Theoretical and Numerical Study of a Photovoltaic System with Active Fluid Cooling by a Fully-Coupled 3D Thermal and Electric Model
Abstract
1. Introduction
2. The Physical Model: The PVFC Module and the Case Study of the Hybrid Photovoltaic-Thermal Plant
3. The Three-Dimensional Thermal-Electric Fluid Dynamic Model
- The heat transfer through the PV module is in steady-state conditions;
- the thermal conductivities of the layers are constant;
- the thermal contact resistances at the interfaces are negligible;
- the cell thickness is negligible;
- the solar absorptivities for the thermoplastic polyurethane (TPU) and polycarbonate (PC) layers are negligible;
- the working fluids are considered as incompressible.
- The total flow rate is uniformly distributed between the 20 PV-T modules;
- pipes are considered smooth and frictional losses are given by the Darcy equation, both for laminar (friction factor given by the Darcy equation) and turbulent flows (friction factor given by the Blasius expression).
- The electrical parameters, i.e., the series resistance, , the shunt resistance, , the spectral-response parameter, , and the diode quality factor, m, were considered constant.
3.1. The PVFC Module: Structural, Thermal, and Electrical Model
3.2. Pressure Losses in the Piping Network
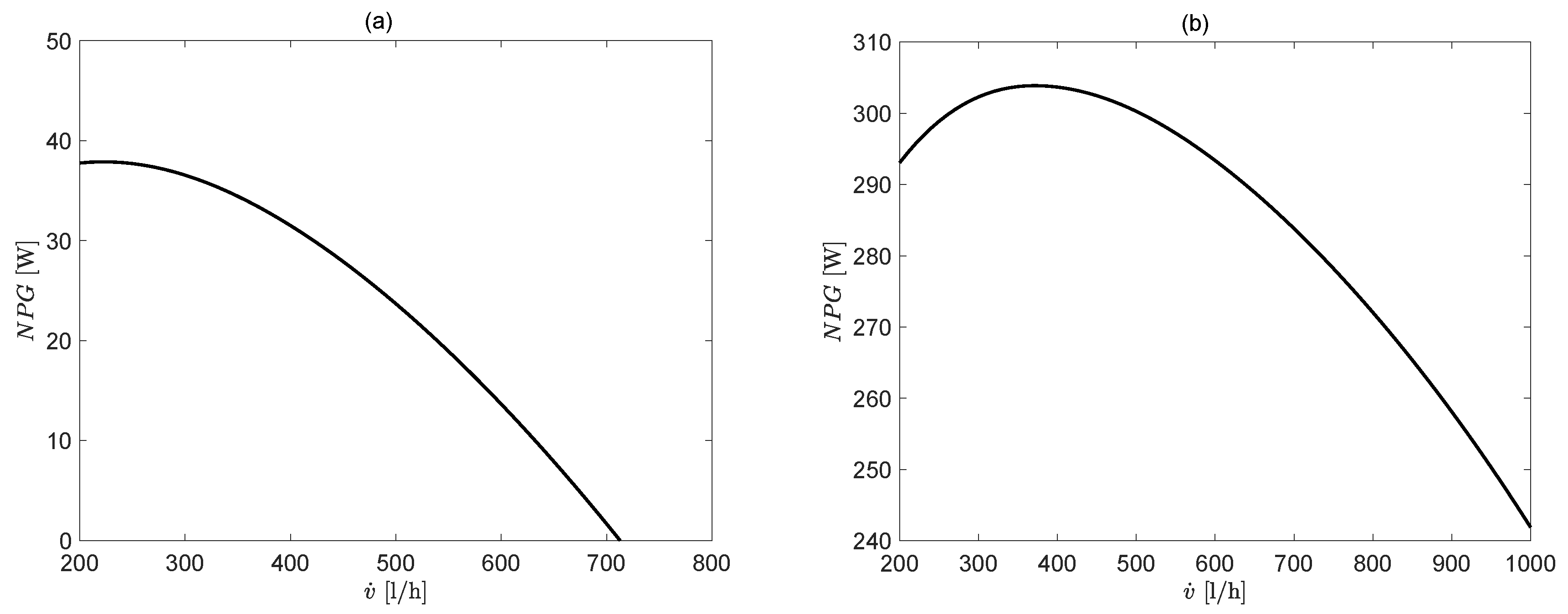
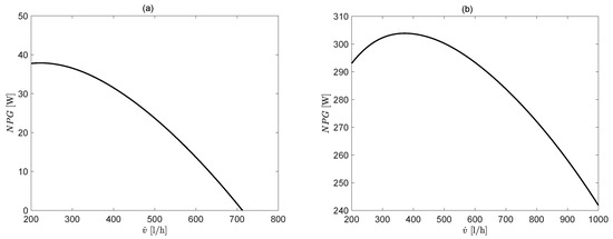
3.3. The Competitive Mechanism and the Optimum Flow Rate
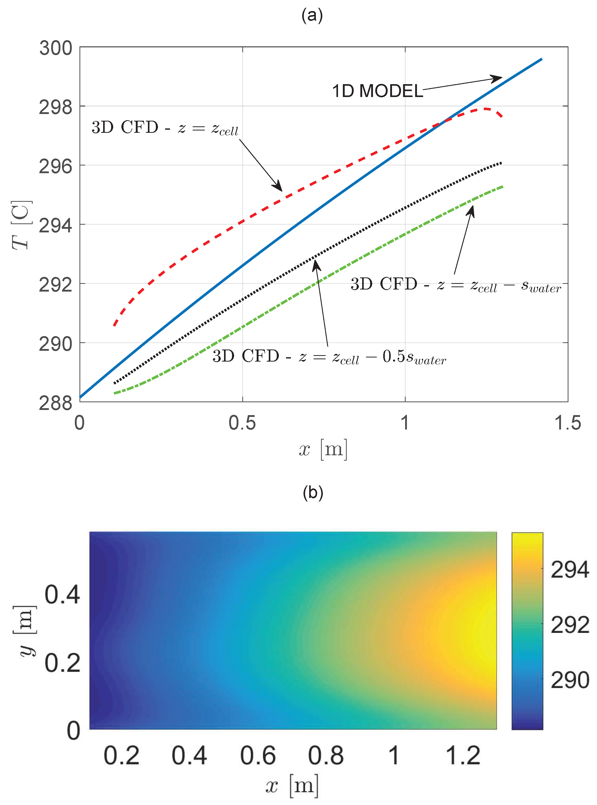
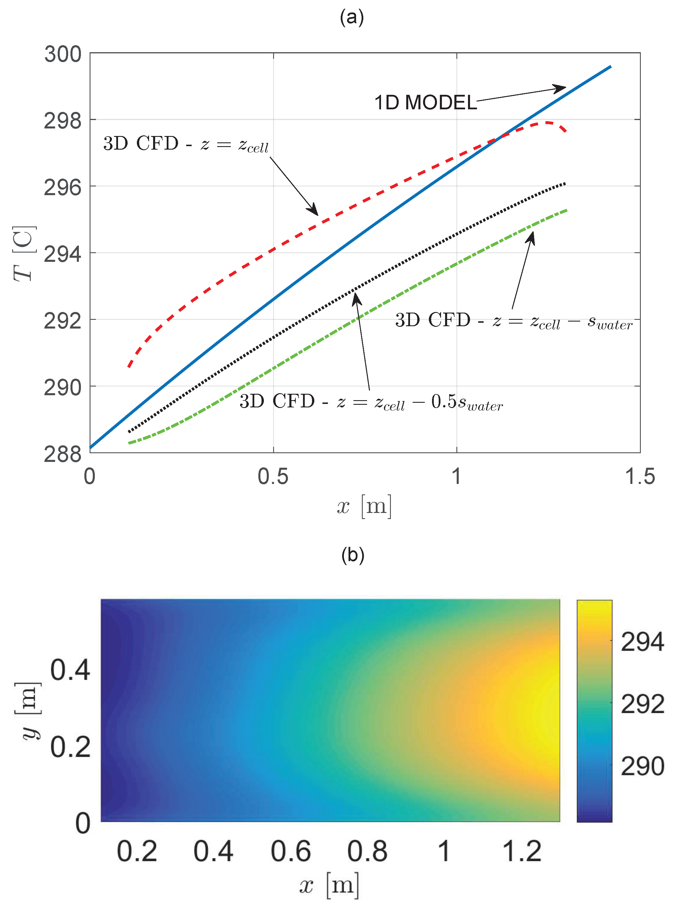
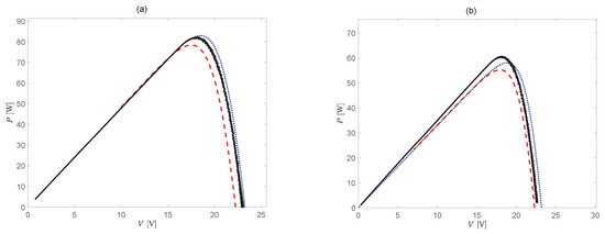
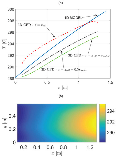
4. Numerical Results
5. Conclusions
5.1. Summary
5.2. Future Works
Author Contributions
Funding
Conflicts of Interest
References
- Brinkworth, B.J.; Cross, B.M.; Marshall, R.H.; Yang, H. Thermal regulation of photovoltaic cladding. Sol. Energy 1997, 61, 169–178. [Google Scholar] [CrossRef]
- Ma, T.; Yang, H.; Zhang, Y.; Lu, L.; Wang, X. Using phase change materials in photovoltaic systems for thermal regulation and electrical efficiency improvement: A review and outlook. Renew. Sustain. Energy Rev. 2015, 43, 1273–1284. [Google Scholar] [CrossRef]
- DeSoto, W.; Klein, S.A.; Beckman, W.A. Improvement and validation of a model for photovoltaic array performance. Sol. Energy 2006, 80, 78–88. [Google Scholar] [CrossRef]
- Arcuri, N.; Reda, F.; De Simone, M. Energy and thermo-fluid-dynamics evaluations of photovoltaic panels cooled by water and air. Sol. Energy 2014, 105, 147–156. [Google Scholar] [CrossRef]
- Kawamura, T.; Harada, K.; Ishihara, Y.; Todaka, T.; Oshiro, T.; Nakamura, H.; Imataki, M. Analysis of MPPT characteristics in photovoltaic power system. Sol. Energy Mater. Sol Cells 1997, 47, 155–165. [Google Scholar] [CrossRef]
- Omubo-Pepple, V.B.; Israel-Cookey, C.; Alaminokuma, G.I. Effects of Temperature, Solar flux and Relative Humidity on the Efficient Conversion of Solar Energy to Electricity. Eur. J. Sci. Res. 2009, 35, 173–180. [Google Scholar]
- Konjare, S.S.; Shrivastava, R.L.; Chadge, R.B.; Kumar, V. Efficiency Improvement of PV module by way of Effective Cooling—A Review. In Proceedings of the 2015 IEEE International Conference on Industrial Instrumentation and Control (ICIC), College of Engineering, Pune, India, 28–30 May 2015; pp. 1008–1011. [Google Scholar]
- Krauter, S. Increased electrical yield via water flow over the front of photovoltaic panels. Sol. Energy Mater. Sol. Cells 2014, 82, 131–137. [Google Scholar] [CrossRef]
- Ji, J.; Pei, G.; Chow, T.; Liu, K.; He, H.; Lu, J.; Han, C. Experimental study of photovoltaic solar assisted heat pump system. Sol. Energy 2008, 82, 43–52. [Google Scholar] [CrossRef]
- Abdolzadeh, M.; Ameri, M. Improving the effectiveness of a photovoltaic water pumping system by spraying water over the front of photovoltaic cells. Renew. Energy 2009, 34, 91–96. [Google Scholar] [CrossRef]
- Kordzadeh, A. The effects of nominal power of array and system head on the operation of photovoltaic water pimping set with array surface covered by a film of water. Renew. Energy 2010, 35, 1098–1102. [Google Scholar] [CrossRef]
- Prudhvi, P.; Sai, P.C. Efficiency Improvement of Solar PV Panels Using Active Cooling. In Proceedings of the 11th IEEE International Conference on Environment and Electrical Engineering (EEEIC), Venice, Italy, 18–25 May 2012; pp. 1093–1097. [Google Scholar]
- Sharma, M.; Bansal, K.; Buddhi, D. Operating temperature of PV module modified with surface cooling unit in real time condition. In Proceedings of the 6th IEEE India International Conference on Power Electronics (IICPE), Kurukshetra, India, 8–10 December 2012; pp. 1–5. [Google Scholar]
- Kim, J.; Nam, Y. Study on the Cooling Effect of Attached Fins on PV Using CFD Simulation. Energies 2019, 12, 758. [Google Scholar] [CrossRef]
- Kim, J.; Bae, S.; Yu, Y.; Nam, Y. Experimental and Numerical Study on the Cooling Performance of Fins and Metal Mesh Attached on a Photovoltaic Module. Energies 2020, 13, 85. [Google Scholar] [CrossRef]
- Gang, P.; Jie, J.; Wei, B.H.; Keliang, L.; Hanfeng, H. Performance of photovoltaic solar assisted heat pump system in typical climate zone. J. Energy Environ. 2007, 6, 1–9. [Google Scholar]
- Xu, G.Y.; Deng, S.M.; Zhang, X.S. Simulation of a photovoltaic/thermal heat pump system having a modified collector/evaporator. Sol. Energy 2009, 83, 1967–1976. [Google Scholar] [CrossRef]
- Teo, H.G.; Lee, P.S.; Hawlader, M.N.A. An active cooling system for photovoltaic modules. Appl. Energy 2012, 90, 309–315. [Google Scholar] [CrossRef]
- Rossi, C.; Tagliafico, L.A.; Scarpa, F.; Bianco, V. Experimental and numerical results from hybrid retrofitted photovoltaic panels. Energy Convers. Manag. 2013, 76, 634–644. [Google Scholar] [CrossRef]
- Elnozahya, A.; Rahmana, A.K.A.; Alib, A.H.H.; Abdel-Salamc, M.; Ookawara, S. Performance of a PV module integrated with standalone building in hot arid areas as enhanced by surface cooling and cleaning. Energy Build. 2015, 88, 100–109. [Google Scholar] [CrossRef]
- Ueda, Y.; Sakurai, T.; Tatebe, S.; Itoh, A.; Kurokawa, K. Performance analysis of PV systems on the water. In Proceedings of the 2008 IEEE EU PVSEC Conference, Valencia, Spain, 1–5 September 2008; pp. 2670–2673. [Google Scholar]
- Leow, W.Z.; Irwan, Y.M.; Irwanto, M.; Gomesh, N.; Safwati, I. PIC 18F4550 controlled solar panel cooling system using DC hybrid. J. Sci. Res. Rep. 2014, 3, 2801–2816. [Google Scholar] [CrossRef]
- Makki, A.; Omer, S.; Sabir, H. Advancements in hybrid photovoltaic systems for enhanced solar cells performance. Renew. Sustain. Energy Rev. 2015, 41, 658–684. [Google Scholar] [CrossRef]
- D’angola, A.; Zaffina, R.; Enescu, D.; Di Leo, P.; Fracastoro, G.V.; Spertino, F. Best compromise of net power gain in a cooled photovoltaic system. In Proceedings of the 51st International Universities Power Engineering Conference (UPEC 2016), Coimbra, Portugal, 6–9 September 2016; pp. 1–6. [Google Scholar] [CrossRef]
- Spertino, F.; D’Angola, A.; Enescu, D.; di Leo, P.; Fracastoro, G.V.; Zaffina, R. Thermal–electrical model for energy estimation of a water cooled photovoltaic module. Sol. Energy 2016, 133, 119–140. [Google Scholar] [CrossRef]
- Spertino, F.; Ciocia, A.; Corona, F.; di Leo, P.; Papandrea, F. An experimental procedure to check the performance degradation on-site in grid-connected photovoltaic systems. In Proceedings of the 40th IEEE Photovoltaic Specialist Conference (PVSC), Denver, CO, USA, 8–13 June 2014; pp. 2600–2604. [Google Scholar]
- ANSYS Fluent Theory Guide; ANSYS, Inc.: Canonsburg, PA, USA, November 2013.
- Ahmad, J.; Ciocia, A.; Fichera, S.; Murtaza, A.F.; Spertino, F. Detection of typical defects in silicon photovoltaic modules and application for plants with distributed MPPT configuration. Energies 2019, 23, 4547. [Google Scholar] [CrossRef]
- Murtaza, A.F.; Munir, U.; Chiaberge, M.; Di Leo, P.; Spertino, F. Variable parameters for a single exponential model of photovoltaic modules in crystalline-silicon. Energies 2018, 11, 2138. [Google Scholar] [CrossRef]
- Spertino, F.; Fichera, S.; Ciocia, A.; Malgaroli, G.; Di Leo, P.; Ratclif, A. Toward the complete self-sufficiency of an NZEBS microgrid by photovoltaic generators and heat pumps: Methods and applications. IEEE Trans. Ind. Appl. 2019, 55, 7028–7040. [Google Scholar] [CrossRef]
- Çengel, Y.A.; Turner, R.H. Thermal-Fluid Sciences; McGraw-Hill: New York, NY, USA, 2001. [Google Scholar]
- Fox, W.; Pritchard, P.; McDonald, A. Introduction to Fluid Meachanics, 7th ed.; John Wiley & Sons: Hoboken, NJ, USA, 2010. [Google Scholar]
- Richter, H. Rohrhydraulik; Springer: Berlin, Germnay, 1971. [Google Scholar]
- Miller, D.S. Internal Flow; BHRA: Cranfield-Bedford, UK, 1971. [Google Scholar]
- Ward-Smith, A.I. Internal Fluid Flow; Clarendon Press: Oxford, UK, 1980. [Google Scholar]
- Blevins, R.D. Applied Fluid Dynamics Handbook; Van Nostrand Reinhold: New York, NY, USA, 1984. [Google Scholar]












| k (W/m K) | s (mm) | |
|---|---|---|
| PC | 0.2 | 0.375 |
| TPU | 0.2 | 1 |
| TPU | 0.2 | 1.5 |
| alveolar | - | 10 |
| PC | 0.2 |
© 2020 by the authors. Licensee MDPI, Basel, Switzerland. This article is an open access article distributed under the terms and conditions of the Creative Commons Attribution (CC BY) license (http://creativecommons.org/licenses/by/4.0/).
Share and Cite
D’Angola, A.; Enescu, D.; Mecca, M.; Ciocia, A.; Leo, P.D.; Fracastoro, G.V.; Spertino, F. Theoretical and Numerical Study of a Photovoltaic System with Active Fluid Cooling by a Fully-Coupled 3D Thermal and Electric Model. Energies 2020, 13, 852. https://doi.org/10.3390/en13040852
D’Angola A, Enescu D, Mecca M, Ciocia A, Leo PD, Fracastoro GV, Spertino F. Theoretical and Numerical Study of a Photovoltaic System with Active Fluid Cooling by a Fully-Coupled 3D Thermal and Electric Model. Energies. 2020; 13(4):852. https://doi.org/10.3390/en13040852
Chicago/Turabian StyleD’Angola, Antonio, Diana Enescu, Marianna Mecca, Alessandro Ciocia, Paolo Di Leo, Giovanni Vincenzo Fracastoro, and Filippo Spertino. 2020. "Theoretical and Numerical Study of a Photovoltaic System with Active Fluid Cooling by a Fully-Coupled 3D Thermal and Electric Model" Energies 13, no. 4: 852. https://doi.org/10.3390/en13040852
APA StyleD’Angola, A., Enescu, D., Mecca, M., Ciocia, A., Leo, P. D., Fracastoro, G. V., & Spertino, F. (2020). Theoretical and Numerical Study of a Photovoltaic System with Active Fluid Cooling by a Fully-Coupled 3D Thermal and Electric Model. Energies, 13(4), 852. https://doi.org/10.3390/en13040852

