Abstract
Injecting carbon dioxide to enhance shale gas recovery (CO2-EGR) is a useful technique that has raised great research interests. Clear understanding of the two-component gas transport mechanisms in shale nanopores is the foundation for the efficient development of shale gas reservoir (SGR) and also the long-term geological storage of CO2. Although extensive studies on single-component gas transport and corresponding models in shale nanopores have been carried out in recent years, limited studies have been conducted on two-component or even multi-component gas transport models in shale nanopores. In this work, the shale nanopores were classified into inorganic and organic nanopores. The corresponding models for two-component gas transport were constructed. Mechanisms including Knudsen diffusion, slip flow, viscous flow, and molecular diffusion are considered in the inorganic pores. In the organic pores, due to existence of adsorption gas, surface diffusion is further considered besides the aforementioned mechanisms. Effects of pressure, temperature, fraction of organic nanopores, and gas concentration were analyzed. Results show that gas apparent permeability is negatively correlated with pressure, and positively correlated with temperature and organic nanopore fraction. As the concentration of CH4 decreases, the apparent permeability of CH4 increases continuously, while the apparent permeability of CO2 decreases. The permeability ratio of CH4 in the total permeability is negatively correlated with pressure and gas concentration ratio. Additionally, the contribution of transport mechanisms to the total gas apparent permeability has been analyzed. It is found that the surface diffusion contributes up to 5.68% to gas apparent permeability under high pressure. The contribution of molecular diffusion can reach up to 88.83% in mesopores under low pressure. Under high pressure and macropores, it contributes less than 1.41%. For all situations, the contribution of viscous flow is more than 46.36%, and its contribution can reach up to 86.07%. Results of this study not only can improve the understanding of two-component gas transport in nanochannels, but also can lay the foundation for more reliable reservoir simulation of CO2-EGR.
1. Introduction
Unconventional resources are becoming increasingly important due to the energy demand. Different from conventional reservoirs, shale gas reservoirs (SGRs) have developed various types of nanopores and have the characteristics of low porosity and permeability. In SGRs, the gas is stored in the interconnected pores or adsorbed on the organic matter (Figure 1). Due to multi-scale reservoirs and the existence of multiple gas types, complex transport mechanisms exist in SGRs, such as desorption, diffusion, slippage, and seepage [1]. Additionally, according to the field practice, the production of shale gas wells decreases sharply after exploitation. This leads to relevant studies on gas injection for enhancing shale gas production. Besides, shale has a large specific surface area and abundant pores. It has the potential to store a large amount of CO2, which is the main greenhouse gas. This not only can improve the recovery rate of shale gas, but also can realize permanent storage of CO2.
Figure 1.
The diagram of gas distribution in shale gas reservoirs.
In the current studies regarding the gas apparent permeability models in nanopores, there are many studies for organic nanopores (ONPs). However, the studies for inorganic nanopores (IONPs) are relatively insufficient. In addition, the effect of water film is rarely considered in the current apparent permeability model for one-component gas. However, it can be learned from actual logging data that the water saturation is not negligible in SGRs, especially in the IONPs [2,3]. Although the water content in ONPs is controversial [4], the IONPs are extremely hydrophilic [5,6]. The water film is formed on the surface of IONPs in SGRs. Under this situation, CH4 and CO2 cannot be adsorbed on the pore surface. The gases can only concentrate in the center of the pore or adsorb on the water film [7,8]. Furthermore, current studies on gas apparent permeability mainly focus on single-component gas, i.e., pure methane. Limited studies have been carried out on the apparent permeability model for the two-component gas in SGRs.
Many scholars have already conducted studies on single-component gas transport in shale nanopores. Wang et al. [9] developed a fully coupled model by simulating shale gas reservoirs (SGRs), which considered gas adsorption, surface diffusion on the adsorption layer, stress sensitivity, and non-Darcy flow. The results by numerical simulation were consistent with the experimental data from the fields of Marcellus and Barrent. However, the effect of the water film was not considered in the established model. Additionally, the effect of inorganic nanopores was ignored. Feng et al. [10] established the apparent permeability model which considered the natural fractures, organic nanopores, and inorganic nanopores, etc. Song et al. [11] established a comprehensive model which considered gas adsorption-desorption and the diffusion of real gas. However, the effect of inorganic pores and water film were also not considered in their study. Cai et al. [12] also proposed the apparent permeability model by using a uniform diffusion coefficient to combine the effects of various gas transport mechanisms under different conditions. Singh et al. [13] established an apparent permeability model in which the Knudsen diffusion is regarded as the main gas transport mechanism. Therefore, this model is only suitable for the case with a Knudsen number less than unity. Additionally, the real gas effect was ignored in their model. Wu et al. [14] proposed a gas transport model for shale organic nanopores. In this model, multiple gas transport mechanisms and real gas effects were considered, but effects of water film and inorganic matter pores were neglected. Javadpour [15] developed a new gas transport model with considering slip flow and Knudsen diffusion. However, the impact of other gas transport mechanisms was ignored. Darabi et al. established the permeability model which considered effect of pressure and water film [16]. Similar to Javadpour’s model [15], Knudsen diffusion and slip flow were the main gas flow mechanisms in their model. However, effect of real gas and inorganic nanopores were ignored. Zhang et al. [17] established the transport model for shale gas with considering multiple transport mechanisms, including Knudsen diffusion, viscous flow, and surface diffusion. Results show that surface diffusion cannot be neglected for small nanopores or under low pressure. However, the inorganic and organic nanopores in the shale were not separately processed in the model. Xu et al. [18] established the flow model for pure methane with considering Knudsen diffusion, surface diffusion, and gas adsorption, etc. In addition, the organic and inorganic nanopores were distinguished in their model. However, the effect of water film was not considered and the model was also only suitable for pure methane transport.
Some scholars have also initiated the study on two-component gas adsorption and transport in shale. Li et al. [19] established a dual-porosity double-permeability finite element model which considered the injection of CO2 and N2 into SGRs. Additionally, the effect of different gas injection schedules on shale gas development was evaluated. Akkutlu and Fathi [20] studied the injection of CO2 into SGRs by using numerical simulation method. Results showed that when CO2 entered the reservoir, the competitive adsorption of CH4-CO2 occurred in the reservoir. However, many gas transport mechanisms for two-component gas transport were not considered in their work. Kang et al. [21] concluded that the carbon dioxide was mainly adsorbed on the surface of organic nanopores, and the adsorption capacity of carbon dioxide was about four times of methane through laboratory experiments and numerical simulations. Sun et al. [22] proposed a new dual porosity model for CO2 injection into SGRs by considering viscous flow, Knudsen diffusion, and ordinary diffusion. However, effect of molecular diffusion and water film were not considered in their model. Based on literature review, it can be found that there are still limited studies on the two-component gas apparent permeability model. Additionally, there are many problems in the existing models: the transport mechanisms for two-component gas were not considered completely, and the organic and inorganic nanopores were not processed separately. However, the pore shape and gas transport mechanisms are not identical in these two kinds of nanopores. For example, the water film effect can be ignored in organic nanopores, whereas it should be considered in the inorganic nanopores.
Therefore, the two-component gas transport and apparent permeability model in shale matrix were constructed in this paper. The nanopores in the shale matrix are classified into two categories: inorganic and organic. Multiple gas transport mechanisms are considered, such as Knudsen diffusion, surface diffusion, molecular diffusion, and viscous flow, etc. Finally, the gas apparent permeability model for two-component CH4-CO2 in shale matrix was constructed and the effects of parameters on the apparent permeability of methane, carbon dioxide, and the mixture were analyzed. Results of this study can provide both theoretical and practical significance for the reservoir simulation of CO2-EGR, which can contribute to the efficient development of SGRs and the geological storage of CO2.
2. Gas Transport Mechanisms in Shale Inorganic and Organic Nanopores
Based on previous study [5,23,24], the pores in the shale are generally divided into inorganic and organic nanopores according to the existence of organic matter or kerogen. Specially, for the organic nanopores which are formed in the kerogen, the pores can be characterized by cylindrical tubes [23,24,25]. For the inorganic pores which are formed in the clay minerals [5,6], the pores can be characterized by silts [26,27]. Additionally, the gas transport mechanisms in inorganic and organic nanopores are different for the two-component gas (CH4, CO2). In this work, the gas transport mechanisms in different pores are separately considered, and the two-component gas apparent permeability model is established. The diagram for the two-components gas transport mechanisms in shale organic nanopores is shown in Figure 2. For the inorganic nanopores, the surface diffusion can be ignored but the effect of water film should be considered.
Figure 2.
Two-component gas transport mechanisms in shale organic nanopores. The red balls stand for CO2 molecules and the black balls denote the CH4 molecules. In the inorganic nanopores, the surface diffusion can be ignored.
2.1. Gas Transport Mechanisms in Organic Nanopores
2.1.1. Knudsen Diffusion
As stated previously, the organic nanopore is commonly assumed as a cylindrical tube. If the forward direction is positive, the Knudsen diffusion equation considering the real gas effect can be expressed as follows [28]:
where, represents mass flow due to Knudsen diffusion, kg/(m2∙s); represents the gas molecular weight, kg/mol; represents the gas molar density, mol/m3; represents the Knudsen diffusion coefficient, m2/s. The Knudsen diffusion coefficient () can be expressed as follows:
Based on the gas state equation: and the molar density: , the following equation can be obtained:
Combining Equations (1)–(3) and assuming the compressibility factor was not dependent to location and pressure, the mass flux due to Knudsen diffusion can be expressed as follows:
Additionally, the gas partial pressure for component i in shale pores is
where, represents the total pressure in shale, Pa; represents concentration ratio of gas component i. In this paper, it is assumed that the mass flow equation does not change as the gas component fraction changes, and the spatial gradient of the gas component fraction is ignored. Thus, the Knudsen diffusion equations for CH4/CO2 are obtained as follows:
2.1.2. Viscous Flow
According to the Hagen–Poiseuille equation, the mass flow equation of viscous flow can be calculated using following equation [29]:
where, represents the mass flow of shale gas, kg/(m2·s); is the gas density in shale, kg/m3; is the gas viscosity, Pa·s. According to the gas state equation, the densities of CH4 and CO2 can be expressed as follows:
Therefore, the mass flow equations of viscous flow for two-component CH4-CO2 is
2.1.3. Surface Diffusion
The volume of adsorbed gas usually accounts for 20%–85% of the total pore volume in SGRs. Therefore, the surface diffusion of adsorbed gas cannot be ignored in the micro-nanopores of SGRs. The mass flow equation of surface diffusion is [30]
where, represents the mass flow of surface diffusion in shale, kg/(m2·s); represents the gas surface diffusion coefficient, m2/s; represents the adsorption amount of real gas, kg/m3. can be expressed as follows [30]:
where, θ represents gas surface coverage, dimensionless; represents gas molecular weight, kg/mol; represents the gas diameter molecule, m; represents the Avogadro constant, 6.02214076 × 1023 mol−1. The effect of gas surface coverage is considered, and can be calculated by using the following formula [31]:
where, is the surface diffusion coefficient when the surface coverage is 0, m2/s; κ is the ratio of rate constant for blockage to rate constant for forward migration, dimensionless; is the Heaviside function, dimensionless; is rate constant for forward migration, m/s; is the constant rate for blockage, m/s. When > , surface diffusion will occur; when κb > κm, the gas molecules are blocked and the surface diffusion will disappear. Therefore, the mass flow equations of CH4/CO2 due to surface diffusion in the organic matter pores can be expressed as follows:
2.1.4. Molecular Diffusion
In the process of CO2-EGR, there are two-component gases (CH4, CO2) in the organic matter pores. As the gas molecular weight of CH4 and CO2 are different, molecular velocities are also different in the organic nanopores. The molecular diffusion also exists in the SGRs and it can be expressed as
where, is the molecular diffusion mass flow of component i, kg/(m2/s); is the effective molecular diffusion coefficient of components A and B in a porous media, m2/s. The effective molecular diffusion coefficient () can be expressed as follows [22]:
where, and represent the molecular weight of gas A and B, respectively, kg/mol; τ represents the tortuosity, dimensionless; σ represents the Lennard–Jones potential collision diameter, ; represents the molecules collision integral, dimensionless; represents compression degree, dimensionless. can be expressed as follows:
where, represents the gas molecule diameter, nm; represents the pore diameter, nm. Combined with Equation (3), the mass flow equations for molecular diffusion of CH4/CO2 in organic matter pores can be expressed as
Therefore, the total mass flow equations of the two-component gas (CH4, CO2) in the organic nanopores can be expressed as follows:
2.1.5. Pore Radius Correction
The surface coverage of CH4 and CO2 gas molecules can be obtained separately by considering the surface coverage (θ) of the adsorbed gas. The surface coverage of each component i in the organic nanopores can be expressed as follows:
where, r is the modified organic pore radius, nm; rmax is the pore radius when the surface coverage of the organic matter pores is zero, nm; is the Langmuir pressure of the methane, MPa; is the Langmuir pressure of the carbon dioxide, MPa; and are the molecular diameter of methane and carbon dioxide, nm.
2.2. Gas Transport Mechanism in the Inorganic Nanopores
Different from the organic nanopores, the inorganic nanopores are mainly formed by clay minerals. The clay minerals have greater hydrogen bond and dispersion force to water molecules. Therefore, it will be easier for the water molecules to be adsorbed on the pore walls of shale, which significantly reduces the gas adsorption. When water is present in the inorganic pores, water film will be located on the surface of pore wall. Additionally, most of the gas molecules will be accumulated at the center of the pore, and part of the gas molecules is adsorbed on the water film. Therefore, the solid–gas adsorption becomes solid–liquid–gas adsorption. In the inorganic pores, gas transport mechanisms for two-component gases mainly include Knudsen diffusion, slip-viscous flow, and molecular diffusion.
2.2.1. Knudsen Diffusion
With considering the shape factor of shale inorganic nanopores, the mass flow due to Knudsen diffusion in the inorganic nanopores can be expressed as [32]
where, is the shape factor of inorganic nanopores, dimensionless; is porosity, %; is tortuosity, dimensionless; is the width of the channel with considering water film effect, m; is the mole fraction of component i; Df is the fractal dimension of the inorganic nanopore, dimensionless. can be expressed as follows:
2.2.2. Slip Flow
The mass flow due to slip flow [32] in the inorganic nanopores can be expressed as follows:
where, is the shape factor of nanopore in slip flow, dimensionless; Kn is the Knudsen number of the gas, dimensionless; α is rarefaction coefficient, dimensionless. The Knudsen number can be expressed as follows [32,33]:
where, λ is the mean free path of the gas molecules, m; D is the height of the rectangular cross-section, m. The mean free path for each component is [34]
Therefore, the gas Knudsen number with considering the water film can be expressed as
The slip mass flow equations for CH4/CO2 are given by
2.2.3. Molecular Diffusion
In the inorganic nanopores, the mass flow equation of molecular diffusion is consistent with the equation in the organic nanopores. Therefore, the mass flow equation for CH4/CO2 is as follows:
Therefore, the total mass flow equations for two-component gas in the inorganic nanopore can be expressed as
2.2.4. Real Gas Effect
In this study, the real gas effect is considered in both organic and inorganic nanopores. The following equations were applied for the calculation of gas viscosity, density, and compressibility factor. For the calculation of gas viscosity, the following formulas were used [35]:
Additionally, for the gas compressibility factor, the formula is as follows [30,36]:
where, is critical pressure, MPa; is critical temperature, K; and are the reduced pressure and temperature.
2.2.5. Pore Width Correction for Inorganic Nanopores
As stated previously, the cross-section of inorganic nanopores can be assumed as rectangle. The schematic diagram of gas flow in inorganic pores is shown in Figure 3. Therefore, the inorganic nanopores can be simplified as slit pores. The aspect ratio ( >1) can be used to characterize the shape of the silt pores:
where, represents the height of the slit pores, m; is the width of the slit pores, m. When the inorganic nanopore contains water, the surface of the pore wall is covered with a water film with thickness of . Therefore, the width of the slit pores is as follows:
where, represents the pore width with considering the water film effect, nm; represents the thickness of the water film, nm.
Figure 3.
Schematic diagram of gas flow in inorganic pores.
3. Construction of Apparent Permeability Model for Two-Component Gas
3.1. Mass Flow Equation
The ratio of organic nanopores to inorganic nanopores varies in different shale gas reservoirs. If the fraction of organic nanopores in the total nanopores is expressed as η, the mass flow equations for CH4/CO2 in the total pores can be obtained as follows:
3.2. Apparent Permeability for Two-Component Gas
The volume flux of component i in inorganic and organic nanopores can be calculated as follows, respectively:
According to the gas state equation, the density of CH4/CO2 is as follows:
Therefore, the volume flux equations for two-component gas can be obtained:
According to Darcy’s law, the apparent permeability model of two-component gas can be expressed as
Additionally, the apparent permeability contributed by Knudsen diffusion (kkn), surface diffusion (ks), molecular diffusion (km), viscous flow (kvs), and slip flow (ksl) can be expressed in Equation (38), respectively.
4. Model Validation
In order to validate the reliability of the proposed permeability model for two-component gas, the experiment results by Feng (2017) were utilized [37]. Shale samples from Longmaxi formation of Lower Silurian in Sichuan Basin were used in the experiment. The parameters used in the calculation can be found from the reference. The model built in this paper was also compared with existing model for two-component gas [38]. As shown in Figure 4, it can be found that the calculation results from the proposed model in this paper are highly correlated to the experimental results of Feng (2017). However, the permeability calculated by the existing Erfan’s model is less than the experimental results, and there is a certain gap between the experimental results and Erfan’s results. This is because the Erfan’s models [38] did not completely consider the gas transport mechanisms in shale nanopores. For the proposed model in this paper, the gas transport mechanisms are comprehensively considered, which can well describe the two-component gas transport law in shale nanopores.
Figure 4.
The comparison among the experimental data [37], existing model [38], and proposed model in this paper.
5. Results and Analysis
During the CO2-EGR process, many parameters will affect the gas transport for a two-component gas mixture. Here, the effect of parameters on gas transport capability were analyzed, including pressure, pore radius, fraction of organic nanopores, temperature, and gas concentration ratio. Additionally, contributions of different transport mechanisms were illustrated to show the sensitive ranges. The values of parameters used in the analysis are listed in Table 1.
Table 1.
Basic calculation parameters used in the analysis.
5.1. Pressure (p) and Pore Radius (r)
5.1.1. Effect of p and r on Two-Component Gas Apparent Permeability
The change of apparent permeability vs. pore radius under different pressures is shown in Figure 5. As it can be found from Figure 5, when the pore radius increases, the apparent permeability of CH4/CO2 increases. However, the permeability of CH4 and CO2 decreases when the pressure increases from 0.1 to 100 MPa. When the pressure is 0.1 MPa, the apparent permeability of CH4 is higher than the apparent permeability of CO2. It should be noted that the gas concentration ratio of CH4/CO2 is 3:7 in the analysis. This process indicates that a part of methane has been recovered. More carbon dioxide has been adsorbed on the surface of the pore wall which reduces the apparent permeability of carbon dioxide.
Figure 5.
(a,b) Effect of pressure and pore radius on the gas permeability. The temperature is 345 K. The mole ratio of CH4 vs. CO2 is 3:7. Additionally, the fraction of organic nanopores is 40%.
5.1.2. Effect of p and r on Permeability Ratio
In order to more clearly characterize the contribution of each component gas to the total gas flux, the term permeability ratio (PR) is defined in this paper. The PR is the percent of the apparent permeability for each component in the total apparent permeability, which can be calculated using the following equations.
The change of PR vs. pore radius under different pressures is shown in Figure 6. As it can be found from Figure 6, with the increase of pressure and pore radius, the PR of methane is decreasing, while the PR of carbon dioxide is increasing (Figure 6). It indicates that the desorption capacity of methane decreases with pressure increasing and less free methane leads to the decrease of methane permeability. Additionally, it can be found that when the pressure is between 0.1 and 1 MPa, the permeability ratio of methane is more than 65% in the whole pore radius (2–100 nm). This denotes that more methane can be recovered. When the pressure is 5–20 MPa, the PR of methane is larger in a part of the pore radius. Within this pressure range, the recovery can be favorable for a specific pore radius range. Additionally, when the pressure is larger than 20 MPa, it can be found that PR of carbon dioxide is larger, which indicates that enhancing recovery in shale gas reservoirs is unfavorable in this situation.
Figure 6.
(a–f) Change of permeability ratio vs. pore radius and pressure. The temperature is 345 K. The mole ratio of CH4 vs. CO2 is 3:7. Additionally, the fraction of organic nanopores is 40%.
5.1.3. Contribution of Various Gas Mechanisms with p and r Changing
It can be found from Figure 6 that PR of methane and carbon dioxide is changing with the pore radius. However, it is hard to analyze the reason why a different phenomenon exists: PR of methane is decreasing with pore radius and PR of carbon dioxide is increasing with pore radius. Therefore, a clear understanding regarding the contribution of each transport mechanism is required to illustrate such phenomenon. The contribution of each flow mechanism to the flow of methane and carbon dioxide is shown in Figure 7, Figure 8, Figure 9, Figure 10 and Figure 11. The mechanisms include Knudsen diffusion, surface diffusion, molecular diffusion, slip flow, and viscous flow. , , , , and are used to express the contribution of Knudsen diffusion, surface diffusion, molecular diffusion, viscous flow and slip flow to the total gas permeability, which are listed in Equation (40). The related parameters can be found from Equations (37) and (38):
Figure 7.
(a,b) Contribution of Knudsen diffusion to the gas permeability vs. pore radius.
Figure 8.
(a,b) Contribution of surface diffusion to the gas permeability vs. pore radius.
Figure 9.
(a,b) Contribution of slip flow to the gas permeability vs. pore radius.
Figure 10.
(a,b) Contribution of molecular diffusion to the gas permeability vs. pore radius.
Figure 11.
(a,b) Contribution of viscous flow to the gas permeability vs. pore radius.
The contribution of Knudsen diffusion to the permeability () for methane and carbon dioxide is shown in Figure 7. As it can be found in Figure 7, the contribution of Knudsen diffusion increases initially, and then decreases with the pore radius. As the pressure increases, the peaks of the curves are closer to the y axis (Figure 7). Additionally, it can be found in Figure 7b that when the pressure is from 1 to 20 MPa, the apparent permeability of methane caused by Knudsen diffusion takes the dominant position in mesopores (2–50 nm). However, when the pressure is from 5 to 20 MPa, the apparent permeability of carbon dioxide caused by Knudsen diffusion is dominant in pores of radius 2–15 nm (Figure 7a). The main reason is that when the shale pores are close to the molecular mean free path, the collision probability of gas molecules with the pore wall is much higher than that of other collision types. Therefore, Knudsen diffusion is the main gas transport mechanism.
The contribution of surface diffusion to the permeability () for methane and carbon dioxide is shown in Figure 8. It can be found that the contribution of surface diffusion decreases with the increases of pore radius. γs is a maximum of 5.68% under high pressure (Figure 8). Surface diffusion is caused by gas molecules adsorbed on the surface of pore wall, which moves along the pore wall. The apparent permeability caused by surface diffusion is lower in macropores (˃50 nm). This is caused by the close distribution of gas molecules on the pore wall, which enables the gas molecules to move slowly on the pore wall. The contribution of slip flow to the permeability () has almost no change with the pore radius under pressure of 0.1–20 MPa (Figure 9). Thus, the gas transport mechanism can be ignored in this pressure range.
The contribution of molecular diffusion to the permeability () for methane and carbon dioxide is shown in Figure 10. As it can be found from Figure 10, the contribution of molecular diffusion decreases with the increase of pore radius, and the effect of pore radius is more obvious under low pressure (Figure 10). On the contrary, the contribution of viscous flow to the permeability () increases with the increase of pore radius. As the pressure decreases, the effect of the pore radius becomes more weakened (Figure 11). When the pressure is 0.1 MPa, the gas transport caused by molecular diffusion in two-component gas takes the dominate position in pores of radius 2–25 nm, and the weight is up to 88.83% (Figure 10). Under the same condition, the contribution of viscous flow is almost neglected (Figure 11). Therefore, the collision is mostly between methane and carbon dioxide molecules in atmospheric pressure. The contribution of molecular diffusion to the permeability is lower than 1.41% under high pressure and in macropores (Figure 10), which means that this transport mechanism can be ignored.
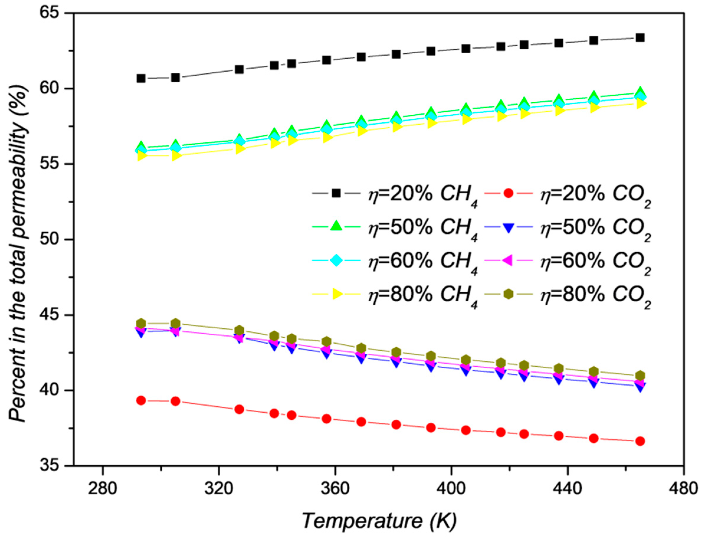
5.2. Effect of Temperature and Fraction of Organic Nanopores
As it can be found from Equation (38), the temperature (T) and fraction of organic nanopores () also affect the two-component gas permeability. The collision integrals () of two-component gas vary with temperatures. Due to high computational cost, complex analysis, and so on, the collision integrals are usually obtained from the published table rather than by calculation. Figure 12 shows the collision integral of CH4-CO2 molecules at different temperatures [39]. By using the and , the effect of temperature and organic nanopore fraction on the gas permeability can be analyzed.
Figure 12.
Collision integration of CH4-CO2 gas molecules at different temperatures.
As it can be found from Figure 13, the apparent permeability of two-component gas increases with the increase of temperature. The slope of curve is larger when the fraction of organic nanopores increases. Additionally, the effect of temperature on the apparent permeability is greater as the fraction of organic nanopores increases (Figure 13). This means that the effect of temperature on the permeability of two-component gas is more obvious in shales of organic-rich pores. The gas is mainly adsorbed in organic pores [8]. Under the same conditions, there will be more adsorption sites for gas adsorption if the fraction of organic nanopores increases. When the temperature increases, more gas can be desorbed and permeability can be increased. In addition, the effect of temperature and organic nanopore fraction on permeability ratio (PR) of methane and carbon dioxide was analyzed, which is shown in Figure 14. It can be found that the PR of methane increases with temperature and the PR of carbon dioxide decreases with temperature. This indicates that with temperature increasing, the selective adsorption becomes more obvious. More methane is desorbed from the surface of the nanopores and more carbon dioxide is adsorbed on the surface of the nanopores (Figure 14). The gas recovery will be enhanced in shale gas reservoirs.
Figure 13.
(a,b) Change of gas permeability with different organic nanopore fraction and temperature. Pressure is 1 MPa; pore radius is 25 nm; and the component ratio (yCH4:yCO2) is 7:3.
Figure 14.
Change of permeability ratio with different organic nanopore faction and temperature. Pressure is 1 MPa, pore radius is 25 nm, and the component ratio (yCH4:yCO2) is 7:3.
5.3. Effect of Gas Concentration
During the dynamic flooding process in CO2-EGR, the concentration ratio of methane to carbon dioxide is changing with time. Therefore, it is necessary to understand the effect of gas concentration ratio on the gas permeability. The permeability curve of two-component gas under different gas concentration ratios is shown in Figure 15. As it can be found from Figure 15a, the apparent permeability of carbon dioxide continuously decreases with the increase of yCO2. When yCO2 increases from 10% to 30% especially, the apparent permeability of carbon dioxide decreases sharply. However, the concentration of carbon dioxide continues to increase, and the decrease of apparent permeability is not obvious. The apparent permeability of methane continues to increase with the decreasing concentration of methane. However, when yCH4 decreases from 90% to 50%, the apparent permeability of methane does not increase significantly. The apparent permeability of methane increases significantly when yCH4 decreases continuously from 50% to 10%. This also reflects the process of injecting carbon dioxide to displace CH4, in which the concentration of carbon dioxide is increasing and the concentration of methane is decreasing. The permeability of carbon dioxide is becoming lower and the permeability of methane is becoming higher.
Figure 15.
(a,b) Permeability curve of two-component gas under different gas concentration ratios. The pressure is 1 MPa, the temperature is 345 K, and the faction of nanopores is 40%.
The permeability ratio (PR) of methane and carbon dioxide under different concentration ratios is plotted in Figure 16. Initially, the ratio of two-component gas concentration (yCH4:yCO2) is 9:1 and 8:2. At this time, the carbon dioxide has just entered the shale matrix, and methane is rarely desorbed from the pore surface. Thus, the apparent permeability ratio of carbon dioxide is higher under these conditions. However, when yCH4:yCO2 = 7:3, the permeability ratio of CH4 is higher than 50%. This indicates that the apparent permeability of methane is more than that of carbon dioxide. When methane continuously desorbs, the carbon dioxide is adsorbed on the surface of pore wall which leads to the decrease of carbon dioxide permeability. The permeability ratio of methane gradually increases with the decrease of gas concentration. It expresses that more methane adsorbed on the pore surface is produced. Therefore, it can be predicted that more methane can be produced with the gas concentration ratio decreasing continuously. This also shows that carbon dioxide injection is a feasible method to enhance gas recovery in shale gas reservoirs.
Figure 16.
(a–f) Two-component gas permeability ratio under different gas concentration ratios. The pressure is 1 MPa, the temperature is 345 K, and the faction of nanopores is 40%.
6. Conclusions
In this work, the two-component gas transport model for CO2-EGR was constructed. The inorganic and organic nanopores in the shale matrix were assumed to be circular tube and slits, respectively. Various gas transport mechanisms were considered, such as Knudsen diffusion, molecular diffusion, viscous flow, surface diffusion, and slip flow. The apparent permeability models of the two-component gas were established. The main conclusions of this study are as follows:
(1) The apparent permeability of two-component gas is negatively correlated with pressure, and positively related with pore radius, temperature, organic nanopore fraction. As the gas concentration ratio (yCH4:yCO2) decreases, the apparent permeability of CH4 increases continuously, while the apparent permeability of CO2 decreases.
(2) The contributions of various mechanisms are revealed for total apparent permeability in shale. (a) As the pore radius increases, the apparent permeability due to Knudsen diffusion increases initially, followed by a decrease under low pressure. The peak of the curve is closer to the y axis with pressure increasing. The apparent permeability due to Knudsen diffusion decreases with pore radius increasing under high pressure. (b) Surface diffusion contributes up to 5.68% to gas transport under high pressure. (c) Molecular diffusion contributes significantly to gas transport, up to 88.83% under low pressure and in mesopores. The contribution of molecular diffusion to gas transport is less than 1.41% under high pressure and in macropores, which can be ignored. (d) The contribution of the slip flow is very small under low pressure, which almost closes to zero. (e) For two-component gas, the contribution of viscous flow is more than 46.36% to the gas transport under high pressure and in macropores, and the highest can reach 86.07%. The contribution of viscous flow is less than 14.6% for methane under low pressure. However, when pressure is only 0.1 MPa, the contribution of viscous flow is less than 14.12% to gas transport for carbon dioxide.
(3) The influencing factors of the permeability ratio (PR) were analyzed for two-component gas. The PR of methane decreases with pressure increasing. As the fraction of organic nanopores increases, the PR of methane does not change significantly. The PR of methane decreases slightly when the fraction of organic nanopores increases from 20% to 50%. The PR of methane increases with the decrease of methane concentration. For the carbon dioxide, the change of PR with various influencing factors is opposite compared with methane.
Author Contributions
Conceptualization, C.G. and R.L.; methodology, C.G.; validation, R.L., X.W., and H.L.; formal analysis, R.L.; investigation, C.G. and R.L.; writing, R.L.; review and editing, C.G.; project administration, C.G. All authors have read and agreed to the published version of the manuscript.
Funding
This research was funded by National Natural Science Foundation of China: No. 51704265, No. 51504146, the Outstanding Talent Development Project of China University of Geosciences (CUG20170614); and the Fundamental Research Foundation for National University, China University of Geosciences (Wuhan) (1810491A07).
Acknowledgments
The authors acknowledge supports from National Natural Science Foundation of China: No. 51704265 (Research on two component gas diffusion-convection model in enhancing shale gas recovery with CO2 injection PI: Chaohua Guo); No. 51504146 (PI: Xin Wang); the Outstanding Talent Development Project of China University of Geosciences (CUG20170614); and the Fundamental Research Founds for National University, China University of Geosciences (Wuhan) (1810491A07).
Conflicts of Interest
The authors declare no conflict of interest.
References
- Guo, C.; Liu, H.; Xu, L.; Zhou, Q. An improved transport model of shale gas considering three-phase adsorption mechanism in nanopores. J. Pet. Sci. Eng. 2019, 182, 106291. [Google Scholar] [CrossRef]
- Boyer, C.; Kieschnick, J.; Suarez-Rivera, R. Producing gas from its source. Oilfield Rev. 2006, 18, 36–49. [Google Scholar]
- Jung, C.; Zhou, J.; Chenevert, M.; Sharma, M.M. The impact of shale preservation on the petrophysical properties of organic-rich shales. In Proceedings of the SPE Annual Technical Conference and Exhibition, SEP 20-OCT 2, New Orleans, LA, USA, 30 September–2 October 2013. [Google Scholar]
- Hu, Y.; Devegowda, D.; Striolo, A.; Phan, A.; Ho, T.A.; Civan, F.; Sigal, R.F. Microscopic dynamics of water and hydrocarbon in shale-kerogen pores of potentially mixed-wettability. Paper Presented at SPE Unconventional Resources Conference, Calgary, AB, Canada, 5–7 November 2013. [Google Scholar]
- Li, J.; Li, X.; Wu, K. Thickness and stability of water film confined inside nanoslits and nanocapillaries of shale and clay. Int. J. Coal Geol. 2017, 179, 253–268. [Google Scholar] [CrossRef]
- Korb, J.; Nicot, B.; Louis-Joseph, A. Dynamics and wettability of oil and water in oil shales. J. Phys. Chem. C 2014, 118, 23212–23218. [Google Scholar] [CrossRef]
- Jin, Z.; Firoozabadi, A. Effect of water on methane and carbon dioxide sorption in clay minerals by Monte Carlo simulations. Fluid Phase Equilibria 2014, 382, 10–20. [Google Scholar] [CrossRef]
- Wang, Y.; Zhu, Y.; Liu, S. Pore characterization and its impact on methane adsorption capacity for organic-rich marine shales. Fuel 2016, 181, 227–237. [Google Scholar] [CrossRef]
- Wang, J.; Luo, H.; Cao, F. An integrative model to simulate gas transport and production coupled with gas adsorption, non-Darcy flow, surface diffusion, and stress dependence in organic-shale reservoirs. SPE J. 2017, 22, 244–264. [Google Scholar] [CrossRef]
- Feng, Q.; Xu, S.; Wang, S. Apparent permeability model for shale oil with multiple mechanisms. J. Pet. Sci. Eng. 2019, 175, 814–827. [Google Scholar] [CrossRef]
- Song, W.; Yao, J.; Ma, J.; Couples, G.; Li, Y. Assessing relative contributions of transport mechanisms and real gas properties to gas flow in nanoscale organic pores in shales by pore network modelling. Int. J. Heat Mass Transf. 2017, 113, 524–537. [Google Scholar] [CrossRef]
- Cai, J.; Lin, D.; Singh, H.; Zhou, S.; Meng, Q.; Zhang, Q. A simple permeability model for shale gas and key insights on relative importance of various transport mechanisms. Fuel 2019, 252, 210–219. [Google Scholar] [CrossRef]
- Singh, H.; Javadpour, F.; Ettehadtavakkol, A. Nonempirical Apparent Permeability of Shale. SPE Reserv. Eval. Eng. 2014, 17, 414–424. [Google Scholar] [CrossRef]
- Wu, K.; Chen, Z.; Li, X.; Guo, C.; Wei, M. A model for multiple transport mechanisms through nanopores of shale gas reservoirs with real gas effect–adsorption-mechanic coupling. Int. J. Heat Mass Transf. 2016, 93, 408–426. [Google Scholar] [CrossRef]
- Javadpour, F. Nanopores and apparent permeability of gas flow in mudrocks (shales and siltstone). J. Can. Pet. Technol. 2009, 48, 16–21. [Google Scholar] [CrossRef]
- Darabi, H.; Ettenhad, A.; Javadpour, F. Gas flow in ultra-tight shale strata. J. Fluid Mech. 2012, 710, 641–658. [Google Scholar] [CrossRef]
- Zhang, Y.; Li, D.; Sun, X.; Shi, D.; Su, Y. A new model for calculating the apparent permeability of shale gas in the real state. Nat. Gas Ind. B 2018, 5, 245–252. [Google Scholar] [CrossRef]
- Xu, S.; Feng, Q.; Wang, S.; Li, Y. A 3D multi-mechanistic model for predicting shale gas permeability. J. Nat. Gas Sci. Eng. 2019, 68, 102913. [Google Scholar] [CrossRef]
- Li, Z.; Elsworth, D. Controls of CO2–N2 gas flood ratios on enhanced shale gas recovery and ultimate CO2 sequestration. J. Pet. Sci. Eng. 2019, 179, 1037–1045. [Google Scholar] [CrossRef]
- Fathi, E.; Akkutlu, I. Multi-component gas transport and adsorption effects during CO2 injection and enhanced shale gas recovery. Int. J. Coal Geol. 2014, 123, 52–61. [Google Scholar] [CrossRef]
- Kang, S.; Fathi, E.; Ambrose, R.; Akkutlu, I.Y.; Sigal, R.F. Carbon dioxide storage capacity of organic-rich shales. SPE J. 2011, 16, 842–855. [Google Scholar] [CrossRef]
- Sun, H.; Yao, J.; Gao, S.H.; Fan, D.Y.; Wang, C.C.; Sun, Z.X. Numerical study of CO2 enhanced natural gas recovery and sequestration in shale gas reservoirs. Int. J. Greenh. Gas Control 2013, 19, 406–419. [Google Scholar] [CrossRef]
- Afsharpoor, A.; Javadpour, F. Liquid slip flow in a network of shale noncircular nanopores. Fuel 2016, 180, 580–590. [Google Scholar] [CrossRef]
- Ji, L.; Lin, M.; Jiang, W.; Cao, G.; Zhou, J.; Luo, C. Investigation into the apparent permeability and gas-bearing property in typical organic pores in shale rocks. Mar. Pet. Geol. 2019, 110, 871–885. [Google Scholar] [CrossRef]
- Chen, M.; Kang, Y.; Li, X.; Wang, W.; Yang, B.; Liu, H. Investigation of multi-scale gas transport behavior in organic-rich shale. J. Nat. Gas Sci. Eng. 2016, 36, 1188–1198. [Google Scholar] [CrossRef]
- Li, J.; Li, X.; Wang, X.; Li, Y.; Wu, K.; Shi, J.; Yu, P. Water distribution characteristic and effect on methane adsorption capacity in shale clay. Int. J. Coal Geol. 2016, 159, 135–154. [Google Scholar] [CrossRef]
- Aylmore, L.; Quirk, J. The micropore size distributions of clay mineral systems. Eur. J. Soil Sci. 1967, 18, 1–17. [Google Scholar] [CrossRef]
- Javadpour, F.; Fisher, D.; Unsworth, M. Nanoscale gas flow in shale gas Sediments. J. Can. Pet. Technol. 2007, 46, 55–61. [Google Scholar] [CrossRef]
- Florence, F.; Rushing, J.; Newsham, K.; Blasingame, T.A. Improved permeability prediction relations for low permeability sands. Paper Presented at SPE Rocky Mt. Oil Gas Technol. Symp., Denver, CO, USA, 16–18 April 2007. [Google Scholar]
- Wu, K.; Li, X.; Wang, C.; Yu, W.; Chen, Z. Model for surface diffusion of adsorbed gas in nanopores of shale gas reservoirs. Ind. Eng. Chem. Res. 2015, 54, 3225–3236. [Google Scholar] [CrossRef]
- Chen, Y.; Yang, R. Concentration dependence of surface diffusion and zeolitic diffusion. Aiche J. 1991, 37, 1579–1582. [Google Scholar] [CrossRef]
- Wu, K.; Li, X.; Wang, C.; Chen, Z.; Yu, W. A model for gas transport in microfractures of shale and tight gas reservoirs. Aiche J. 2015, 61, 2079–2088. [Google Scholar] [CrossRef]
- Milliken, K.; Rudnicki, M.; Awwiller, D.; Zhang, T. Organic matter-hosted pore system, Marcellus Formation (Devonian), Pennsylvania. AAPG Bull. 2013, 97, 177–200. [Google Scholar] [CrossRef]
- Civan, F.; Rai, C.; Sondergeld, C. Shale-gas permeability and diffusivity inferred by improved formulation of relevant retention and transport mechanisms. Transp. Porous Media 2011, 86, 925–944. [Google Scholar] [CrossRef]
- Song, W.; Yao, J.; Li, Y.; Sun, H.; Zhang, L.; Yang, Y.; Sui, H. Apparent gas permeability in an organic-rich shale reservoir. Fuel 2016, 181, 973–984. [Google Scholar] [CrossRef]
- Wu, K.; Chen, Z.; Li, X.; Xu, J.; Li, J.; Wang, K.; Dong, X. Flow behavior of gas confined in nanoporous shale at high pressure: Real gas effect. Fuel 2017, 205, 173–183. [Google Scholar] [CrossRef]
- Feng, C. Effects of CO2 and CH4 mixture binary gas on permeability of shale. J. Hunan Univ. Sci. Technol. 2017, 32, 1–5. [Google Scholar]
- Erfan, M.; Hassan, H.; Chen, Z. Estimation of shale apparent permeability for multimechanistic, multicomponent gas production using rate transient analysis. Energy Fuels 2019, 33, 1990–1997. [Google Scholar]
- Cussler, E. Diffusion: Mass Fransfer in Fluid Systems, 3rd ed.; Cambridge University Press: Cambridge, UK, 1997; pp. 117–160. [Google Scholar]
© 2020 by the authors. Licensee MDPI, Basel, Switzerland. This article is an open access article distributed under the terms and conditions of the Creative Commons Attribution (CC BY) license (http://creativecommons.org/licenses/by/4.0/).















