Abstract
Since the widespread deployment of non-dispatchable, intermittent, and highly variable power production from renewable energy sources (RES), the demand for flexible power production has been steadily growing. As new-built dispatchable power plants have not been very quickly adapted to the emerging flexible operation, this task has been addressed by existing plants as well. Existing solid-fuel thermal power plants have undergone an extensive study to increase their flexible operation. Thermodynamic process-modeling tools have been extensively used for plant modeling. Steady- and transient-state simulations have been performed under various operating regimes, supplying valuable results for efficient power-plant operation. Flexibility aspects regarding low-load operation and steady operational conditions are mostly investigated with steady-state simulations. Flexibility aspects related to variation over time such as ramping rates are investigated with transient simulations. The off-design operation is mainly attributed to the existing fleet of power plants, struggling to balance between their former operational schemes as base and/or medium-load plants. However, off-design operation is also considered for new plants in the design phase and is included as a simulation aspect. Process modeling turns out to be a proven tool for calculating plant flexibility and predicting extreme operating conditions, defining further steps for a new operational scheme, drafting accident mitigation control procedures or, furthermore, provisioning more complex and cross-field future tasks. A review of the off-design aspect as a simulation approach is undertaken and presented in this work. Finally, challenges and future perspectives for this aspect of solid-fuel thermal power plants are discussed.
1. Introduction
The development of renewable energy sources (RES) has been steadily driving efforts to mitigate CO2 concentration in the atmosphere, reaching a 26% of global electricity production for 2018 [] and projections of around 35% []. Conventional power plants are fuel-powered and their operation relies upon power system operator demand and load-dispatching schedule, with different technical restrictions applied to different power plants (e.g., nuclear power plants cannot perform start-ups and shutdowns upon request). Unlike conventional power systems, the RES power systems are separated into two major categories: dispatchable and stochastic ones. The latter have been playing a growing role in energy policies for developed and developing economies []. Special reference should be made to European Union (EU) countries, as 2030 projections double the RES share in electricity production []. The United Nations (UN) promotes affordable and clean energy production, specifically Goal 7 of the UN Sustainable Development Goals (SDGs), thus encouraging RES []. Solar- and wind-driven units, with variable power output, are subject to weather conditions, resulting in a variable energy output and thus a major impact on the power grid. These variable renewable energy (VRE) sources provide intermittent power supply to the grid. VRE sources are the major sources of fluctuations in terms of power injection to the grid, resulting in voltage, power, and frequency instability. The stability of a power grid is of immense importance to avoid partial or total black-outs [,].
As the share of VRE sources has increased in recent decades, a new role for dispatchable units has emerged under the new conditions []. Coal and lignite power plants were initially in use, while waste and solid biomass followed. Solid-fuel power plants, formerly considered to be base-load or intermediate-load units, have shouldered a new role in the energy production mix. These power plants, once designed and built to operate at full load for long periods and with ideally a few programmed shutdowns per year, have been forced to operate in a more flexible mode []. This flexible operation is becoming more critical as the share of intermittent power injection in the grid increases [].
From this perspective, solid-fuel power plants are adopting new operation schemes with faster load-ramping rates and lower technical minimum load, all incorporated in a load-cycling operation. The latter implies excessive stress to plant components, resulting in on-load unpreventable damage and excessive operational cost []. The negative economic impact of high-VRE sources on solid-fuel plants has an average operating cost increase in the range of 2–5% []. The load-cycling negatively affects the fuel consumption and the efficiency during ramping-up and -down, adding an extra operational cost []. The economical operation of a power plant is a crucial factor presently in electricity markets. Flexible plant operation must meet economic criteria to regain competitiveness and stay dispatched for longer periods []. Economic features also address the use of alternative supporting fuels for enhanced plant flexibility, substituting oil []. The additional CO2 tariffs on top are driving plant operators to go through extensive plant flexibility and economics matchings, and adopt the most cost-efficient practices [,].
Solid-fuel power-plant operators, in collaboration with designers, have been struggling to change the operational schemes of power plants. Insights into this new operational mode can be provided with the aid of process-modeling tools. These tools are mostly used in the design phase of a power plant and in strong relationship with the in-house experience of design and construction engineer firms. Boiler models were initially used for simulating drum-boiler dynamics []. Ever since operation schemes had to be adopted during the lifespan of a solid-fuel power plant, process-modeling tools have been widely used. From computer-aided calculations for design purposes to modeling and simulating power-plant operation and efficiency optimization, a great leap forward regarding simulation tools has been achieved. This includes the publication of dedicated books presenting state-of-the-art simulation techniques for power plants [,,] and critical parts such as steam generators [] and control systems [], as well as specific publications regarding latest works in process modeling [,].
Although solid-fuel power-plant flexible operation is a topic that has caught the attention of the research community, only a handful of review papers have been so far published. Their main focus has been on simulation tools and the simulation scenarios for identifying technical limits in the achievement of higher flexibility []. In parallel, the flexible operation to meet power output demands implies effects to all power-plant outputs such as flue-gas temperature, composition, and emissions []. These were overlooked in the past, but as load changes become more common during the lifetime of the power plant they become a critical factor for plant operation. Under the same scope, power-plant models, mostly simplified ones, were integrated with flue-gas treatment and CO2 capture plants indicating the importance of power-plant modeling and simulation under flexible operation [,].
This work attempts to display off-design operation as a significant part of power-plant flexibility by means of process-modeling tools for solid-fuel-fired power plants (Figure 1). The use of identical classification for the two operation modes strives to underline the emerging thin line that separates them. The identification of operational aspects (minimum/part-load, ramping rate, control and fuel, undesired operation, and accidents), classifying the simulations to the off-design operation, is presented. The next step has already been started by using process-modeling tools to simulate power plant operation limits and beyond. The need for new operation schemes from existing power plants has forced the identification of their on-design limits and exploration of their off-design limits. Future papers could benefit from this arrangement and explore in more depth the off-design topic by cross-class models and simulations.

Figure 1.
Classified energy sources of an electric system. The focus of this work is in the orange rectangle.
2. Flexible Operation
The flexible operation of a solid-fuel power plant possesses two discrete requirements: low minimum load, and fast start-up and ramping. Which is more critical for the economic viability of a power plant depends on the grid characteristics, the structure of the electricity market, and cost factors. Reaching low minimum-load operation is critical for power plants to avoid shutdowns during periods of low energy demand (e.g., overnight, weekend, etc.) []. An augmentation in shutdowns and subsequently start-ups increases the negative impact on plant components, reduces the life span of plant critical parts, and increases operating costs. Unit cycling is a term used to describe the range of plant operations such as load following start-up, shutdown, and variable power output over a specific timeframe. The cycling operation has significantly negative impact on these power plants, with the higher the installed capacity the higher the cycling costs. It should be outlined that cycling costs include supporting fuels and damages caused by fatigue mechanisms on the boiler parts []. One extra aspect is added when combined heat and power plants are analyzed regarding their ability to include the district heating network as a source/sink of heat for rapid load changes in heat or power output []. The references mainly focusing on the various aspects of a solid-fuel power-plant flexible operation are summarized in Table 1. The main sections of the references are depicted in a structured and visual way, thus enabling the reader to quickly identify the specific area of interest.

Table 1.
Summary of power plants flexible operation modeling.
The flexible operation of a solid-fuel-fired power plant is subject to the durability of several components across the plant systems. The various flexibility parameters—low load, faster ramping, fuel composition disturbances—all affect the plant expected output and the economic operation of the plant. The control system coordinates the two power-plant systems, the air and fuel system with air, fuel subsystems, and steam cycle with the subsystems such as the heating surfaces and the headers, the feedwater drum and pumps, the water preheaters, the condensing system, the steam turbine, and the steam temperature. The flue-gas recirculation and the air separation subsystems for the oxy-fuel fired power plants should be included as well. The modeling tools provide the capability to create integrated models of a power plant and thus a clearer view not only of the response of a single subsystem to a specific flexibility parameter (e.g., low-load operation, fast ramping, etc.) but also of the interaction between the different subsystems. The validation of the steady-state and transient simulations against operational or design data is a critical factor, providing reliable and robust models for simulation runs under operational conditions with minimum relative error in plant parameters.
The steady-state simulation focus was on the low- and partial-load operation, related to the heat rate for the sufficient steam parameters. The transient simulations focused only on one flexibility factor depicting results for ramping rates across a wide range of loads. The integration of a control system to a model for transient simulation broadened the spectrum of the flexibility factors studied. The focus of each presented work created a variety of authors and modeling tools that has shaped a canvas of approaches and results. Limitations to power-plant operation under flexibility scenarios were related to specific components such as drum, headers, and coal mills. These limitations are based on plant design, component design and material, and on fuel composition and preparation, indicating the direction of improvements or retrofits. The transient simulation betters the steady-state simulation when the flexibility factor is time-related (e.g., ramping rates, step changes, control strategy, etc.) and dominates the modeling effort. The integration of the control system to a power-plant thermodynamic model facilitates the optimization of the current strategy by tuning the system parameters, hence expanding the current exploitation and operation limits of the in-place plant configuration and components. New control systems were applicable to a modeling level and proved their advanced operability against existing ones.
2.1. Minimum Load—Part Load
The part-load operation of a coal-fired power plant with direct and co-firing schemes with biomass is presented in []. The power plant was modeled with Aspen Plus® software and validated against operational data. A CO2 capture and compression installation was also modeled and simulated. Full-load and part-load simulations were performed with coal and biomass co-firing scenarios. A constant heat input and constant fuel flow-rate strategies were used for the co-firing scenarios at full and partial loads, respectively. The part-load simulations under the constant fuel flow rate resulted in a derating of the power-plant output as the share of biomass increased in the fuel mix. Furthermore, the reboiler duty decreased for all part-load simulations under high biomass co-firing scenarios.
Two typical capacities, 300 MW and 600 MW, of coal-fired power plants under start-up, ramping, and deep-cycling operation modes were measured and analyzed with an in-house code in []. Datasets were retrieved from the two power plants during the aforementioned operating modes. A linear-regression in-house code was developed and used for correlating the coal consumption and the emissions of CO2, dust, NOx, and SO2. The long-term operational data retrieved from the two included power plants were used for the correlation. A 35% load was achieved during the deep-cycling operation. The deep-cycling operation mode for the 600 MW and 300 MW plant has the most impact on the four pollutant emissions, showing a remarkable increase of 17.5% and 11.3%, respectively, for heat rate and CO2 emission factor when compared to regular operation. The corresponding increases were 10.2% and 108.4% for dust, and 41% for SO2. The start-up process yields a large raise to the NOx and dust emission factor, whereas the SO2 emission factor is slightly lower compared with regular operation.
A coal-fired power-plant model was developed and simulated with Ebsilon® software in []. The model was validated against operational data recorded from the actual plant. The operation refers to two part-loads, specifically 60% and 80%, and at full load with three different fuel calorific values. Energy and exergy efficiency calculations were performed and related to fuel calorific value and boiler load. The boiler losses were also related to the latter two parameters. The impact of the latter factors was identified, and the relative error did not exceed 4.5%.
2.2. Ramping Rate
The impact of primary frequency control to the thick-wall components and their lifetime expectancy was presented in []. A lignite-fired power plant was modeled with Modelica® and simulated for a 25%-load step change under two different scenarios; with and without primary frequency control. The model incorporates the flue-gas side, the water/steam side and the control system. The model was validated against measurements taken from the plant. The focus of the simulations was on the fatigue of the thick-wall components, and results were presented for the superheater and the preheater before the steam turbine, which were identified to be the most affected ones. The demonstrated results revealed that the primary frequency control operating mode strongly affects the fatigue of thick-wall components but, as this is not univocal, it is subject to temperature, pressure variations, and to component shape and geometry.
A coal-fired power-plant model was developed incorporating in detail the flue-gas side, the water/steam side, and the control system in []. The commercial software APROS® was used for the model and the simulations. The simulations consisted of steady-state and dynamic ones, and all were validated against operational data from the power plant. Stepwise ramping-down and -up simulations were performed between 100% and 22.5% load. The simulation results showed very good agreement with the operational data, disclosing a maximum relative error of less than 5% for the pressure, temperature, and steam mass flow rate.
A coal-fired power-plant model was developed in gPROMS incorporating the flue-gas side and water/steam side in []. Steady-state simulations were used for validating the model against operational data. Dynamic simulations were performed under step-load changes and ramping rate scenarios within the 70–100% load range. Steady-state simulations were able to predict the operation of the plant with less than 5% relative error. Process analysis following the dynamic simulations showed the beneficial role of ramping-rate load change against the step-load change.
A municipal waste power plant with grate was modeled in detail in []. The APROS® software was used for the model development and the simulations. The model incorporated the flue-gas side, the water/steam side and the control system. The model was validated against design data for the nominal load operation with steady-state simulation. Dynamic simulations for hot start-up and shutdown were performed and presented. The steady-state simulation results showed a very good agreement with the design data and less than 5% relative error, while for some parameters the relative error was less than 1%. The presented results from the transient simulations for hot start-up and shutdown were assumed, while future validation against operational data is pending. Validation against publicly available data could not be performed as they were not available in the literature.
A coal air-fired power plant with control system was developed with Doosan SpaceGEN platform and in-house coding in []. The model also comprised an air separation unit and a CO2 compression and purification unit, which were modeled with Aspen Hysys®. The model was simulated under air-fired conditions for a complete cycle, from full load to minimum load and back to full load with constant ramping rate.
A coal air/oxy-fired boiler test plant was modeled for steady-state and dynamic simulations in []. The steady-state model was developed with Aspen Plus® and the transient model with Aspen Plus® Dynamics. Both comprised the flue-gas cleaning system and the flue-gas recirculation. Both models were validated against operational data. The dynamic simulation included mass flow-rate step changes of fuel, oxidant, and water. The model could adequately predict the static and dynamic performance in terms of energy balance, temperature profile, heat transfer, switch of oxidant from air to oxygen, and vice versa.
A coal-fired power plant was simulated under secondary control reserve mode and the results were presented in []. The model incorporated the flue-gas side, the water/steam side, the coal mills and the control system. The APROS® software was in use for the model development and the validation process took place under operational data retrieved from the plant’s data control system. The internal coal-milling modeling used a back-engineering technique modeled in APROS®, and showed its adjustability to other plants and different coal mills type. The relative error of the simulations did not exceed 5%. Simulation results under the secondary control reserve showed the dynamic response of the power plant and its feasibility to undertake control adjustments to deliver auxiliary services.
A pre-dried lignite-fired power-plant model was developed that included combustion, flue-gas recirculation, and water/steam side in []. The model was developed and validated against publicly available operational data presented in [,]. The in-house code developed for that purpose was developed in a MATLAB®/Simulink® environment. The simulation scenarios were executed with the application of step changes across the model parameters. A step decrease of 10% for a period of 10 min was applied to the fuel mass flow rate and a step decrease/increase of 15% for a period of 20 min was applied to O2 purity, primary air mass flow rate, and CO2 concentration in the flue gas. Finally, a disturbance of ±2.5% in fuel quality fluctuation was also simulated. The fuel step decrease simulation results showed very good agreement with the publicly available operational data. The step-change simulation results revealed a stability response of all process variables for a char conversion rate of 95%, although below this threshold the boiler stability was weak. The oxidant step decrease incurred a decrease in flue-gas temperature and the CO2 recirculation step decrease showed an analogous increase. The opposite effect was presented for the step increase of oxidant and CO2 recirculation. Finally, the fuel fluctuation showed the relevant fluctuation of flue-gas temperature.
A coal-fired power-plant model based on simple mathematical models for each component apart from the boiler was presented in []. The integrated model incorporates the economizer, the drum, and the superheater, and the outputs were the temperature and pressure of the water/steam. The nonlinear least-squares estimation method was used for the identification of the model parameters by fitting available plant data. The model was validated against operational data. The simulation was run for two consecutive 5%-load step changes, and the results showed that the mean square error for economizer pressure and temperature were 3.172 and 9.08, respectively, while for drum pressure and temperature were 1.42 and 11.38, respectively.
A coal-fired power plant detailed model was developed with in-house code in []. The commercial software MATLAB® was used for the simulation runs. The model was validated for four steady-state load operations in the range 50–100% and load-step transient operation against operational data from existing power plant. The relative error for steady-state simulation was in the range 0.8–3.3% and for the dynamic simulation in the range 0.16–3.1%. For the same model, an immune genetic algorithm was applied for parameter identification in []. The simulation results under monotonous load-ramping and the implementation of the immune genetic algorithm showed a decrease in relative errors between the previous two references. The relative error for steady-state simulation was in the range 0–3.47% and for the dynamic simulation in the range 0.51–4.64%. The average relative error comparison between the two references yielded a 50% reduction, indicating the beneficial application of the immune genetic algorithm.
A bituminous coal steam generator model was developed with commercial software APROS® in []. All coal and air nozzles of the burners per firing level and over-fire air nozzles were incorporated into the model. Moreover, the tilting mechanism of the burners was taken into account, indicating the high detail level achieved. The model was validated against manufacturer data for transient simulations and with a computational fluid dynamics model for steady-state simulations. Simulation runs for cold start-up were performed, and the results for the flue-gas and water/steam temperature and water/steam enthalpy revealed a relative error less than 5.1% for all steady-state simulations and a good agreement for the cold start-up simulation.
A coal-fired supercritical power plant was modeled with GSE software and presented in []. The model was validated against operational data. The steady-state simulations showed a relative error for water/steam temperature in the range of −2.13–3.85% and for pressure in the range of −2.89–4.76%. The transient simulations were performed under a load-cycling scenario with two ramping rates—8 MW/min and 20 MW/min—between 50% and 100% steam turbine thermal acceptance. The results demonstrated a maximum deviation in standard coal consumption variation rate of 1.21 g/kg h during the loading up and 0.81 g/kg h during the loading down.
2.3. Control and Fuel
A 300 MW coal-fired power-plant model with in-house code was developed and a coordinated control system was incorporated for dynamic simulations in []. The model was established on mass and energy balance equations and validated against operational data, and under high-pressure feedwater-preheater dismissal scenarios. The increased flexibility on the pre-heating system was further enhanced by the entailment of a throttle valve in the steam turbine extraction line. The simulation results for step-change load of 20 MW and ramping-up of 5 MW/min showed a very good agreement with the operational data and a maximum relative error not exceeding 8%.
A coal-fired power plant and a post-combustion CO2 capture plant with their control system were modeled in the gPROMS/gCCS platform in []. The model was validated against operational data. The simulation scenarios were aimed at testing the proposed centralized predictive control system of the plant. Three different control scenarios were simulated: a normal operation of the plant, a load step change in power output, and finally a strict CO2 capture rate. Results for the first scenario showed a delay of 11 min for new power output set point, and 9 min for the new CO2 capture rate, while for the second scenario only an overshoot of 0.0021 MW was noted. Finally, for the third scenario, the CO2 capture ratio deviation resulted in being only 1.7% higher than the set point.
A coal-fired power plant with a post-combustion CO2 capture plant model and a neural network control system model was presented in []. The model was developed in the gPROMS/gCCS platform. The model validation was performed against operational data retrieved from the plant. The simulation scenarios included three sets: (i) a ±5%/5 min change for the coal mass flow rate, feedwater flow rate, main steam valve position, lean solvent flow rate, and steam draw-off flow rate; (ii) a 18.1% step change in load set point from 65.6% to 83.8% load; and (iii) a 40% step change in CO2 capture rate from 90% to 50% load and back. The simulation results for the last two sets were performed for conventional control, neural, and improved neural control, disclosing the advanced capability of the latter to achieve stable operation within 10 min.
A drum-boiler model was developed based on [], and the incorporated control system was optimized for start-up procedure and presented in []. The developed generic drum-boiler model and the control system were applied to a 700 MW coal-fired plant and simulated for start-up optimization. Three inputs were controlled from the model: the feedwater mass flow rate, the heat input, and the steam-outlet control-valve position. The thermal stress incurred to thick-wall components was an additional constrain to the simulation-monitored limits. The simulation results showed that start-up reduction duration from 45 min to 30 min is feasible, while thermal stress limits were respected.
A conceptual coal oxy-combustion power plant and the relevant control system were modeled and presented in []. The model build-up and the transient simulations were executed with Aspen Plus® and Aspen Plus® Dynamics, respectively. Three different simulation categories were performed: (i) a load change from 80% to 100% load and vice versa with a ramp rate of 2%/min; (ii) an oxygen purity change from 95% to 99% with a ramp rate of 0.2%/min; and (iii) an air leakage with a step change of 50% increase. The simulation results for load ramp rate showed an oscillation in main steam temperature of ±3 °C and in reheated steam of −0.5 °C to + 1 °C. The oxygen purity simulation results exhibited a decrease in oxygen flow rate with a rate of 0.23%/min, an increase in CO2, SOx, and CO concentration in flue gas, and slight fluctuations in main and reheated steam temperature. Finally, the air leakage simulation displayed a temperature peak in flue gas and a few fluctuations in the main and reheated steam temperatures with a recovery time of about 3 min. The mode-switching process and alternative control strategies were applied, showing that the O2 control of the flue gas would be more efficient than the O2 control of the oxidant.
A coal power plant was modeled in [], validated against operational data. The model was developed with in-house code in MATLAB®/Simulink® and a predictive control model was applied in []. The use of genetic algorithms was used, and the model was validated for the load range of 30% to 100%. Two 20 MW, equal to 3.3% step-down and up-load changes, were simulated and predictive control was applied. The specific influence of the coal-mill control was taken into consideration for the simulations. The results showed a more rapid convergence of the plant output to the set point when the predictive control strategy was applied against the current one. A more in-depth approach in coal-mill operation and control are available in [,]. The reader may refer to those, since the analysis of coal-mill operation goes beyond the scope of this paper.
3. Off-Design Operation
The off-design operation of a solid-fuel power plant is considered to be operation under extreme conditions exceeding foreseen operation procedures and limits. Power plants have a control system calibrated to allow specific handling of different components, aided by monitoring signals. This system is defined based on operational limits of the plant regarding nominal and alarm values of specific measured magnitudes, such as water/steam temperature/pressure/mass flow, flame temperature, metallic surface temperatures, etc. The operational limits are defined during the design phase and under the scope of power-plant service. Process simulation tools are used to simulate unforeseen operation points with different scenarios applied each time, and provide important results regarding power plant efficiency, economics, components stress, etc. The references mainly focusing on the various aspects of a solid-fuel power-plant off-design operation are summarized in Table 2. The off-design feature of the references is included and thus proposes a classification of these.

Table 2.
Summary of power plants off-design operation modeling.
In the modeling approach of the off-design operation, the driving force is the identification of the flexibility factors that could have a major impact on plant operation. Thus, a very big and rapid change in plant parameters or even a component failure was transformed into operational simulation scenarios. The classification followed the same path as the flexible operation, but the inputs were extremely different taking consideration of very low load-operation demand from the grid, a very rapid response for grid frequency support, fluctuations in the fuel composition, and/or the oxidant composition.
Steady-state simulations have emphasized the low-load operation. The focus was on flame stability at low fuel and air flow rates, and minimum coal mills in operation. Another critical aspect was fuel composition in terms of calorific value and moisture content (e.g., high-moisture-content lignite). Moving to a ramping-rate flexibility factor, the transient simulations are indispensable. The application of very rapid load changes and load step changes required detailed modeling of the power plant for the air/fuel and steam-cycle system. The main findings were the material tolerance of the thick-wall components of the steam-cycle system (headers, drum, and steam separator) and the dynamic response of the air/fuel system, mainly for the coal mills. The environmental aspect of the low-load operation and fast ramping, in terms of pollutant emission, has gained importance since these operating conditions have already increased and cycling operation has gained ground against conventional, steady load operation. Modeling the combustion and the pollutant formation under rapid changes of air/fuel mass flow and temperature variation has showed its importance for the mitigation measures needed.
The integration of control systems to thermodynamic models has proven the added value of adapting and tuning the controls of a power plant by taking into account the dynamic responses of all plant components. The level of detail implemented in the model from the air/fuel and steam cycle system is directly related to the ability of the integrated control system to act and react to predefined fluctuations in input variables. The decrease of the start-up duration or the faster response to a frequency fluctuation were important aspects to tackle for the economic viability of solid-fuel power plants. Finally, the undesired operation of the plant or an accident during operation were two similar operating scenarios for dynamic simulations. These simulations were performed under the scope of identifying hazards implied by a fuel trip, a blackout, extremely high ambient temperatures, a component failure, or even a fast load change. The thermal stresses developed by the steam-cycle components were proven to be very high in the list of the damages. The identification of the most affected components during an accident indicates the proper countermeasures to be taken for personnel and equipment safety.
3.1. Minimum Load—Part Load
Reaching new technical minimum load is a challenging task for solid-fuel power plants, as flame stability, fuel consistency, and fuel feeding system are the primary aspects under investigation. In [] a mathematical model was developed to simulate four small-scale combined heat and power (CHP) plants under partial load. The boiler types were one grate and three bubbling fluidized bed (BFB) with wood fuel as feedstock. The potential beneficial operation of long periods of time at partial load related to energy market deregulation by achieving new minimum load was demonstrated. Four models were developed with ProSim software for each CHP plant, and steady-state simulations were performed. A 35% load was simulated for the two BFB plants with higher capacity—11 MW and 14 MW—while a 45% load was simulated for the last BFB plant and the grate plant—6.1 MW and 1.8 MW, respectively. The input variables were the district heating load and the temperature of the district heating water output temperature. Different linear-regression methods were applied to calculate annual electricity production and income for these four power plants. Net power production shows a small nonlinear reduction against district heating production at part-load operation, which is attributed to the steam turbine isentropic efficiency factor. The part-load behavior of the plant and the consequent optimization of the production, yielding higher income, can be effortlessly calculated with the proposed linear methods.
The part-load and low-load operation affects the combustion and the flue-gas concentration regarding controlled emissions. Flue-gas cleaning devices are heavily affected, thus resulting in elevated plant emissions. In [] a supercritical pulverized coal-fueled power plant was modeled and simulated under partial loads, with the addition of a feedwater preheater between last preheater and economizer. A thermodynamic analysis and a lifecycle assessment (LCA) was conducted with the help of simulation results. The model was developed with GSE software. The model comprised the thermodynamic cycle, the pollutant formation, and the flue-gas cleaning devices. The latter included a selective catalytic reactor, an electrostatic precipitator, and a flue-gas desulphurization unit. The key pollutant emissions to air, e.g., CO2, SO2, NOx, CO, CH4, NMVOC (non-methane volatile organic compounds), PM2.5 (particulates), and Hg, were included. Impacts of those pollutants were classified based on their influence on environmental damage, human health, and energy depletion. Steady-state simulations were performed for four nominal loads, viz. 100%, 70%, 50%, and 40% serving as validation loads, yielding a good agreement against the plant design data. The simulation results for a 30% load, below the plant minimum load of 40%, regarding the flue-gas cleaning devices, resulted in their low-load efficiency. The coupled LCA analysis disclosed the rapid increase of the environmental impact at very low loads when compared with 100% load. The addition of the preheater as a countermeasure was deemed appropriate for emission mitigation.
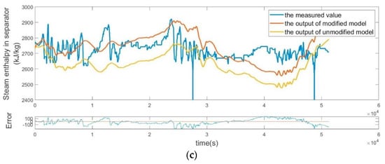
The operation of a supercritical once-through boiler was modeled with an in-house code developed for this task []. A nonlinear model of the plant was developed. Coal was used as feedstock, but variable coal quality was taken as a parameter for the simulations. Transient simulations were performed with a standard and an improved version of the code in the range of 30–100% load. Unit load, main steam pressure, separator steam enthalpy, and feedwater enthalpy were calculated against time, and error values were provided against the design data. The standard and the improved version of the in-house code yielded a mean absolute relative error for all magnitudes less than 2.5% and 3.8%, respectively (Figure 2). The overall performance of the model and the simulation results could sufficiently predict the low-load operation of the plant.


Figure 2.
Comparison between measurements (blue line), unmodified (yellow line) and modified model (orange line) for: (a) unit load; (b) main steam pressure; (c) steam enthalpy in separator; Reprint with permission []; 2019, Elsevier.
The fleet of existing plants is phasing, changing, and demanding market conditions. This drives them to expand their design load range and reach new technical minimum load. In [] this is presented for a Polish coal-fired power plant. Ebsilon® Professional software was used to model a 225 MWe coal-fired power plant and validated against operational data retrieved from an in situ test campaign. The design technical minimum load of the power plant was 60%, and during the campaign a load decrease from 60% to 40% was performed, where the flame stability issues had been successfully phased, and the boiler sustained combustion with three mills in operation without the support of oil burners. The simulation results showed a significant drop in power-plant live-steam parameters and flue-gas temperature (Figure 3). The first is responsible for decreasing plant efficiency and the second is responsible for flue-gas condensation as temperature lies within the acid dewpoint. The latter affected the fouling in the heating surfaces and the corrosion in the last heating surfaces and the electrostatic precipitator surfaces. De-NOx installations were proposed as countermeasures for low-load operation.


Figure 3.
Comparison of heat exchangers for different load levels (100% blue, 60% red, 40% green) for: (a) power Q; (b) steam temperature difference ∆T at the inlet and outlet for each heat exchanger; Reprint with permission []; 2017, IOP Publishing Ltd.
The availability of measurements for new technical minimum-load operation is not routine regarding the dangers that such a campaign could imply to equipment. The following work develops a method to predict new technical minimum operation of a lignite-fired power plant []. The lignite-fired power plant of 340 MWe was modeled in Aspen Plus® software and validated against measurements retrieved from the distributed control system (DCS) of the power plant. Results were also compared against computational fluid dynamics (CFD) simulation results for the plant boiler. The use of pre-dried lignite was promoted as supporting fuel for reaching new technical minimum load in the place of heavy-fuel oil. A predictive method was developed based on the e-NTU method for the definition of heat transfer parameters for each heating surface (Figure 4). The new technical minimum load of 35% was simulated and results were compared against CFD simulations with very good agreement. The developed method served as a decision tool for the future use of pre-drying as a flexibility factor for power plants. The combined analysis of the dynamic simulation results with the economic analysis is presented in [,], showcasing the economic benefits of reaching lower operational load.

Figure 4.
UA factor of boiler heat exchangers at various operation loads (100% blue, 80% orange, 60% grey, 35% yellow); Reprint with permission []; 2017, Elsevier.
A biomass-fired power plant was modeled and simulated in [] and validated against experimental data from a lab-scale rig. The focus was afterwards shifted in [] where the same model underwent on-design and low off-design steady-state load simulations. SimECS was used for the model development and Cycle-tempo was used for the steady-state simulation result validation. The transient simulations of a 3%/min step change and the 3.3%/min were qualitatively validated. The simulation results showed for steady-state on-design operation a maximum deviation difference of 1.7% and for the off-design operation a maximum deviation difference of 6.0%(Figure 5). Transient simulations confirmed that the response of the parameters under off-design operation requires almost twice the time as the same under on-design operation.

Figure 5.
Transients for a 50% ramp decrease of the entering flue-gas mass flow at design conditions: (a) ramp on flue-gas mass flow (fFGE); (b) feedwater (fFW) and steam (fC) mass flows; (c) evaporator pressure (Pevap); (d) volume fraction of steam inside the evaporator (y); (e) turbine-inlet temperature (TTE) and (f) turbine mechanical (mech); Reprint with permission []; 2007, Elsevier.
3.2. Ramping Rate
The training of plant operators is a crucial aspect for the safe and economic operation of a plant. In [] the development of a boiler and a power-plant models are the heart of a training simulator for plant operators. The plant was coal-fired and consisted of six boilers, with a common steam collector and six turbines of 250 t/h steam capacity, and rated output of 60 MWe. An in-house library was built, EnergySIM, based on MATLAB®-SIMULINK® software. The purpose of the developed process model was to simulate highly realistic normal and abnormal operation modes of the power plant, within the range of 0–100% load. Transient simulations were performed for that purpose. The instructor incurred disturbances to the operation of the plant and the trainees were supposed to actively take measures against those. Realistic models provided real-life situations where the operators had to react fast and effectively without incurring damage to the plant.
Modern grids impose fast response requirements to power plants. Solid-fuel power plants are the most affected by these as they must cope with higher-than-designed ramping rates. Fast load changes were simulated for coal power plants in [] with 6%/min load change rate. The plant was modeled with ENBIPRO software. A grid frequency drop of 0.5 Hz was supposed to be covered by the plant, and thus different primary measures for ramping up were simulated. The thermal storage capacity of steel mass and steam were considered to affect the load change rate. A 6%/min load change was feasible by throttling the high-pressure steam at the turbine inlet and by increasing the mass flow injection.
Along the same lines, fast ramping rates beyond the design point were also simulated in []. A coal-fired power plant was modeled with ClaRa, a free open-source power-plant library in Modelica®/Dymola language. Additionally, the plant control system was incorporated into the model. A heat storage system was modeled as a flexibility option and the permissible load change rate of 2%/min was simulated. Two extra ramping rates were simulated as off-design features, viz. 4%/min and 6%/min load change rates. These extreme ramping rates proved feasible under the heat-system integration.
A similar approach of fast load changes were presented in [] for a coal-fired supercritical boiler. In-house code was developed for the model development. The model was validated against operational data. Boiler start-up simulations from cold, warm, and hot state were performed along with rapid load change. A ramping rate of 7.9%/min was achieved. The model was equipped with fuel mass flow-rate characteristics to simulate rapid load changes, boiler equipment failures, and different sliding curves (Figure 6).

Figure 6.
(a) Changes in the mass flow rate of steam and pressure at the SH4 (SuperHeater) outlet (at the boiler outlet) in the entire time of operation; (b) The mass flow rate of steam at the evaporator outlet in the entire period of operation under analysis; Reprint with permission []; 2019, Elsevier.
On the same lines, a dynamic plant operation optimization control system was simulated in []. A coal-fired subcritical power plant was modeled in the Modelica®/Dymola language and Modelon ThermalPower library. An optimization control system to supervise the existing control system was embedded into the model. Two case studies were simulated, with variables being high-pressure steam temperature and air temperature, and the steam flow rate for the high and intermediate pressure steam. The simulations resulted in higher efficiency, fuel savings, and reduced specific CO2 emission during load changes compared to steady-state operation.
The start-up optimization of an existing lignite-fired power plant was discussed in []. The plant was modeled in Modelica®/Dymola language and Modelon ThermalPower library. The control system was incorporated into the model. Thick-wall components were modeled in detail as well. The model was validated against operational data retrieved from the plant. Cold, warm, and hot start-ups with different rates were simulated, and thick-wall components inner/outer surface temperatures results were generated. A thermal-stress and life-consumption methodology was implemented. The duration of start-ups could decrease by 30% and the oil consumption by 70%. The most stressed thick-wall components could be identified at different operation scenarios (Figure 7).


Figure 7.
Simulation results during hot start-up for 8 of the most critical thick-walled components (SA3: spray attemperator 3. SH4 in/out: superheater 4 inlet/outlet, T-con. SH/RH: turbine connection to superheater/reheater, HP/IP-V: high/intermediate pressure valve, RH 2 out: reheater 2 outlet): (a) Maximum wall-temperature difference; (b) Maximum stress amplitude to endurance strength ratio; (c) Low cycle fatigue (EOH: equivalent operating hours);Reprint with permission []; 2017, Elsevier.
The thermal inertia of a power plant as flexibility parameter with two distinct options was presented in [,]. A coal-fired power-plant model was developed with GSE software and validated against operational data. The model was simulated under two options, viz. a thermal storage use option and a thermal system regulation and configuration option. The flexibility aspect was under consideration regarding the ability of the plant to respond to primary frequency control regulation (Figure 8). Both options proved feasible and met primary and secondary frequency control regulations. The configuration option was fit for power-up regulation.


Figure 8.
Operational flexibility metrics of a power system under 5 distinct measures (TES1/2/3: throttling extraction steam scenarios 1/2/3, FWB1/2: feedwater bypass scenarios 1/2): (a) Average power ramp rate within 1 min; (b) Power capacity and required time; (c) Energy capacity; Reprint with permission []; 2018, Elsevier.
A pressure drop with relevant fuel input increase option for rapid load rise was presented in []. A supercritical coal-fired power plant was modeled with an in-house developed code, to simulate a fast load change of 5%/30 s as a power-grid requirement. The simulations resulted in the feasibility of the abovementioned flexibility option.
The flexibility option of an external heat source to the pre-heating system of a fossil-fueled power plant was investigated in []. A coal-fired plant was modeled in APROS®. External heat sources such as gas-turbine flue gases and an industrial steam line providing transient heat input to the pre-heating system of the plant were simulated as fast-load-change options. The feasibility of these two options was proved, and yielded a 2.7 MW/min load increase. Additionally, the gas-turbine flue-gas option resulted in a 2% efficiency increase and a subsequent CO2 emission decrease of 220 ktons per annum.
A 48 MWe municipal solid waste-fired CHP plant is modeled and simulated under 10%-load step changes scenario, different load-ramping rates, and sinusoidal load disturbances with a variety of frequencies in []. The power plant was equipped with a circulating fluidized bed (CFB) boiler. The model was developed in Modelica®/Dymola language, Modelon ThermalPower library, and validated against operational data retrieved from the plant during dedicated measurement campaigns. During those, steady-state and transient data were collected. The simulations incorporated a quartet of ramping rates—2, 4, 8 and 16%/min—a 10%-load step change, and a sinusoidal load disturbance, yielding results concerning the behavior of power and heat output. The different simulation modes affecting both the power output and the heat output of the plant were presented. The load step changes revealed that more time for reaching a new steady state is required when applying a load step-down. The application of a doubling of the nominal ramping rate, from 2%/min to 4%/min, effectuated a decrease of 42% of the time needed for the power output to reach the new steady value. The sinusoidal load disturbances with fixed amplitude of 10% load and different frequencies revealed that a period of 1000 s is the minimum for a meaningful load change to occur. The combined analysis of the dynamic simulation results with economic analysis is presented in [], showcasing the economic benefits from increasing the plant flexibility.
3.3. Control and Fuel
A coal-fired power plant and the control system, modeled with Aspen Plus® Dynamics and verified against benchmark data provided by a US Department of Energy report [] from the authors’ previous work [], was presented in []. The off-design flexibility option simulated was the adequate control system configuration for switching from air mode to oxy mode and vice versa, while in operation (Figure 9). The simulation results denoted a minimum switching time of 17 min.

Figure 9.
Comparison of primary gas components for different switching times (2 h and 17 h) from air mode to oxy mode using the similar control strategy; Reprint with permission []; 2014, Elsevier.
A circulating fluidized-bed power plant with control and carbon-capture systems was modeled in APROS® software and presented in []. The scope of that work was also the determination of a minimum safe switch from air-mode to oxy-mode operation time. The linear ramping of relevant mass flow rates was selected as control strategy. Twenty minutes ramping duration was simulated for both switches. The results for the forward switch, from air mode to oxy mode, showed that the plant reached steady-state conditions in 37 min, while for the reverse switch the plant reached steady-state conditions in 24–25 min.
A CHP plant and its control system was modeled with in-house code for the purpose of simulating load-follow operation in []. The model was validated against operational data. The CHP plants are designed to operate on heat-load demand mode. A combined strategy of two control strategies, a coordinated control strategy and a heat-source regulation strategy, was proposed. This combination of control strategies yielded an increase of up to 4%/min ramping rate and a reduction in time response to load-follow command.
A coal power-plant model from [] underwent different simulation runs and was presented in [] where the focus was shifted towards the reheated steam temperature control under cycling operation. The ramping-up and -down rate was the main simulation parameter within the range 1%/min–6%/min. The results showed a considerable flattening of reheated steam temperature overshoots during ramping-up and especially during ramping-down (Figure 10). Additionally, a ramping rate of 4%/min proved feasible with no extra negative impact on the boiler parts.


Figure 10.
Real-time steam temperatures (rh2: reheater 2, rh1: reheater 1, ms: main steam) with original and revised logics (BMCR: boiler maximum continuous rate): (a) During the loading-up process with 5% BMCR/min rate; (b) During the loading-up process with 6% BMCR/min rate; (c) During the loading-down process with 5% BMCR/min rate; (d) During the loading-down process with 6% BMCR/min rate; Reprint with permission []; 2020, Elsevier.
Three different boiler-control systems were incorporated to the coal-fired power-plant model developed with Aspen Plus® Dynamics and were presented in []. The model was validated against benchmark data []. A load decrease from 100% to 40% load with 3%/min ramping rate simulation revealed that a minimum of 7 °C deviation in the superheated steam is feasible for the third proposed control system. Additionally, a disturbance in the coal feed composition of 2.6% in calorific value was simulated, which showed a maximum deviation of 5 °C in the superheated steam for the same control system.
A lignite-fired power plant with an integrated dryer was modeled with Aspen Plus® software and presented in []. The model was validated against operational data. The model was simulated for full and two partial loads and lignite-dryer integrated operation. Three different drying technologies were integrated into the model. A technical and economic evaluation of pre-dried lignite as supporting fuel resulted in an increased plant efficiency operation when pre-dried lignite was used and a more economic operation for the 60% load (Figure 11).

Figure 11.
Comparative graphs for three loads with all three drying technologies (ref: reference, (Wirbelschichttrocknung mit interner Abwärmenutzung) WTA: fluidized-bed dryer with internal waste-heat use (WTA dryer), Tube: tube dryer, Drum: drum dryer); Reprint with permission []; 2019, American Society of Civil Engineers.
A lignite-fired power plant and a rotary dryer were modeled with an in-house code and presented in []. The integration of the dryer to the plant operation was simulated for full and part-load operation resulting in efficiency improvement for the 70–100% load range.
3.4. Undesired Operation and Accidents
A coal-fired power plant with control system model was developed with PC-TRAX software and validated against design and operational data in []. The simulations aimed to identify new control strategies in the event of a total load rejection at full-load operation, while the house load remained connected. Simulation results indicated a high low-vacuum value of 210 mmHg and a doubling of the heat load, compared to the full load, of the condenser. New control strategies are an essential part in the design phase of a power plant to ensure secure and satisfactory operation of the plant.
A master fuel trip and a total blackout as two accidents were simulated for an oxy-fuel coal-fired power plant []. The model was developed in APROS® software and incorporated the control system. Several parameters of the control system were analyzed for the master fuel trip, and a new control scenario was proposed. Regarding the blackout accident conditions, the simulation resulted in the lowest furnace pressure being −36 mbar and did not imply disastrous damage to furnace components.
A recycle fan trip followed by a master fuel trip was simulated for an oxy-fuel dry lignite power plant and was presented in []. The APROS® software was used and the model was validated against design data. A load change from 60% to 100% load was also simulated. The model contained one recirculating fan and two induced draft fans, the first after the fabric filters and the second before the stack. The dysfunction of the recycle fan from 100% to 0% operation within 15 s followed by a master fuel trip was a simulation scenario. Results depicted a decrease in negative furnace pressure equal to 12% of the design-head value of the first induced fan after 15 s. The furnace pressure was regained after a while with minor oscillations. The load change from 60% to full-load operation with a 2%/min ramping rate was also a simulation scenario that resulted in superheated and reheated steam oscillating in the ranges of +4 K and +2 K, respectively.
Off-design conditions of ambient air temperature and fuel moisture content were simulated and presented in []. The lignite-fired power plant with an integrated dryer and a waste-heat recovery system was modeled in GSE software. The waste-heat recovery system exchanged heat between the dryer exhaust gas, ambient air, and the condensate from the first water preheater. The impact of the ambient air temperature of up to 35 °C was analyzed and the results showed that the efficiency gain from the waste-heat recovery system was confirmed. The variation of fuel moisture content simulation scenario showed that the increased moisture content of the pre-dried lignite moved the plant efficiency to higher values too. The latter showed the beneficial impact of high-moisture lignite use in a power plant with an integrated dryer.
The scenario of one water preheater being out of service to maintain full-load operation was investigated in []. Three different thermodynamic cycles with dissimilar capacities—160, 210, and 434.7—were modeled with THERMOFLEX® software. All three cycles had different regenerative layouts and were simulated with one feedwater-preheater set out of order. Simulation results yielded an increase of the heat rate of the cycle when superheated, and reheated steam temperatures were kept constant (Figure 12). The higher the preheater pressure, the higher the impact. The exclusion of a feedwater preheater redistributed the steam-extraction flows with highest impact on the downstream feedwater heater. The decision to exclude the highest-pressure feedwater preheater was proposed as a strategy for full-load operation retention, when superheated and/or reheated steam temperature declined.

Figure 12.
Influence of having one feedwater heater out of service on HRNet (HRNet; net heat rate) for cycles O, S, and D for heating surfaces (LPH1/2/3/4: low pressure feedwater heater 1/2/3/4, HPH1/2/3: high-pressure feedwater heater 1/2/3); Reprint with permission []; 2019, John Wiley and Sons.
An non-conventional load change from 40% to 100% load was simulated in []. A coal-fired power plant detailed model was developed with Modelica® Modelon ThermoPower library. Each component of the plant and the whole plant was validated against operational data. One soft start-up and three load changes were simulated, and thermal-stress calculations were performed for fatigue evaluation. The unconventional load change of the plant yielded significantly higher fatigue percentages than the two conventional load changes (specifically within the 50% and 100% load) but this was still lower than the soft start-up. The soft start-up remained the most impactful operation for the plant components and especially the inlet and outlet headers of the convective heating surfaces (superheaters and reheaters) (Figure 13).

Figure 13.
For different base stress situations and heating surfaces inlet and outlet headers (SH1/2/3/4: superheater 1/2/3/4, RH1/2; reheater 1/2, i: inlet, o: outlet): (a) Fatigue; (b) Flaw growth in potentially pre-damaged thick-walled headers; Reprint with permission []; 2011, LiU Electronic Press.
4. Discussion
It is a reality that the comprehension of the flexible operation of solid-fuel power plants is very important for grid stability and the economic viability of such plants. Moreover, the development of a proper plant control system and strategies, equipment upgrade, and new materials for each power-plant system and its subsystems plays an important role. Process modeling can contribute towards the optimization of plant operation, improve plant dynamic performance, and define the design of new power plants.
Concerning the flexibility factors presented in the analysis, and in relation to the power-plant subsystems, it is important to include all the main components and equipment in the modeling work, since they can all have a considerable impact on the plant operation. The fuel preparation units (coal mills, pre-driers, etc.) have a major impact on the dynamic performance of combustion stability and pollutants formation. The control of such devices is crucial for economic low-load operation, beyond the current technical load limits. The dynamic simulation tools provide results in the identification of those most prone to thermal fatigue and damage components for the steam cycle. The thick-wall components of the steam cycle and their dynamic behavior under heavy cycling operation were identified. High ramping rates and short duration start-ups induced high temperature variations resulting in high thermal-stress development and material fatigue. The thick-wall components of the steam cycle were subject to these strains, and the crack formation was more likely to occur owing to temperature differences between internal and external surfaces and the high temperature gradients.
The features of undesired, unpredicted operation and accident simulations are feasible through dynamic process-modeling tools to provide valid interactions among the different systems of a power plant. The results from such simulations, subject to the detail level of the model, provided results for critical parameters for all the modeled components. Based on the simulation results’ analysis, the most affected components were identified, and mitigation strategies and accident handling protocols could be formed. Process-modeling tools for solid-fuel power-plant flexibility have proven their added value in the range of optimizing plant operation, but are not widely in use for plant design. Plant process models emphasizing the detail level of all the individual systems, the air/fuel system, the steam cycle system, and the control system need to be upgraded in the future. New-built solid-fuel power plants will have to address all the flexibility features to ensure their economic viability in a very demanding power grid. A general overview of these features and the potential methodologies for successful approaches to dynamic process modeling has been presented in this review.
5. Conclusions
The overall conclusion is that process modeling and steady-state but mostly dynamic simulation studies are proven tools, not only for calculating plant flexibility but also for predicting extreme operating conditions, including accidents. Such tools take into consideration the interaction of all systems incorporated into the model and the trade-off among them. Model detail and accuracy is subject to the study goals by taking into account real-time computational cost.
Off-design operation has been showcased as a very useful and a significant subcategory of power-plant flexibility. This work suggests an approach to define the thin line between flexibility and off-design operation by using identical classification, but showing the commonalities and differences between the two of them. Up-to-date published works were presented, providing a comprehensive guide to the present status, but also provisioning future works to cope with cross-class tasks.
Author Contributions
Conceptualization, I.A.; methodology, I.A.; writing—original draft preparation, I.A.; writing—review and editing, D.R.; supervision, D.R., S.K. and E.K. All authors have read and agreed to the published version of the manuscript.
Funding
This research received no external funding.
Conflicts of Interest
The authors declare no conflict of interest.
References
- IEA. Renewables 2019; IEA: Paris, France, 2019. [Google Scholar]
- IEA. Tracking Power; IEA: Paris, France, 2019. [Google Scholar]
- IRENA. Planning for the Renewable Future: Long-Term Modelling and Tools to Expand Variable Renewable Power in Emerging Economies; International Renewable Energy Agency: Abu Dhabi, UAE, 2017. [Google Scholar]
- IRENA. Renewable Energy Prospects for the European Union; International Renewable Energy Agency: Abu Dhabi, UAE, 2018. [Google Scholar]
- IEA; IRENA; UNSD; World Bank; WHO. Tracking SDG 7: The Energy Progress Report; World Bank: Washington, DC, USA, 2020. [Google Scholar]
- IEA. Status of Power System Transformation 2019; IEA: Paris, France, 2019. [Google Scholar]
- Kroposki, B. Integrating High Levels of Variable Renewable Energy into Electric Power Systems. Available online: https://www.nrel.gov/docs/fy17osti/68349.pdf (accessed on 30 May 2020).
- Henderson, C. Increasing the Flexibility of Coal-Fired Power Plants; CCC/242; IEA Clean Coal Centre: London, UK, 2014. [Google Scholar]
- Garðarsdóttir, S.Ó.; Göransson, L.; Normann, F.; Johnsson, F. Improving the flexibility of coal-fired power generators: Impact on the composition of a cost-optimal electricity system. Appl. Energy 2018, 209, 277–289. [Google Scholar] [CrossRef]
- Sloss, L. Levelling the Intermittency of Renewables with Coal; CCC/268; IEA Clean Coal Centre: London, UK, 2016. [Google Scholar]
- Göransson, L.; Goop, J.; Odenberger, M.; Johnsson, F. Impact of thermal plant cycling on the cost-optimal composition of a regional electricity generation system. Appl. Energy 2017, 197, 230–240. [Google Scholar] [CrossRef]
- Wiatros-Motyka, M. Power Plant Design and Management for Unit Cycling; CCC/295; IEA Clean Coal Centre: London, UK, 2019. [Google Scholar]
- Neshumayev, D.; Rummel, L.; Konist, A.; Ots, A.; Parve, T. Power plant fuel consumption rate during load cycling. Appl. Energy 2018, 224, 124–135. [Google Scholar] [CrossRef]
- Hungerford, Z.; Bruce, A.; MacGill, I. The value of flexible load in power systems with high renewable energy penetration. Energy 2019, 188, 115960. [Google Scholar] [CrossRef]
- Pawlak-Kruczek, H.; Niedźwiecki, Ł.; Ostrycharczyk, M.; Czerep, M.; Plutecki, Z. Potential and methods for increasing the flexibility and efficiency of the lignite fired power unit, using integrated lignite drying. Energy 2019, 181, 1142–1151. [Google Scholar] [CrossRef]
- Brouwer, A.S.; van den Broek, M.; Seebregts, A.; Faaij, A. Operational flexibility and economics of power plants in future low-carbon power systems. Appl. Energy 2015, 156, 107–128. [Google Scholar] [CrossRef]
- Zapata Riveros, J.; Bruninx, K.; Poncelet, K.; D’haeseleer, W. Bidding strategies for virtual power plants considering CHPs and intermittent renewables. Energy Convers. Manag. 2015, 103, 408–418. [Google Scholar] [CrossRef]
- Åström, K.J.; Bell, R.D. Drum-boiler dynamics. Automatica 2000, 36, 363–378. [Google Scholar] [CrossRef]
- Heimo, W.; Bernd, E. Numerical Simulation of Power Plants; Springer: Vienna, Austria, 2017. [Google Scholar]
- Ordys, A.; Pike, A.W.; Johnson, A.M.; Katebi, M.R.; Grimble, J.M. Modelling and Simulation of Power Generation Plants; Springer: London, UK, 1994. [Google Scholar]
- Dolezal, R. Simulation of Large State Variations in Steam Power Plants, Dynamics of Large Scale Systems; Springer: Berlin/Heidelberg, Germany, 1987. [Google Scholar]
- Annaratone, D. Steam Generators, Description and Design; Springer: Heidelberg, Germany, 2008. [Google Scholar]
- Bequette, B. Process Control: Modeling, Design, and Simulation/B.W. Bequette; IEEE Control Systems: New York, NY, USA, 2003. [Google Scholar]
- Alobaid, F. Numerical Simulation for Next Generation Thermal Power Plants; Springer International Publishing: Berlin, Germany, 2018. [Google Scholar]
- Atsonios, K.; Nesiadis, A.; Detsios, N.; Koutita, K.; Nikolopoulos, N.; Grammelis, P. Review on dynamic process modeling of gasification based biorefineries and bio-based heat & power plants. Fuel Process. Technol. 2020, 197, 106188. [Google Scholar] [CrossRef]
- Alobaid, F.; Mertens, N.; Starkloff, R.; Lanz, T.; Heinze, C.; Epple, B. Progress in dynamic simulation of thermal power plants. Progress Energy Combust. Sci. 2017, 59, 79–162. [Google Scholar] [CrossRef]
- Gonzalez-Salazar, M.A.; Kirsten, T.; Prchlik, L. Review of the operational flexibility and emissions of gas- and coal-fired power plants in a future with growing renewables. Renew. Sustain. Energy Rev. 2018, 82, 1497–1513. [Google Scholar] [CrossRef]
- Mac Dowell, N.; Shah, N. Dynamic modelling and analysis of a coal-fired power plant integrated with a novel split-flow configuration post-combustion CO2 capture process. Int. J. Greenh. Gas. Control 2014, 27, 103–119. [Google Scholar] [CrossRef]
- Mikulčić, H.; Ridjan Skov, I.; Dominković, D.F.; Wan Alwi, S.R.; Manan, Z.A.; Tan, R.; Duić, N.; Hidayah Mohamad, S.N.; Wang, X. Flexible Carbon Capture and Utilization technologies in future energy systems and the utilization pathways of captured CO2. Renew. Sustain. Energy Rev. 2019, 114, 109338. [Google Scholar] [CrossRef]
- Denholm, P.; Brinkman, G.; Mai, T. How low can you go? The importance of quantifying minimum generation levels for renewable integration. Energy Policy 2018, 115, 249–257. [Google Scholar] [CrossRef]
- Kumar, N.; Besuner, P.; Lefton, S.; Agan, D.; Hilleman, D. Power Plant Cycling Costs; National Renewable Energy Laboratory: Sunnyvale, CA, USA, 2012.
- Wang, J.; You, S.; Zong, Y.; Træholt, C.; Dong, Z.Y.; Zhou, Y. Flexibility of combined heat and power plants: A review of technologies and operation strategies. Appl. Energy 2019, 252, 113445. [Google Scholar] [CrossRef]
- Ali, U.; Akram, M.; Font-Palma, C.; Ingham, D.B.; Pourkashanian, M. Part-load performance of direct-firing and co-firing of coal and biomass in a power generation system integrated with a CO2 capture and compression system. Fuel 2017, 210, 873–884. [Google Scholar] [CrossRef]
- Dong, Y.; Jiang, X.; Liang, Z.; Yuan, J. Coal power flexibility, energy efficiency and pollutant emissions implications in China: A plant-level analysis based on case units. Resour. Conserv. Recycl. 2018, 134, 184–195. [Google Scholar] [CrossRef]
- Madejski, P.; Żymełka, P. Calculation methods of steam boiler operation factors under varying operating conditions with the use of computational thermodynamic modeling. Energy 2020, 197, 117221. [Google Scholar] [CrossRef]
- Huebel, M.; Berndt, A.; Meinke, S.; Richter, M.; Mutschler, P.; Hassel, E. Modelling a lignite power plant in modelica to evaluate the effects of dynamic operation and offering grid services. In Proceedings of the 10th International Modelica Conference, Lund, Sweden, 10–12 March 2014; pp. 1037–1046. [Google Scholar]
- Starkloff, R.; Alobaid, F.; Karner, K.; Epple, B.; Schmitz, M.; Boehm, F. Development and validation of a dynamic simulation model for a large coal-fired power plant. Appl. Therm. Eng. 2015, 91, 496–506. [Google Scholar] [CrossRef]
- Oko, E.; Wang, M. Dynamic modelling, validation and analysis of coal-fired subcritical power plant. Fuel 2014, 135, 292–300. [Google Scholar] [CrossRef]
- Alobaid, F.; Al-Maliki, W.A.K.; Lanz, T.; Haaf, M.; Brachthäuser, A.; Epple, B.; Zorbach, I. Dynamic simulation of a municipal solid waste incinerator. Energy 2018, 149, 230–249. [Google Scholar] [CrossRef]
- Kuczynski, K.J.; Fitzgerald, F.D.; Adams, D.; Glover, F.H.M.; White, V.; Chalmers, H.; Errey, O.; Stephenson, P. Dynamic modelling of oxyfuel power plant. Energy Procedia 2011, 4, 2541–2547. [Google Scholar] [CrossRef][Green Version]
- Luo, W.; Wang, Q.; Huang, X.; Liu, Z.; Zheng, C. Dynamic simulation and transient analysis of a 3MWth oxy-fuel combustion system. Int. J. Greenh. Gas Control 2015, 35, 138–149. [Google Scholar] [CrossRef]
- Hentschel, J.; Zindler, H.; Spliethoff, H. Modelling and transient simulation of a supercritical coal-fired power plant: Dynamic response to extended secondary control power output. Energy 2017, 137, 927–940. [Google Scholar] [CrossRef]
- Kakaras, E.; Doukelis, A.; Giannakopoulos, D.; Koumanakos, A. Economic implications of oxyfuel application in a lignite-fired power plant. Fuel 2007, 86, 2151–2158. [Google Scholar] [CrossRef]
- Kakaras, E.; Koumanakos, A.; Doukelis, A.; Giannakopoulos, D.; Vorrias, I. Oxyfuel boiler design in a lignite-fired power plant. Fuel 2007, 86, 2144–2150. [Google Scholar] [CrossRef]
- Haryanto, A.; Hong, K.-S. Modeling and simulation of an oxy-fuel combustion boiler system with flue gas recirculation. Comput. Chem. Eng. 2011, 35, 25–40. [Google Scholar] [CrossRef]
- Sreepradha, C.; Panda, R.C.; Bhuvaneswari, N.S. Mathematical model for integrated coal fired thermal boiler using physical laws. Energy 2017, 118, 985–998. [Google Scholar] [CrossRef]
- Liu, J.-Z.; Yan, S.; Zeng, D.-L.; Hu, Y.; Lv, Y. A dynamic model used for controller design of a coal fired once-through boiler-turbine unit. Energy 2015, 93, 2069–2078. [Google Scholar] [CrossRef]
- Fan, H.; Zhang, Y.-f.; Su, Z.-g.; Wang, B. A dynamic mathematical model of an ultra-supercritical coal fired once-through boiler-turbine unit. Appl. Energy 2017, 189, 654–666. [Google Scholar] [CrossRef]
- Rakopoulos, D.; Avagianos, I.; Almpanidis, D.; Nikolopoulos, N.; Grammelis, P. Dynamic Modeling of a Utility Once-Through Pulverized-Fuel Steam Generator. J. Energy Eng. 2017, 143, 04016070. [Google Scholar] [CrossRef]
- Wang, C.; Liu, M.; Li, B.; Liu, Y.; Yan, J. Thermodynamic analysis on the transient cycling of coal-fired power plants: Simulation study of a 660 MW supercritical unit. Energy 2017, 122, 505–527. [Google Scholar] [CrossRef]
- Zhou, Y.; Wang, D. An improved coordinated control technology for coal-fired boiler-turbine plant based on flexible steam extraction system. Appl. Therm. Eng. 2017, 125, 1047–1060. [Google Scholar] [CrossRef]
- Wu, X.; Wang, M.; Shen, J.; Li, Y.; Lawal, A.; Lee, K.Y. Flexible operation of coal fired power plant integrated with post combustion CO2 capture using model predictive control. Int. J. Greenh. Gas Control 2019, 82, 138–151. [Google Scholar] [CrossRef]
- Liao, P.; Li, Y.; Wu, X.; Wang, M.; Oko, E. Flexible operation of large-scale coal-fired power plant integrated with solvent-based post-combustion CO2 capture based on neural network inverse control. Int. J. Greenh. Gas Control 2020, 95, 102985. [Google Scholar] [CrossRef]
- Tiller, M.; Company, F.; Dearborn, U.; Tummescheit, H.; Hartford, U.; Franke, R.; Rode, M.; Krueger, K. On-line optimization of drum boiler startup. In Proceedings of the 3rd International Modelica Conference, Linköping, Sweden, 3–4 November 2003. [Google Scholar]
- Jin, B.; Zhao, H.; Zheng, C. Dynamic modeling and control for pulverized-coal-fired oxy-combustion boiler island. Int. J. Greenh. Gas Control 2014, 30, 97–117. [Google Scholar] [CrossRef]
- Mohamed, O.; Jihong, W.; Shen, G.; Duri, B.; Jianlin, W. Modelling Study Of Supercritical Power Plant And Parameter Identification Using Genetic Algorithms. In Proceedings of the World Congress on Engineering 2010, London, UK, 30 June–2 July 2010; pp. 973–978. [Google Scholar]
- Mohamed, O.; Al-Duri, B.; Wang, J. Predictive control strategy for a supercritical power plant and study of influences of coal mills control on its dynamic responses. In Proceedings of the 2012 UKACC International Conference on Control, Cardiff, UK, 3–5 September 2012; pp. 918–923. [Google Scholar]
- Wei, J.; Wang, J.; Guo, S. Mathematic modeling and condition monitoring of power station tube-ball mill systems. In Proceedings of the 2009 American Control Conference, St. Louis, MO, USA, 10–12 June 2009; pp. 4699–4704. [Google Scholar]
- Niemczyk, P.; Dimon Bendtsen, J.; Peter Ravn, A.; Andersen, P.; Søndergaard Pedersen, T. Derivation and validation of a coal mill model for control. Control Eng. Pract. 2012, 20, 519–530. [Google Scholar] [CrossRef]
- Savola, T.; Keppo, I. Off-design simulation and mathematical modeling of small-scale CHP plants at part loads. Appl. Therm. Eng. 2005, 25, 1219–1232. [Google Scholar] [CrossRef]
- Han, X.; Chen, N.; Yan, J.; Liu, J.; Liu, M.; Karellas, S. Thermodynamic analysis and life cycle assessment of supercritical pulverized coal-fired power plant integrated with No.0 feedwater pre-heater under partial loads. J. Clean. Prod. 2019, 233, 1106–1122. [Google Scholar] [CrossRef]
- Niu, Y.; Du, M.; Ge, W.; Luo, H.; Zhou, G. A dynamic nonlinear model for a once-through boiler-turbine unit in low load. Appl. Therm. Eng. 2019, 161, 113880. [Google Scholar] [CrossRef]
- Żyrkowski, M.; Żymełka, P. Modelling of flexible boiler operation in coal fired power plant. IOP Conf. Ser. Earth Environ. Sci. 2019, 214, 12074. [Google Scholar] [CrossRef]
- Avagianos, I.; Atsonios, K.; Nikolopoulos, N.; Grammelis, P.; Polonidis, N.; Papapavlou, C.; Kakaras, E. Predictive method for low load off-design operation of a lignite fired power plant. Fuel 2017, 209, 685–693. [Google Scholar] [CrossRef]
- Colonna, P.; van Putten, H. Dynamic modeling of steam power cycles.: Part I—Modeling paradigm and validation. Appl. Therm. Eng. 2007, 27, 467–480. [Google Scholar] [CrossRef]
- van Putten, H.; Colonna, P. Dynamic modeling of steam power cycles: Part II – Simulation of a small simple Rankine cycle system. Appl. Therm. Eng. 2007, 27, 2566–2582. [Google Scholar] [CrossRef]
- Neuman, P. Power Plant and Boiler Models for Operator Training Simulators. IFAC Proc. Vol. 2011, 44, 8259–8264. [Google Scholar] [CrossRef]
- Zindler, H.; Walter, H.; Hauschke, A.; Leithner, R. Dynamic Simulation of a 800 MWel Hard Coal One-Through Supercritical Power Plant to Fulfill the Great Britain Grid Code. In Proceedings of the 6th IASME/WSEAS International Conference on Heat Transfer, Thermal Engineering and Environment, Rhodes, Greece, 20–22 August 2008. [Google Scholar]
- Richter, M.; Möllenbruck, F.; Starinski, A.; Oeljeklaus, G.; Görner, K. Flexibilization of Coal-fired Power Plants by Dynamic Simulation. In Proceedings of the 11th International Modelica Conference, Versailles, France, 21–23 September 2015. No. 118. [Google Scholar]
- Taler, J.; Zima, W.; Ocłoń, P.; Grądziel, S.; Taler, D.; Cebula, A.; Jaremkiewicz, M.; Korzeń, A.; Cisek, P.; Kaczmarski, K.; et al. Mathematical model of a supercritical power boiler for simulating rapid changes in boiler thermal loading. Energy 2019, 175, 580–592. [Google Scholar] [CrossRef]
- Chen, C.; Bollas, G. Dynamic Optimization of a Subcritical Steam Power Plant Under Time-Varying Power Load. Processes 2018, 6, 114. [Google Scholar] [CrossRef]
- Hübel, M.; Meinke, S.; Andrén, M.T.; Wedding, C.; Nocke, J.; Gierow, C.; Hassel, E.; Funkquist, J. Modelling and simulation of a coal-fired power plant for start-up optimisation. Appl. Energy 2017, 208, 319–331. [Google Scholar] [CrossRef]
- Zhao, Y.; Wang, C.; Liu, M.; Chong, D.; Yan, J. Improving operational flexibility by regulating extraction steam of high-pressure heaters on a 660 MW supercritical coal-fired power plant: A dynamic simulation. Appl. Energy 2018, 212, 1295–1309. [Google Scholar] [CrossRef]
- Zhao, Y.; Liu, M.; Wang, C.; Li, X.; Chong, D.; Yan, J. Increasing operational flexibility of supercritical coal-fired power plants by regulating thermal system configuration during transient processes. Appl. Energy 2018, 228, 2375–2386. [Google Scholar] [CrossRef]
- Zima, W. Simulation of rapid increase in the steam mass flow rate at a supercritical power boiler outlet. Energy 2019, 173, 995–1005. [Google Scholar] [CrossRef]
- Roth, K.; Scherer, V.; Behnke, K. Enhancing the dynamic performance of electricity production in steam power plants by the integration of transient waste heat sources into the feed-water pre-heating. Int. J. Energy Technol. Policy 2005, 3. [Google Scholar] [CrossRef]
- Beiron, J.; Montañés, R.M.; Normann, F.; Johnsson, F. Dynamic modeling for assessment of steam cycle operation in waste-fired combined heat and power plants. Energy Conver. Manag. 2019, 198, 111926. [Google Scholar] [CrossRef]
- Jin, B.; Zhao, H.; Zheng, C. Dynamic simulation for mode switching strategy in a conceptual 600MWe oxy-combustion pulverized-coal-fired boiler. Fuel 2014, 137, 135–144. [Google Scholar] [CrossRef]
- Lappalainen, J.; Tourunen, A.; Mikkonen, H.; Hänninen, M.; Kovács, J. Modelling and dynamic simulation of a supercritical, oxy combustion circulating fluidized bed power plant concept—Firing mode switching case. Int. J. Greenh. Gas Control. 2014, 28, 11–24. [Google Scholar] [CrossRef]
- Wang, W.; Jing, S.; Sun, Y.; Liu, J.; Niu, Y.; Zeng, D.; Cui, C. Combined heat and power control considering thermal inertia of district heating network for flexible electric power regulation. Energy 2019, 169, 988–999. [Google Scholar] [CrossRef]
- Wang, C.; Qiao, Y.; Liu, M.; Zhao, Y.; Yan, J. Enhancing peak shaving capability by optimizing reheat-steam temperature control of a double-reheat boiler. Appl. Energy 2020, 260, 114341. [Google Scholar] [CrossRef]
- Sarda, P.; Hedrick, E.; Reynolds, K.; Bhattacharyya, D.; Zitney, E.S.; Omell, B. Development of a Dynamic Model and Control System for Load-Following Studies of Supercritical Pulverized Coal Power Plants. Processes 2018, 6, 226. [Google Scholar] [CrossRef]
- Avagianos, I.; Violidakis, I.; Karampinis, E.; Rakopoulos, D.; Nanos, E.; Polonidis, N.; Papapavlou, C.; Grammelis, P.; Kakaras, E. Thermal Simulation and Economic Study of Predried Lignite Production Retrofit of a Greek Power Plant for Enhanced Flexibility. J. Energy Eng. 2019, 145, 04019001. [Google Scholar] [CrossRef]
- Liu, M.; Yan, J.; Bai, B.; Chong, D.; Guo, X.; Xiao, F. Theoretical Study and Case Analysis for a Predried Lignite-Fired Power System. Dry Technol. 2011, 29, 1219–1229. [Google Scholar] [CrossRef]
- Peet, W.J.; Leung, T.K.P. Development and Application of a Dynamic Simulation Model for a Drum Type Boiler with Turbine Bypass System. In Proceedings of the International Power Engineering Conference, Singapore, 27 Feburary–1 March 1995. [Google Scholar]
- Starkloff, R.; Postler, R.; Al-Maliki, W.A.K.; Alobaid, F.; Epple, B. Investigation into gas dynamics in an oxyfuel coal fired boiler during master fuel trip and blackout. J. Process. Control 2016, 41, 67–75. [Google Scholar] [CrossRef]
- Postler, R.; Epple, B.; Kluger, F.; Mönkert, P.; Heinz, G. Dynamic Process Simulation Model of an Oxyfuel 250 MWel Demonstration Power Plant. In Proceedings of the 2nd OxyFuel Combustion Conference, Queensland, Australia, 12–16 September 2011. [Google Scholar]
- Han, X.; Liu, M.; Zhai, M.; Chong, D.; Yan, J.; Xiao, F. Investigation on the off-design performances of flue gas pre-dried lignite-fired power system integrated with waste heat recovery at variable external working conditions. Energy 2015, 90, 1743–1758. [Google Scholar] [CrossRef]
- Riesgo, A.; Folgueras, M.B. One feedwater heater taken out of service as a strategy to maintain full load and its effect on steam power cycle parameters and performance. Int. J. Energy Res. 2019, 43, 2296–2311. [Google Scholar] [CrossRef]
- Meinke, S.; Gottelt, F.; Müller, M.; Hassel, E. Modeling of Coal-Fired Power Units with ThermoPower Focussing on Start-Up Process. In Proceedings of the 8th Modelica conferenc, Dresden, Germany, 20–22 March 2011. [Google Scholar]
- Atsonios, K.; Violidakis, I.; Sfetsioris, K.; Rakopoulos, D.C.; Grammelis, P.; Kakaras, E. Pre-dried lignite technology implementation in partial load/low demand cases for flexibility enhancement. Energy 2016, 96, 427–436. [Google Scholar] [CrossRef]
- Beiron, J.; Montañés, R.M.; Normann, F.; Johnsson, F. Combined heat and power operational modes for increased product flexibility in a waste incineration plant. Energy 2020, 202, 117696. [Google Scholar] [CrossRef]
- Ciferno, J. Pulverized Coal Oxycombustion Power Plants; Final Report; NETL; DOE: Washington, DC, USA, 2007.
- Xiong, J.; Zhao, H.; Zheng, C. Exergy Analysis of a 600 MWe Oxy-combustion Pulverized-Coal-Fired Power Plant. Energy Fuels 2011, 25, 3854–3864. [Google Scholar] [CrossRef]
- Zoelle, A.; Keairns, D.; Pinkerton, L.L.; Turner, M.J.; Woods, M.; Kuehn, N.; Shah, V.; Chou, V. Cost and Performance Baseline for Fossil Energy Plants Volume 1a: Bituminous Coal (PC) and Natural Gas. to Electricity Revision 3; NETL: Pittsburgh, PA, USA, 6 July 2015.
Publisher’s Note: MDPI stays neutral with regard to jurisdictional claims in published maps and institutional affiliations. |
© 2020 by the authors. Licensee MDPI, Basel, Switzerland. This article is an open access article distributed under the terms and conditions of the Creative Commons Attribution (CC BY) license (http://creativecommons.org/licenses/by/4.0/).