266 |
| H2 | 1,476 | 277 | 278 | 248 | 282 | 228 | - |
| H3 | 1,470 | 274 | 250 | 228 | - | 204 | 291 |
| Well Spacing | W/TW Ratio | Kick-Off Time (DOI Formula from Wellbore) | Kick-Off Time (DOI Formula from Fracture Tips) |
|---|---|---|---|
| ft | - | Months | Months |
| 1125 | 0.9 | 435 | 243 |
| 1000 | 0.8 | 344 | 176 |
| 875 | 0.7 | 263 | 120 |
| 750 | 0.6 | 193 | 75 |
| 625 | 0.5 | 134 | 40 |
| 500 | 0.4 | 86 | 16 |
| 375 | 0.3 | 48 | 3 |
| Well Spacing | W/TW Ratio | Kick-Off Time (KAPPA Model) | b Value Match |
|---|---|---|---|
| ft | - | Months | - |
| 1125 | 0.9 | 259 | 0.61 |
| 1000 | 0.8 | 166 | 0.60 |
| 875 | 0.7 | 115 | 0.59 |
| 750 | 0.6 | 83 | 0.57 |
| 625 | 0.5 | 38 | 0.52 |
| 500 | 0.4 | 18 | 0.37 |
| 375 | 0.3 | 6 | 0.26 |
| Well Spacing (W/TW) | KAPPA Model EUR (bbls) | Flow-Cell Hyperbolic Model EUR (bbls) | Percentage Difference from KAPPA Model |
|---|---|---|---|
| 1 | 122,699 | 122,190 | −0.41% |
| 0.9 | 123,103 | 122,074 | −0.84% |
| 0.8 | 121,148 | 121,463 | 0.26% |
| 0.7 | 118,063 | 119,671 | 1.36% |
| 0.6 | 112,496 | 115,288 | 2.48% |
| 0.5 | 101,372 | 105,363 | 3.94% |
| 0.4 | 83,938 | 82,193 | −2.08% |
| 0.3 | 60,255 | 58,402 | −3.08% |
© 2020 by the authors. Licensee MDPI, Basel, Switzerland. This article is an open access article distributed under the terms and conditions of the Creative Commons Attribution (CC BY) license (http://creativecommons.org/licenses/by/4.0/).
Share and Cite
Weijermars, R.; Nandlal, K. Pre-Drilling Production Forecasting of Parent and Child Wells Using a 2-Segment Decline Curve Analysis (DCA) Method Based on an Analytical Flow-Cell Model Scaled by a Single Type Well. Energies 2020, 13, 1525. https://doi.org/10.3390/en13061525
Weijermars R, Nandlal K. Pre-Drilling Production Forecasting of Parent and Child Wells Using a 2-Segment Decline Curve Analysis (DCA) Method Based on an Analytical Flow-Cell Model Scaled by a Single Type Well. Energies. 2020; 13(6):1525. https://doi.org/10.3390/en13061525
Chicago/Turabian StyleWeijermars, Ruud, and Kiran Nandlal. 2020. "Pre-Drilling Production Forecasting of Parent and Child Wells Using a 2-Segment Decline Curve Analysis (DCA) Method Based on an Analytical Flow-Cell Model Scaled by a Single Type Well" Energies 13, no. 6: 1525. https://doi.org/10.3390/en13061525
APA StyleWeijermars, R., & Nandlal, K. (2020). Pre-Drilling Production Forecasting of Parent and Child Wells Using a 2-Segment Decline Curve Analysis (DCA) Method Based on an Analytical Flow-Cell Model Scaled by a Single Type Well. Energies, 13(6), 1525. https://doi.org/10.3390/en13061525
