Next Article in Journal
Surrogate Model with a Deep Neural Network to Evaluate Gas–Liquid Flow in a Horizontal Pipe
Next Article in Special Issue
The Effect of the NaCl Bulk Concentration on the Resistance of Ion Exchange Membranes—Measuring and Modeling
Previous Article in Journal
Renewable Energy and EU 2020 Target for Energy Efficiency in the Czech Republic and Slovakia
Previous Article in Special Issue
Prospects for Anion-Exchange Membranes in Alkali Metal–Air Batteries
 
 
Font Type:
Arial Georgia Verdana
Font Size:
Aa Aa Aa
Line Spacing:
Column Width:
Background:
Article

Turbine Characteristics of Wave Energy Conversion Device for Extraction Power Using Breaking Waves

Okinawa Institute of Science and Technology Graduate University, 1919-1 Tancha, Onna-son, Okinawa 904-0495, Japan
*
Author to whom correspondence should be addressed.
Energies 2020, 13(4), 966; https://doi.org/10.3390/en13040966
Submission received: 12 November 2019 / Revised: 7 February 2020 / Accepted: 7 February 2020 / Published: 21 February 2020
(This article belongs to the Special Issue Blue Energy)

Abstract

A new type of wave energy converter which harnesses electricity from onshore breaking waves has been studied at Okinawa Institute of Science and Technology Graduate University (OIST) since 2014. This concept has been demonstrated at a coral beach on the Maldives since 2018. Wave energy conversion is possible when waves approaching the shore steepen due to decreased water depth resulting in wave breaks near the surface. A steepened wave reaches the critical velocity of 4~6 m/sec shoreward before it breaks. A rotating blade takes advantage of this breaking phenomenon to convert the wave energy into electricity. The work presented here includes an experimental and numerical investigation of a prototype model of the wave energy converter. The turbine having five blades of variable chord lengths, twist angles, and constant thickness profile from hub to tip was simulated under similar flow as well as testing conditions, to predict the turbine performance. A commercial computational fluid dynamic tool SolidWorks Flow Simulation 2018 was used for the simulations at various rotation speeds with a uniform inlet velocity. The modified k-ε with a two-scale wall function turbulence closure model was selected. The validation performed for different test cases showed that the present computational results match in good agreement with the experimental results. Additionally, details performance of the turbine running, and generator characteristics have been reported in this paper.

1. Introduction

The ocean waves hold a vast amount of energy and represent viable solution to solve our ever-growing energy demand. Although its easy availability, immature energy extraction technology restricts the commercialization of wave energy converters (WEC) [1]. Several authors have been proposed various types of design and investigated for wave energy conversion devices [2,3,4]. One of the most observed wave energy converters types is Oscillating Water Column (OWC) type WEC [2,5]. This device utilized a water column trapped inside a chamber with the bottom still connected into the ocean. As the wave passes, the water column moves up and down, forcing the air out and into the chamber via a power take-off mechanism. This power take-off mechanism consists of a unique bi-directional turbine that will rotate in the same direction even if the airflow comes from the top or the bottom section of the turbine. Over the years, many iterations of this state-of-the-art turbine have been made. This became a valuable lesson in turbine design and optimization processes.
Table 1 provides the list of design modifications of most popular bi-directional turbines, Wells and impulse turbines, used in an OWC type WEC and their outcome on performance. Earlier literature revealed that various efforts have been made and methods have been proposed to increase the performance of Wells and impulse turbines. Similar investigations have revealed that modifications of design parameters such as blade sweep, shape, variable pitch angle, blade solidity, end-wall, guide vane, bi-plane, the skew blade can certainly improve the performance of the turbine.
All of the improvements were good news for the device efficiency. However, none of the authors reported how much energy can be extracted from the ocean breaking wave. Imagining that the density of water is 1000 times higher than air, we may obtain better power output if we extracted energy directly from the seawater. This idea led to the first novel concept and design procedure of harnessing energy from the ocean breaking wave, which explained in [29]. He investigated the water velocity at the seashore breaking wave zone and performed the first experimental tests of such a wave energy converter (WEC) in June 2015. This experiment continued to a real sea deployment testing which reported in [30,31,32,33]. It is observed that the maximum peak power obtained was about 400 W for an incoming wave velocity of 3.1 m/s.
In this paper, firstly a previously done experiment to validate the numerical data is presented in Section 2 (Experimental setup) and Section 3 (Experimental results). Next, the Reynolds-averaged Navier–Stokes Equations (RANS) solver was used for in the numerical simulation. The Advanced Boundary Cartesian Meshing technique was deployed for the entire geometry. A detailed geometry, solution procedure, analysis of the results, and characteristics of the turbine are discussed in Section 4 (Numerical methodology). The results of the numerical analysis will be compared with the experimental results and discussed in Section 5. Electricity generation characteristics will be presented in Section 6. Finally, the conclusions will be drawn in Section 7.

2. Experimental Setup

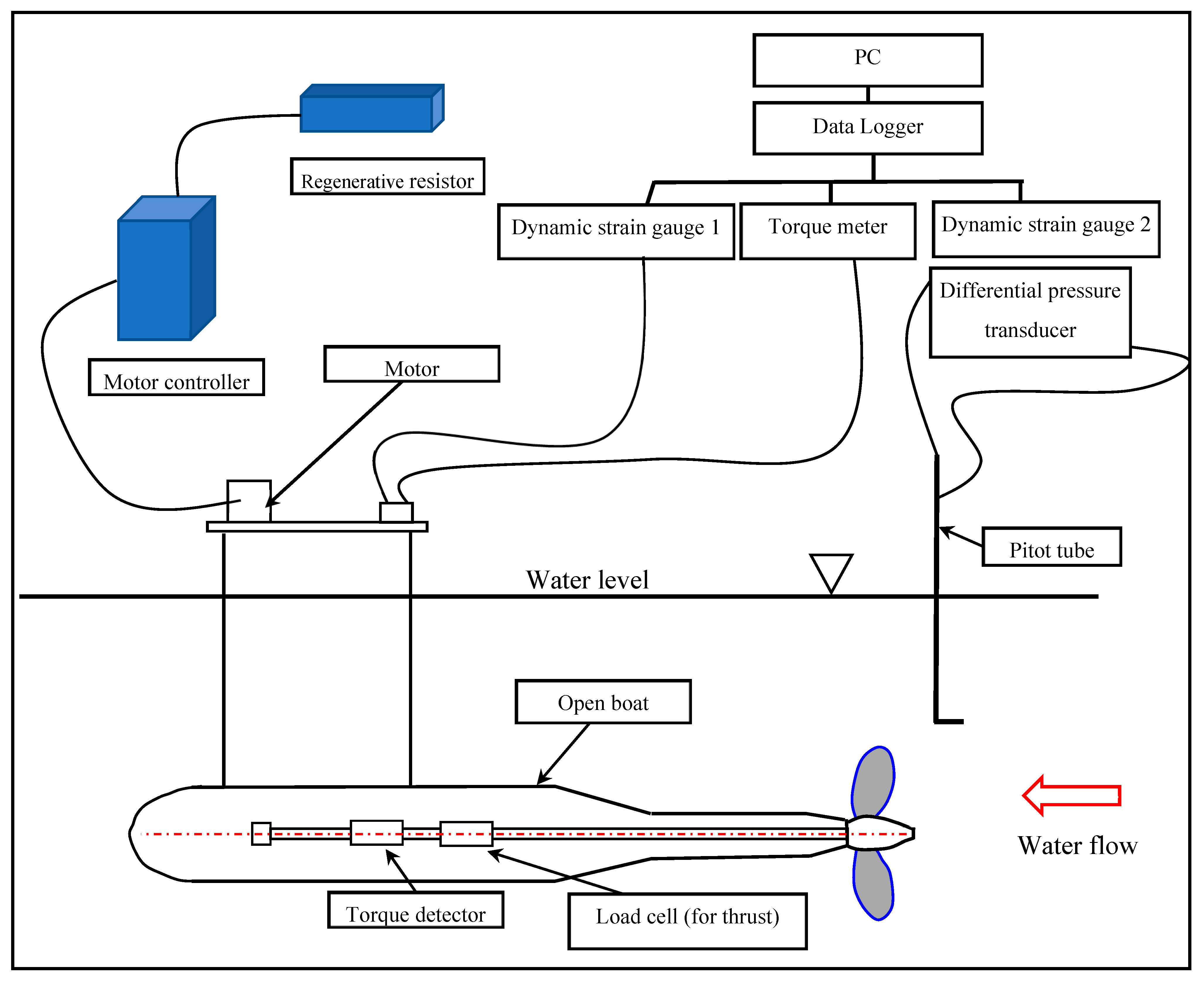
Figure 1 summarized a more detail schematic layout of the turbine testing using the water tunnel at West Japan Fluid Engineering Laboratory Co., Ltd as reported in [33]. The water tunnel is 1.5 m long, 1.25 m width and 6 m height. It consists of an open boat with a rotor blade, calibrated pitot tube, motor controller and a data logger including dynamic strain gauges, torque meter. The open boat is placed 0.46 m below the water surface. A torque transducer and a load cell are attached to a rotor shaft which connected to a motor and data logger. These sensors measure the torque, flow speed, and control blade rotational speed, respectively. A calibrated pitot tube is connected to the differential pressure transducer, which is set 1.0 m upwind of the rotor and 0.4 mm below the water surface, to calculate the velocity profile.

3. Experimental Results

The performance of the turbine is calculated by the rotational speed (ω), inlet velocity (V), the torque generated by the blade (T), and blade swept area (S). The results are articulated in the form of the power coefficient, Cp, and tip speed ratio (TSR). The non-dimensional performance parameters are given below:
Power   Coefficient ,   c p = T ω 1 2 ρ V 0 3 S
Tip   Speed   Ratio   ( T S R ) =   ω R V 0
The experimental test was carried out under steady conditions at a constant inlet velocity in the range of 1.0–3.0 m/s as mentioned in [33]. A wider range of inlet velocity effect on the turbine performance is shown in Figure 2 against a wider TSR. It is noticed that, as the inlet velocity increases, the peak Cp also increases, and the maximum power is obtained for TSR = 2.5 at velocity 1.50 m/s. Further increasing velocity, the peak power also increases. At velocity 2.50 m/s, the maximum power is almost the same as the velocity 1.50 m/s. Further increasing velocity, the peak power decreases which caused the adverse pressure gradient. In the present work, the optimum inlet velocity of 2.50 m/s is considered for the numerical study.

4. Numerical Methodology

The reference full-scale wave breaking turbine design and geometry were adopted based on the optimum design parameter [29]. The blade has a tip diameter (Dt) of 0.7 m, hub to tip ratio (Dh/Dt) of 0.214, a chord length (C), at hub and tip section based on TSR 2 and 4, respectively and a blade twist angle (θ), varies from hub to tip with constant tip speed ratio (TSR = 2) as shown in Figure 3 and Figure 4. The twist angle and chord length, C, are defined as:
Twist angle ,   θ = 2 R 3 λ r
Chord   length , C =   η C l   2 π r / Z [ 4 9 + ( λ r R ) 2 ]
Assume small angle of attack Cl = 0.3 and η = 0.3.
The turbine consists of five blades with constant blade thickness, t. The 2-D blade and 3-D Computer-Aided Design (CAD) model of the turbine are shown in Figure 5a,b, respectively.
The computational work was carried out by solving 3-D incompressible, steady Reynolds-averaged Navier–Stokes (RANS) equations, which were discretized based on finite volume approach. A Finite Volume Method (FVM) based commercial Computational Fluid Dynamics (CFD) solver SolidWorks Flow Simulation (SWFs), which includes the semi-implicit method for pressure linked equations (SIMPLE) algorithm was adopted. The modified κ-ε with two-scale wall function was used as the turbulence closure model with equations are as follows [34].
(i) Modified κ-ε Turbulence Model:
ρ k t + ρ k u i x i =   x i ( ( μ + μ i σ k ) k x i ) + τ   i j R   u i x j ρ ε +   μ i P B
ρ ε t + ρ ε u i x i =   x i ( ( μ + μ i σ ε ) ε x i ) + C ε 1 ε k ( f 1 τ i j R u i x j + C B μ t P B   ) f 2 C s 2 σ ε 2 k
τ i j = μ s i j ,   τ i j R =   μ t s i j 2 3 σ k δ i j ,   s i j = u i x j + u j x i   2 3 δ i j u k x k ,   P B = g i σ B 1 σ p x i
where
C μ = 0.09 ,   C ε 1 = 1.44 ,   C ε 2 = 1.92 ; σ k = 1 , σ ε = 1.3 ,   σ B = 0.9 , C B = 1   i f   P B   > 0 ,   C B = 0
i f   P B   < 0
The turbulent viscosity is defined as:
μ t = f n . C p ρ k 2 ε
Damping function fμ is obtained from Lam and Bremhorst’s functions:
f μ = ( 1 e 0.025 R y ) 2 . ( 1 + 20.5 R t )
where
R y = ρ k y μ ; R t = ρ k 2 μ ε
and y is the distance from a point to the Wall and Lam.
f1 and f2 are Bremhorst’s damping function which evaluated from:
f 1 = ( 1 + 0.05 f μ ) ;     f 2 = 1 e R t 2
Damping function f, f1, and f2 which decrease turbulent viscosity and turbulent energy and increase the turbulent dissipation rate when the Reynolds number Ry based on the average velocity of fluctuations and distance from wall becomes too small, when fμ= 1, f1 = 1 and f2 = 1 the approach obtains the original k-ε model.
(ii) Two scale wall function
The two-scale wall functions incorporate the modified k−ε turbulence model. The SWFS is used for computational mesh in immersed boundary non-body fitted cartesian meshing technique, which is required near the wall distance very small, y+ [34]:
y + = ρ τ w y μ
The solutions were converged when the maximum goal values were in the order of 5 for the selected output parameters. The inlet turbulence intensity was kept at 2%, and the solution was iterated until the maximum goal was achieved.
The blade geometry closer to the physical model has been considered, see Figure 6. No-slip boundary condition was applied at the hub and rotor blade, and a local averaging rotating domain with variable angular velocity was applied. A constant velocity profile was adopted at the inlet. Table 2 represents the details of boundary conditions used in the present analysis.
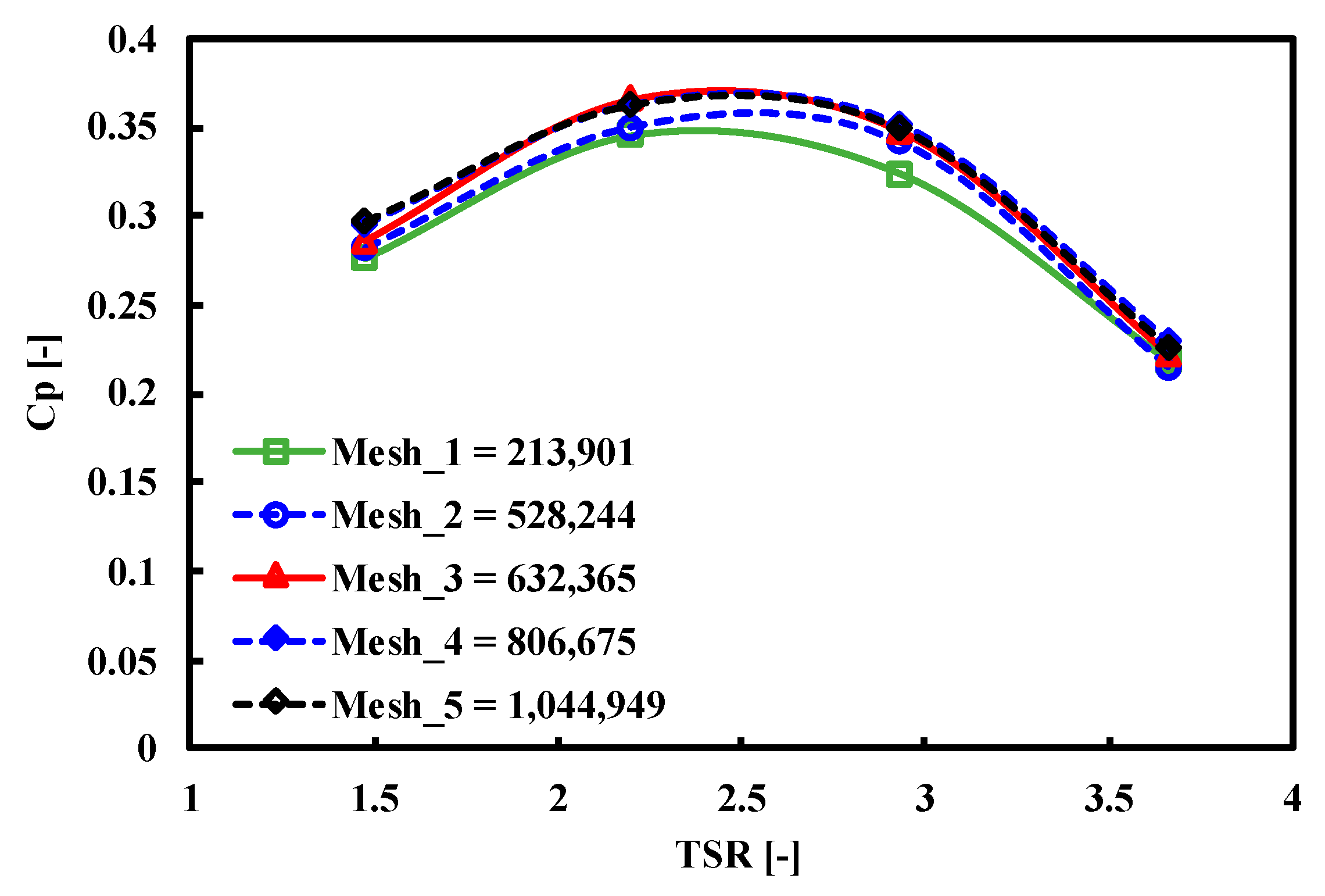
Figure 7 displays the mesh, which generated in SolidWorks Flow Simulation (SWFs), used in the computational domain. The Advanced Boundary Cartesian Meshing Technique was applied over the entire computational domain. The dense mesh was applied near the rotating region to capture the flow behavior near the blade region. The number of mesh was gradually increased in five steps from 210,901 to 1,044,949 nodes to check the grid-convergence, as shown in Figure 8. Here, a maximum deviation of 1.1% in the coefficient of power is obtained. Figure 8 also shows that the optimum number of mesh is about 0.63 million nodes.
Finally, eight partitions in the Dell Precision, with cluster specifications of Intel® Xeon ® CPU E3-1505M v6 @ 3.00 GHz processor was used to carry out the simulation.

5. Results and Discussion

Numerical Validation

Present computational results are then compared with the experimental results shown in Figure 9. The turbine performance is obtained by plotting the coefficient of power against the TSR. It can be observed that the CFD results slightly over the experimental results, with the exception of TSR = 3.5, where the experimental measurement results are higher than the numerical simulation. The average deviation between the CFD and experimental results is about 4.5%.
Figure 10a–c displays the streamline distribution on the blade pressure side for a wider TSR. The red dotted line indicates the separation on the blade PS. For low TSR (=1), the flow separates at the LE near the hub surface. However, as velocity increases, the separation line moves towards the LE to TE due to the increased angle of attack (AOA). At higher TSR (=4), the flow has separated more than 90% of the blade surface which most likely implies a post-stall condition.
Figure 11 and Figure 12 illustrate the variation of the pressure contour at different TSR on the blade pressure side and suction side. At low TSR (=1.0), the higher-pressure region is observed near the blade leading edge on the blade pressure side (Figure 11a). The results indicated that the higher-pressure region increases with increasing in TSR and shifts towards the leading edge to trailing edge on the blade pressure side. At higher TSR (=4), the low-pressure region is noticed near the hub surface at leading-edge which implies the recirculation (Figure 11c). On the other side, the low-pressure region is observed on the blade suction side near the leading edge and along with the increase in TSR, the low-pressure region is also increasing (Figure 12).
Figure 13 illustrates the pressure contours at the mid-span of the flow passage at various TSR. It can be seen that the higher-pressure region moves from LE towards the TE of the blade at higher TSR. At TSR = 1.0, the higher-pressure region covers almost 95% of the blade pressure side while the low-pressure region is found only at the blade leading edge of the blade suction side (SS). The higher-pressure region moves from the LE towards the TE of the blade at higher TSR. At TSR = 2.5, a maximum-pressure region covers more than 40% of the pressure side with mostly located around the middle (Figure 13b). This may imply maximum performance conditions. Further increase in TSR makes the maximum pressure region moves towards the TE of the blade and the low-pressure region developed near the leading edge of the blade’s pressure side because the stagnation point moves towards the blade suction side.
The turbine is designed to operate in a wide range of TSR due to various angles of attack of the blade leading edge (LE). As the flow travels along the blade’s leading edge, it may separate if the inlet velocity or angle of attack is high. Figure 14a shows that the angle difference between axial flow (Va) and relative flow (Vr) is small. This indicates that the flow is attached to the blade’s pressure side (PS). With an increase in inlet velocity, the angle between inlet flow and relative flow should also increase, which indicates that the stagnation point should move towards the blade suction side (SS) (as described in Figure 13) and flow separates. At TSR = 4, it is observed that the recirculation region found on the leading edge of the blade’s PS.

6. Generator and Turbine Running Characteristics

Figure 15 and Figure 16 show the distribution of output power and drag force at various RPM, for a range of TSR from 0.5 to 4. It can be observed that for a given velocity, the blade torque at zero is directly proportional to the rotational speed. On the other side, with an increase in rpm, the drag force increases for given inlet velocity as inferred in Figure 16.
Measured mechanical load input and electrical load output distribution against different RPM, for impedance range of 4.7–34.9 Ω, are shown in Figure 17 and Figure 18. For a given voltage, the low and high impedance implies low and high resistance, respectively. It is noticed that the mechanical and electrical power output decrease with an increase in impedance for a given voltage. On the other side, the electrical power out is slightly low as compared to the mechanical power input due to transmission loss. Subsequently, two different impedances of 4.7 Ω and 34.9 Ω are adopted for further studies. By incorporating these two impedances in Figure 15, the unique correlation between generator and turbine performance can be retrieved. The results are plotted in a dimensional form in Figure 19. It is important to be noted that the obtained correlation here is only as a function of impedance and independent of power output, drag force, rotational velocity, and blade torque.
Figure 20a,b show the power output for mechanical and electrical load against the inlet velocity for the mechanical load and electrical load, respectively. It can be observed that both mechanical and electrical loads results show a higher power achieved with lower impedance (4.7 Ω) compared to the higher impedance (34.9 Ω) at velocity > 4.0 m/s. Below 4.0 m/s, on the other hand, both yield similar results in power. Furthermore, the rotational speed is much higher for higher impedance as shown in Figure 21. The drag force, however, is almost the same for both impedances for a given inlet flow as demonstrated in Figure 22. On the other hand, the torque is much higher for lower impedance than higher impedance as shown in Figure 23. This may be caused by the low resistance of the lower impedance.
Table 3, Table 4 and Table 5 show output parameters for a mechanical load of 4.7 Ω, 34.9 Ω, and electrical impedance of both, respectively. From this table, the turbine output and electrical output for a given input condition can be obtained. For example, the electrical load output is 34.9 Ω, and the power output is 3200 W or 3.2 kW for a corresponding generator rotational speed of 550 rpm. Therefore, for a given rpm and electrical load output, we can evaluate the turbine power, drag force, incoming water velocity and blade torque for the corresponding machinal load.

7. Conclusions

The performance of a wave energy conversion device has been investigated by an experimental model and numerical simulation. The numerical analysis has been investigated by solving the steady, incompressible RANS equations with a modified κ-ε with a two-scale wall function turbulence closure model. The results have been compared with those of wave energy devices. The main conclusion obtained are outlined as follows:
  • It is observed that the maximum Cp is 0.38 at TSR 2.5.
  • The separation line moves from leading edge to trailing edge when increase in the TSR is noticed.
  • It can be seen that impedance is a critical factor in determining the turbine starting characteristics.
  • It is noticed that drag force increases with increase in inlet velocity.
  • The running characteristics of the turbine are controlled by wave frequency and incoming velocity.
  • Turbine output performance characteristics have been presented in Table 3, Table 4 and Table 5 so that for a given impedance and RPM, the power output can be estimated.
  • It is recommended to investigate the effect of blade shape along with twist angle and chord length on the performance would be a future study.

Author Contributions

Conceptualization, T.S.; methodology, P.H.; software, P.H.; validation, P.H.; formal analysis, P.H.; investigation, P.H.; resources, H.T., J.F. and S.M.; data curation, P.H.; writing—original draft preparation, P.H.; writing—review and editing, K.P., H.T. and T.S; supervision, T.S.; All authors have read and agreed to the published version of the manuscript.

Funding

This work was supported by funding from the Okinawa Institute of Science and Technology Graduate University (OIST), the OIST R&D Cluster Research Program, the OIST Proof of Concept (POC) Program, and Kokyo Tatemono Co. Ltd Research Trust fund for Ocean Energy Project.

Acknowledgments

The authors would like to thank members of the Quantum Wave Microscopy Unit at OIST for their support in this work.

Conflicts of Interest

The authors declare no conflict of interest.

Nomenclature

AbbreviationDefinition
AOAAngle of attack
CADComputer-aided design
CFDComputational fluid dynamics
FVMFinite volume method
LELeading edge
OISTOkinawa Institute of Science and Technology Graduate University
PSPressure side
RBRotor blade
RPMRevolution per minute
RANSReynolds-averaged Navier–Stokes equations
SIMPLESemi-implicit method for pressure linked equations
SWFSSolidworks flow simulation
SSSuction side
SETEStatic extended trailing edge
TETrailing edge
TSRTip speed ratio
WECWave energy converter
Symbols
bBlade span (m)
CChord length (m)
ClLift coefficient (-)
CpCoefficient of the power (-)
DtTip diameter (m)
DhHub diameter (m)
λTip speed ratio (-)
pPressure (N/m2)
RtTip radius (m)
rRadius (m)
SBlade swept area (m2)
TTorque generated by RB (Nm)
tBlade thickness (m)
VaAxial velocity (m/s)
VrRelative inlet velocity (m/s)
URMean blade speed (m/s)
UBlade tip velocity (m/s)
zNumber of RB (-)
ɳEfficiency (-)
ρaDensity of air (g/m3)
ϕFlow coefficient (-)
θBlade twist angle (°)
αAngle of attack (°)
ωAngular velocity (rad/s)

References

  1. REN21. Renewables Global Status Report; Tech. Rep.; REN21 Secretariat: Paris. France, 2018. [Google Scholar]
  2. Falcão, A.F.O.; Joao, C.C.H. Oscillating-water-column wave energy converters and air turbines: A review. Renew. Energy 2016, 85, 1391–1424. [Google Scholar] [CrossRef]
  3. Raghunathan, S.; Tan, C.P. Efficiency Starting Torque and Prevention of Run-Away with Wells Self-Rectifying Turbines. In Proceedings of the 2nd International Symposium on Wave and Tidal Energy, Cambridge, UK, 1981; pp. 207–217. [Google Scholar]
  4. Raghunathan, S. A methodology for Wells turbine design for wave energy conversion. Proc. Inst. Mech. Eng. Part A J. Power Energy 1995, 209, 221–232. [Google Scholar] [CrossRef]
  5. Pawitan, K.A.; Dimakopoulos, A.S.; Vicinanza, D.; Allsop, W.; Bruce, T. A loading model for an OWC caisson based upon large-scale measurements. Coast. Eng. 2019, 145, 1–20. [Google Scholar] [CrossRef]
  6. Brito-Melo, A.; Gato, L.M.C.; Sarmento, A.J.N.A. Analysis of Wells Turbine Design Parameters by Numerical Simulation of the OWC Performance. Ocean. Eng. 2002, 29, 1463–1477. [Google Scholar] [CrossRef]
  7. Mohamed, M.H.; Janiga, G.; Pap, E.; Thévenin, D. Multi-Objective Optimization of the Airfoil Shape of Wells Turbine Used for Wave Energy Conversion. Energy 2011, 36, 438–446. [Google Scholar] [CrossRef]
  8. Webster, M.; Gato, L.M.C. The Effect of Rotor Blade Sweep on the Performance of the Wells Turbine. Int. J. Offshore Polar Eng. 2010, 9, 233–240. [Google Scholar]
  9. Kim, T.H.; Setoguchi, T.; Takao, M.; Kaneko, K.; Santhakumar, S. Study of Turbine with Self-Pitch-Controlled Blades for Wave Energy Conversion. Int. J. Therm. Sci. 2002, 41, 101–107. [Google Scholar] [CrossRef]
  10. Mohamed, M.H.; Shaaban, S. Optimization of Blade Pitch Angle of an Axial Turbine Used for Wave Energy Conversion. Energy 2013, 56, 229–239. [Google Scholar] [CrossRef]
  11. Mohamed, M.H.; Sameh, S. Numerical optimization of axial turbine with self-pitch-controlled blades used for wave energy conversion. Int. J. Energy Res. 2014, 38, 592–601. [Google Scholar] [CrossRef]
  12. Takao, M.; Setoguchi, T.; Kinoue, Y.; Kaneko, K. Wells Turbine with End Plates for Wave Energy Conversion. Ocean. Eng. 2007, 34, 1790–1795. [Google Scholar] [CrossRef]
  13. Raghunathan, S.; Tan, C.P. Effect of Blade Profile on the Performance of the Wells Self-Rectifing Air Turbine. Int. J. Heat Fluid Flow 1985, 6, 369–379. [Google Scholar]
  14. Gato, L.M.C.; Webster, M. An Experimental Investigation into the Effect of Rotor Blade Sweep on the Performance of the Variable-Pitch Wells Turbine. Proc. Inst. Mech. Eng. Part. A J. Power Energy 2001, 215, 611–622. [Google Scholar] [CrossRef]
  15. Suzuki, M.; Arakawa, C. Influence of Blade Profiles on Flow around Wells Turbine. Int. J. Fluid Mach. Syst. 2008, 1, 148–154. [Google Scholar] [CrossRef]
  16. Takao, M.; Setoguchi, T.; Kinoue, Y.; Kaneko, K. Effect of end plates on the performence of a Wells turbine for wave energy conversion. J. Therm. Sci. 2006, 15, 319–323. [Google Scholar] [CrossRef]
  17. Kim, T.H.; Takao, M.; Setoguchi, T.; Kaneko, K.; Inoue, M. Performance Comparison of Turbines for Wave Power Conversion. Int. J. Therm. Sci. 2001, 40, 681–689. [Google Scholar] [CrossRef]
  18. Thakker, A.; Abdulhadi, R. Effect of blade profile on the performance of Wells turbine under unidirectional sinusoidal and real sea flow conditions. Int. J. Rotating Mach. 2007, 2007, 51598. [Google Scholar] [CrossRef]
  19. Halder, P.; Samad, A.; Kim, J.H.; Choi, Y.S. High performance ocean energy harvesting turbine design—A new casing treatment scheme. Energy 2015, 86, 219–231. [Google Scholar] [CrossRef]
  20. Halder, P.; Samad, A. Torque and efficiency maximization for a wave energy harvesting turbine: An approach to modify multiple design variables. Int. J. Energy Res. 2017, 41, 1014–1028. [Google Scholar] [CrossRef]
  21. Halder, P.; Samad, A.; Thevenin, D. Improved design of a Wells turbine for higher operating range. Renew. Energy 2017, 106, 122–134. [Google Scholar] [CrossRef]
  22. Halder, P.; Mohamed, M.H.; Samad, A. Wave energy conversion: Design and shape optimization. Ocean. Eng. 2018, 150, 337–351. [Google Scholar] [CrossRef]
  23. Kumar, P.M.; Samad, A. Nature-inspired design of a turbine blade harnessing wave energy. Proceedings of the Institution of Mechanical Engineers. Part. A J. Power Energy 2019. [Google Scholar] [CrossRef]
  24. Kumar, P.M.; Halder, P.; Husain, A.; Samad, A. Performance enhancement of Wells turbine: Combined radiused edge blade tip, static extended trailing edge, and variable thickness modifications. Ocean. Eng. 2019, 85, 47–58. [Google Scholar] [CrossRef]
  25. Gomes, R.P.F.; Henriques, J.C.C.; Gato, L.M.C.; Falcão, A.F.O. Multi-point aerodynamic optimization of the rotor blade sections of an axial-flow impulse air turbine for wave energy conversion. Energy 2012, 45, 570–580. [Google Scholar] [CrossRef]
  26. Badhurshah, R.; Samad, A. Multiple surrogate-based optimization of a bidirectional impulse turbine for wave energy conversion. Renew. Energy 2015, 74, 749–760. [Google Scholar] [CrossRef]
  27. Ezhilsabareesh, K.; Rhee, S.H.; Samad, A. Shape optimization of a bidirectional impulse turbine via surrogate models. Eng. Appl. Comput. Fluid Mech. 2018, 12, 1–12. [Google Scholar] [CrossRef]
  28. Badhurshah, R.; Dudhgaonkar, P.; Jalihal, P.; Samad, A. High efficiency design of an impulse turbine used in oscillating water column to harvest wave energy. Renew. Energy 2018, 121, 344–354. [Google Scholar] [CrossRef]
  29. Shintake, T. Harnessing the Power of Breaking Waves. In Proceedings of the AWTEC 2016, 3rd Asian Wave and Tidal Energy Conference, Singapore, 24–28 October 2016. [Google Scholar]
  30. Shintake, T.; Shirasawa, K.; Fujita, J.; Misumi, S.; Halder, P.; Nagahama, T.; Shindou, T.; Taggart, H.; Hikaru, K.; Takebe, H. Results of Wave Energy Experiments in the Maldives. In Proceedings of the European Wave and Tidal Energy Conference (EWTEC-2019), Napoli, Italy, 1–6 September 2019. [Google Scholar]
  31. Takebe, H.; Shirasawa, K.; Fujita, J.; Misumi, S.; Halder, P.; Shintake, T. Wave Power Measurement at Braking Wave Zone in Maldives using Horizontal-Axis Turbine WEC. In Proceedings of the European Wave and Tidal Energy Conference (EWTEC-2019), Napoli, Italy, 1–6 September 2019. [Google Scholar]
  32. Takebe, H.; Minami, J.; Fujita, J.; Shirasawa, K.; Toda, K.; Shintake, T. Water Speed Measurements at a Wave Energy Converter Test Site. In Proceedings of the EWTEC 2017, Cork, Ireland, 28 August–1 September 2017. [Google Scholar]
  33. Takebe, H.; Shirasawa, K.; Fujita, J.; Misumi, S.; Shintake, T. Development of OIST Wave Energy Converter Monitoring System for Maldives Island Experiment. J. Energy Power Eng. 2018, 12, 375–384. [Google Scholar]
  34. Enhanced Turbulence Modeling in Solidworks Flow Simulation; Technical Paper; Dassault Systemes, SolidWorks Corporation: Waltham, MA, USA, 2013; pp. 1–21.
Figure 1. Schematic diagram of 0.35 m diameter test section at West Japan Fluid Engineering Laboratory Co., Ltd.
Figure 1. Schematic diagram of 0.35 m diameter test section at West Japan Fluid Engineering Laboratory Co., Ltd.
Energies 13 00966 g001
Figure 2. Cp vs. TSR of the half scale turbine at different inlet velocity; Experimental results [33].
Figure 2. Cp vs. TSR of the half scale turbine at different inlet velocity; Experimental results [33].
Energies 13 00966 g002
Figure 3. Chord length distribution along the blade span.
Figure 3. Chord length distribution along the blade span.
Energies 13 00966 g003
Figure 4. Twist angle distribution along the blade span.
Figure 4. Twist angle distribution along the blade span.
Energies 13 00966 g004
Figure 5. Definition of the blade: (a) Definition of 2-D blade profile; (b) 3-D CAD model.
Figure 5. Definition of the blade: (a) Definition of 2-D blade profile; (b) 3-D CAD model.
Energies 13 00966 g005
Figure 6. Computational domain with boundary conditions.
Figure 6. Computational domain with boundary conditions.
Energies 13 00966 g006
Figure 7. Computational Mesh around the rotor blade: (a) Side view; (b) Front view.
Figure 7. Computational Mesh around the rotor blade: (a) Side view; (b) Front view.
Energies 13 00966 g007
Figure 8. Grid sensitivity study (Power coefficient with mesh size at various TSR).
Figure 8. Grid sensitivity study (Power coefficient with mesh size at various TSR).
Energies 13 00966 g008
Figure 9. Comparison between experimental and numerical results (optimum inlet velocity is adopted at 2.5 m/s for computational study).
Figure 9. Comparison between experimental and numerical results (optimum inlet velocity is adopted at 2.5 m/s for computational study).
Energies 13 00966 g009
Figure 10. Streamline distribution on the blade pressure side at various TSR: (a) TSR = 1.0; (b)TSR = 2.0; (c) TSR = 4.0.
Figure 10. Streamline distribution on the blade pressure side at various TSR: (a) TSR = 1.0; (b)TSR = 2.0; (c) TSR = 4.0.
Energies 13 00966 g010
Figure 11. Contour of pressure on the blade pressure side for various TSR: (a) TSR = 1.0; (b) TSR = 2.5; (c) TSR = 4.0.
Figure 11. Contour of pressure on the blade pressure side for various TSR: (a) TSR = 1.0; (b) TSR = 2.5; (c) TSR = 4.0.
Energies 13 00966 g011
Figure 12. Contour of pressure on the blade suction side for different TSR: (a) TSR = 1.0; (b) TSR = 2.5; (c) TSR = 4.0.
Figure 12. Contour of pressure on the blade suction side for different TSR: (a) TSR = 1.0; (b) TSR = 2.5; (c) TSR = 4.0.
Energies 13 00966 g012
Figure 13. Pressure distribution mid span of the flow passage for various TSR: (a) TSR = 1.0; (b) TSR = 2.5; (c) TSR = 4.0.
Figure 13. Pressure distribution mid span of the flow passage for various TSR: (a) TSR = 1.0; (b) TSR = 2.5; (c) TSR = 4.0.
Energies 13 00966 g013
Figure 14. Velocity distribution mid span of the flow passage for various TSR: (a) TSR = 1.0; (b) TSR = 2.5; (c) TSR = 4.0.
Figure 14. Velocity distribution mid span of the flow passage for various TSR: (a) TSR = 1.0; (b) TSR = 2.5; (c) TSR = 4.0.
Energies 13 00966 g014
Figure 15. Power at different rotational speed.
Figure 15. Power at different rotational speed.
Energies 13 00966 g015
Figure 16. Drag force at different rotational speed.
Figure 16. Drag force at different rotational speed.
Energies 13 00966 g016
Figure 17. Measured Mechanical load input power and rotational speed of the full-scale generator in various load resistance: R3ph = 4.7–34.9 Ω.
Figure 17. Measured Mechanical load input power and rotational speed of the full-scale generator in various load resistance: R3ph = 4.7–34.9 Ω.
Energies 13 00966 g017
Figure 18. Measured Electrical load output power and rotational speed of the full-scale generator in various load resistance: R3ph = 4.7–34.9 Ω.
Figure 18. Measured Electrical load output power and rotational speed of the full-scale generator in various load resistance: R3ph = 4.7–34.9 Ω.
Energies 13 00966 g018
Figure 19. Power at different rotational speed.
Figure 19. Power at different rotational speed.
Energies 13 00966 g019
Figure 20. Power at different inlet velocity: (a) Mechanical Load; (b) Electrical Load.
Figure 20. Power at different inlet velocity: (a) Mechanical Load; (b) Electrical Load.
Energies 13 00966 g020
Figure 21. Rotational speed and inlet velocity co-relation.
Figure 21. Rotational speed and inlet velocity co-relation.
Energies 13 00966 g021
Figure 22. Drag force Vs Inlet velocity.
Figure 22. Drag force Vs Inlet velocity.
Energies 13 00966 g022
Figure 23. Blade torque vs. Inlet velocity.
Figure 23. Blade torque vs. Inlet velocity.
Energies 13 00966 g023
Table 1. Some prominent studies of Wells and Impulse turbines for wave energy conversion.
Table 1. Some prominent studies of Wells and Impulse turbines for wave energy conversion.
Wells Turbine
Design ModificationAdvantageDescriptionProfile
Sweep with and without guide vane [6]Higher operating rangeBypass pressure-relief valve produced higher electrical energy.NACA0015
Aerofoil shape [7]Increased power output (average relative gain: +11.3% Improved efficiency: 1%Incident angle varied: 5 to 14°NACA0021
Blade sweep [8]Overall efficiency improved30° backward sweepNACA0015
Blade sweep [9]Improved overall performanceBlade sweep range: 0.25–0.75NACA0020
Pitch angle [10]Improved efficiency: 2.3% and AOP efficiency: 6.2%.Optimum pitch angle: 0.3°NACA0021
Pitch angle [11]Average increase in efficiency: 3.4%, power: 1%.Optimum pitch angle: 0.6°NACA0021
Endplate [12]Improved efficiency by 4%Endplate thickness: 0.5 mm and plate margin: 0 to 0.3 mmNACA0020
Blade profile Thickness [13]The NACA0021 produced peak efficiency. Efficiency drop: ~10% with blade roughened blade.Thicker and modified aerofoil blades improved the performance of the turbine.NACA0024, NACA0021, NACA0015H, NACA0015, NACA0012
Blade sweep and pitch angle [14]Improved turbine performance30° backward sweep and blade pitch angle: 0 to 20°NACA0015
Blade profile [15]Efficiency improved at an angle of attack < 7°. Stall angle = 10°.Fan-shaped blades with different sweep anglesNACA0021, NACA0012
Blade profile [16]Higher peak efficiencyOptimum blade profile: NACA0015NACA0015, NACA0020, CA9, HSIM 15-262133-1576
Blade geometry [17]The stall margin is higher with a higher hub-tip ratio.Optimum blade sweeps ratio of 0.35 and solidity of ~0.67.NACA0020
Blade profile [18]Higher power outputPreferable rotor blade profile CA9NACA0015, NACA0020, CA9, HSIM 15-262133-1576
Casing groove [19]Higher power output and operating rangeIntroduced circumferential casing grooveNACA0015
Blade sweep and thickness [20]Stall margin and power enhanced by 22.2% and 33%, respectively.Optimize the blade sweep and thicknessNACA0015
Blade sweep [21]Stall margin and power enhanced by 18% and 29%, respectively.Optimize the blade sweep angleNACA0015
Sweep, thickness and casing groove [22]8% increment efficiency and 17.4% decrement in torque.Optimize the Blade sweep and thickness along with the casing grooveNACA0015
Static extended trailing edge [23]Improved relative mean torque by 23.4% and, reduced relative mean efficiency by 5.4%, before stall conditionStatic extended trailing edge with 5% chord lengthNACA0015
Radiused edge blade tip, static extended trailing edge, and thickness [24]22% and 97% relative stall margin and the turbine power.Fixed SETE at LE and extending TE without altering the original features of the airfoil. Length, thickness, and deflection are fixed as 5% C, 0.25mm and 0°, respectivelyNACA0015
Impulse Turbine
Blade thickness [25]Improved efficiency.Camber line iterative designCircular – elliptical
Number of blades and GVs [26]Enhance efficiency 13%Surrogate-based optimizationCircular – elliptical
Hub and tip thickness [27]10.4% efficiency improvementSurrogate-based optimizationCircular – elliptical
Number of blades and GVs along with GV angle and profile. [28]24% efficiency enhancement for the entire flow rangeSurrogate-based optimizationCircular – elliptical
Table 2. Meshing and boundary conditions.
Table 2. Meshing and boundary conditions.
ParameterDescription
CAD ModelSolidWorks
CFD PackageSolidWorks Flow Simulation (SWFs)
Flow domainFull blade
Mesh/NatureImmersed Boundary Cartesian Meshing Techniques
Reference frame Local averaging frame
Working fluidWater (assume temperature 20 °C)
Turbulence ModelModified κ-ε with two-scale wall function
InletUniform velocity
Hub, rotor bladeNo-slip wall
Outlet Pressure outlet
Goal convergence5
Table 3. Mechanical Load output of 4.7 Ω.
Table 3. Mechanical Load output of 4.7 Ω.
Vel. (m/s)RPMPower (W)Ω (rad/s)T (Nm)Drag Force (N)
100000
200000
310075010.4771.62900
4200239020.94114.111900
5350580036.65158.253190
6550960057.60166.684500
771012,72574.35171.155900
Table 4. Mechanical load output of 34.9 Ω.
Table 4. Mechanical load output of 34.9 Ω.
Vel. (m/s)RPMPower (W)Ω (rad/s)T (Nm)Drag Force (N)
100000
218037018.8519.63500
3280110029.3237.521190
4425218044.5148.981900
5550359057.6062.333000
6680499071.2170.074300
7825622086.3972.005800
Table 5. Electrical load output at different impedance.
Table 5. Electrical load output at different impedance.
Inlet VelocityLoad 34.9 ΩLoad 4.7 Ω
Vel. (m/s)RPMPower (W)RPMPower (W)
104100
218035000
3280990100760
442519902002500
555032003505820
668046105509200
7825600071012,000

Share and Cite

MDPI and ACS Style

Halder, P.; Takebe, H.; Pawitan, K.; Fujita, J.; Misumi, S.; Shintake, T. Turbine Characteristics of Wave Energy Conversion Device for Extraction Power Using Breaking Waves. Energies 2020, 13, 966. https://doi.org/10.3390/en13040966

AMA Style

Halder P, Takebe H, Pawitan K, Fujita J, Misumi S, Shintake T. Turbine Characteristics of Wave Energy Conversion Device for Extraction Power Using Breaking Waves. Energies. 2020; 13(4):966. https://doi.org/10.3390/en13040966

Chicago/Turabian Style

Halder, Paresh, Hideki Takebe, Krisna Pawitan, Jun Fujita, Shuji Misumi, and Tsumoru Shintake. 2020. "Turbine Characteristics of Wave Energy Conversion Device for Extraction Power Using Breaking Waves" Energies 13, no. 4: 966. https://doi.org/10.3390/en13040966

APA Style

Halder, P., Takebe, H., Pawitan, K., Fujita, J., Misumi, S., & Shintake, T. (2020). Turbine Characteristics of Wave Energy Conversion Device for Extraction Power Using Breaking Waves. Energies, 13(4), 966. https://doi.org/10.3390/en13040966

Note that from the first issue of 2016, this journal uses article numbers instead of page numbers. See further details here.

Article Metrics

Back to TopTop