Application of Phase Change Tracking Approach in Predicting Condensate Blockage in Tight, Low, and High Permeability Reservoirs
Abstract
1. Introduction
1.1. Model Construction
1.2. Global Grid Analysis
1.3. Local Grid Analysis
2. Methodology
- An evaluation of the effect of variation in absolute permeability on the three regions proposed by Fevang and Whitson [6].
- An assessment of global and local grid block cells within and around the wellbore.
- Prediction of the occurrence of condensate saturation in each region of the reservoir as a function of time for each grid block based on the phase tracking approach proposed by Bilotu Onoabhagbe et al. [25].
- Calculation of the condensate formation, immobile phase and percentage difference in condensate saturation by assuming a logarithmic relationship with permeability.
3. Results and Discussion
3.1. Impact of Variation in Global and Local Permeability on Condensate Formation
3.2. Impact of Variation in Permeability on the Length of Time of Each Region
3.2.1. Region 1: Condensate and Gas Are Both Mobile
3.2.2. Region 2: Only Gas Is Mobile, and the Condensate Is Immobile
3.2.3. Region 3: Only the Gas Phase Exists
3.3. Impact of Permeability on Different Stages of Production Near the Wellbore
3.4. Comparison of Immobile Phase and Percentage Difference in Condensate Saturation
3.5. Gas Composition Tracking
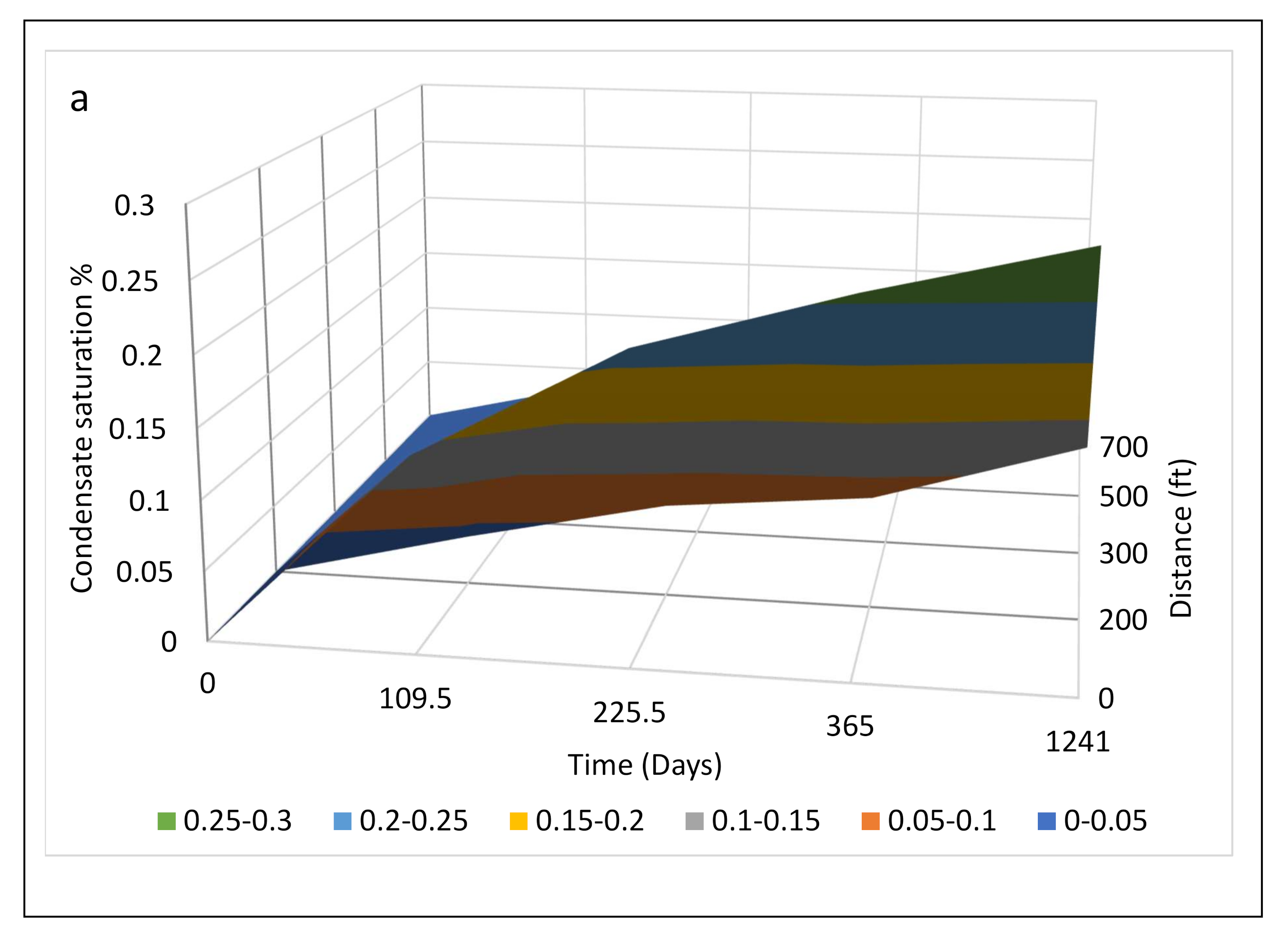
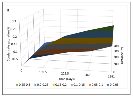
3.6. Time, Distance, and Condensate Concentration and Variation in Permeability
4. Conclusions
Author Contributions
Funding
Acknowledgments
Conflicts of Interest
References
- Holditch, S.A. Tight gas sands. J. Pet. Technol. 2006, 58, 86–93. [Google Scholar] [CrossRef]
- Bennion, D.B.; Thomas, F.B.; Bietz, R.F. Low permeability gas reservoirs: Problems, opportunities and solutions for drilling, completion, stimulation and production. In Proceedings of the SPE Gas Technology Symposium, Calgary, AB, Canada, 28 April–1 May 1996. [Google Scholar]
- Ayyalasomayajula, P.; Silpngarmlers, N.; Kamath, J. Well deliverability predictions for a low-permeability gas/condensate reservoir. In Proceedings of the SPE Annual Technical Conference and Exhibition, Dallas, TX, USA, 9–12 October 2005. [Google Scholar]
- Clarkson, C.R.; Qanbari, F. History matching and forecasting tight gas condensate and oil wells by use of an approximate semi-analytical model derived from the dynamic-drainage-area concept. SPE Reserv. Eval. Eng. 2016, 19, 540–552. [Google Scholar] [CrossRef]
- Kamath, J. Deliverability of gas-condensate reservoirs: Field experiences and prediction techniques. J. Pet. Technol. 2007, 59, 94–99. [Google Scholar] [CrossRef]
- Fevang, Ø.; Whitson, C.H. Modelling gas-condensate well deliverability. SPE Reserv. Eng. 1996, 11, 221–230. [Google Scholar] [CrossRef]
- Kniazeff, V.J.; Naville, S.A. Two-phase flow of volatile hydrocarbons. Soc. Pet. Eng. J. 1965, 5, 37–44. [Google Scholar] [CrossRef]
- Ahmadi, M.; Sharifi, M.; Hashemi, A. Comparison of simulation methods in gas condensate reservoirs. Pet. Sci. Technol. 2014, 32, 761–771. [Google Scholar] [CrossRef]
- Shi, C. Flow Behaviour of Gas-Condensate Wells. Ph.D. Thesis, Stanford University, Stanford, CA, USA, 2009. [Google Scholar]
- Bennion, D.B.; Bietz, R.F.; Thomas, F.B.; Cimolai, M.P. Reductions in the productivity of oil and low permeability gas reservoirs due to aqueous phase trapping. J. Can. Pet. Technol. 1994, 33. [Google Scholar] [CrossRef]
- Fairhurst, D.L.; Indriati, S.; Reynolds, B.W.; Lewis, J.W.; Holcomb, M.W.; Starr, F.F. Advanced technology completion strategies for marginal tight gas sand reservoirs: A production optimization case study in South Texas. In Proceedings of the SPE Annual Technical Conference and Exhibition, Anaheim, CA, USA, 11–14 November 2007. [Google Scholar]
- Fevang, Ø.; Whitson, C.H.; Trondheim, N. Modelling gas condensate well deliverability. In Proceedings of the SPE Annual Technical Conference and Exhibition, Dallas, TX, USA, 22–25 October 1995. [Google Scholar]
- Penuela, G.; Civan, F. Gas-condensate well test analysis with and without relative permeability curves. In Proceedings of the SPE Annual Technical Conference and Exhibition, Dallas, TX, USA, 1–4 October 2000. [Google Scholar]
- Gringarten, A.C.; Al-Lamki, A.; Daungkaew, S.; Mott, R.; Whittle, T.M. Well test analysis in gas condensate reservoirs. In Proceedings of the SPE Annual Technical Conference and Exhibition, Dallas, TX, USA, 1–4 October 2000. [Google Scholar]
- Roussennac, B. Gas Condensate Well Test Analysis. Ph.D. Thesis, Stanford University, Stanford, CA, USA, 2000. [Google Scholar]
- Rajeev, R.L. Well testing in gas-condensate reservoirs. Master’s Thesis, Stanford University, Stanford, CA, USA, 2003. [Google Scholar]
- Hashemi, A.; Nicolas, L.; Gringarten, A.C. Well test analysis of horizontal wells in gas-condensate reservoirs. SPE Reserv. Eval. Eng. 2006, 9, 86–99. [Google Scholar] [CrossRef]
- Al Ismail, M.I. Field Observations of Gas-Condensate Well Testing. Ph.D. Thesis, Stanford University, Stanford, CA, USA, 2010. [Google Scholar]
- Al Ismail, M.I.; Horne, R.N. An investigation of gas-condensate flow in liquid-rich shales. In Proceedings of the SPE Unconventional Resources Conference, Woodlands, TX, USA, 1–3 April 2014. [Google Scholar]
- Yu, S. A new methodology to predict condensate production in tight/shale retrograde gas reservoirs. In Proceedings of the SPE Unconventional Resources Conference, Woodlands, TX, USA, 1–3 April 2014. [Google Scholar]
- Allahyari, M.; Aminshahidy, B.; Sanati, A.; Taghikhani, V. Analysis of near well-bore behaviour of gas condensate reservoir in production stage. Pet. Sci. Technol. 2012, 30, 2594–2603. [Google Scholar] [CrossRef]
- Orodu, O.D.; Ako, C.T.; Makinde, F.A.; Owarume, M.O. Well deliverability predictions of gas flow in gas-condensate reservoirs, modelling near-critical wellbore problem of two-phase flow in 1-dimension. Braz. J. Pet. Gas 2012, 6. [Google Scholar] [CrossRef]
- Marhaendrajan, T.; Kartawidjaya, A. Parametrical study on retrograde gas reservoir behaviour. J. Transl. Med. 2007, 14, 133. [Google Scholar]
- Khazam, M.M.; Abu Grin, Z.Y.; Elhajjaji, R.R.; Sherik, A.A. The impact of condensate blockage on gas well deliverability: Part 1. In Proceedings of the SPE Kuwait Oil and Gas Show and Conference, Kuwait City, Kuwait, 15–18 October 2017. [Google Scholar]
- Bilotu Onoabhagbe, B.; Rezaei Gomari, S.; Russell, P.; Ugwu, J.; Ubogu, B.T. Phase change tracking approach to predict the timing of condensate formation and its distance from the wellbore in gas condensate reservoirs. Fluids 2019, 4, 71. [Google Scholar] [CrossRef]
- Kenyon, D. Third SPE comparative solution project: Gas cycling of retrograde condensate reservoirs. J. Pet. Technol. 1987, 39, 981–997. [Google Scholar] [CrossRef]
- Valencia, K.L.; Chen, Z.; Rahman, M.K.; Rahman, S.S. An integrated model for the design and evaluation of multiwell hydraulic fracture treatments for gas-condensate reservoirs. In Proceedings of the SPE International Improved Oil Recovery Conference in Asia Pacific, Kuala Lumpur, Malaysia, 20–21 October 2003. [Google Scholar]




















| Permeability Variation K(mD) | Region 1 (Days) | Region 2 (Days) | Region 3 (Days) | Maximum Condensate |
|---|---|---|---|---|
| Saturation (%) | ||||
| 1 | 620.5 | 4818 | 0 | 34 |
| 5 | 620.5 | 3358 | 1460 | 30 |
| 7.5 | 620.5 | 2993 | 1825 | 30 |
| 10 | 912.5 | 2628 | 1898 | 28 |
| 15 | 912.5 | 2482 | 2044 | 27 |
| 20 | 1204.5 | 2190 | 2044 | 26 |
| 30 | 1496.5 | 1825 | 2117 | 24 |
| 50 | 1496.5 | 1825 | 2117 | 22 |
| 75 | 1496.5 | 1825 | 2117 | 21 |
| 100 Basecase | 1496.5 | 1898 | 2044 | 21 |
| Permeability Variation K(mD) | Region 1 (Days) | Region 2 (Days) | Region 3 (Days) | Maximum Condensate Saturation (%) |
|---|---|---|---|---|
| 1 | 912.5 | 4526 | 0 | 30 |
| 5 | 1204.5 | 3139 | 1095 | 26 |
| 7.5 | 1496.5 | 2482 | 1460 | 24 |
| 10 | 1496.5 | 2117 | 1825 | 23 |
| 15 | 1496.5 | 1971 | 1971 | 21 |
| 20 | 1496.5 | 1825 | 2117 | 21 |
| 30 | 1496.5 | 1825 | 2117 | 21 |
| 50 | 1496.5 | 1825 | 2117 | 21 |
| 75 | 1496.5 | 1825 | 2117 | 21 |
| 100 Basecase | 1496.5 | 1898 | 2044 | 21 |
Publisher’s Note: MDPI stays neutral with regard to jurisdictional claims in published maps and institutional affiliations. |
© 2020 by the authors. Licensee MDPI, Basel, Switzerland. This article is an open access article distributed under the terms and conditions of the Creative Commons Attribution (CC BY) license (http://creativecommons.org/licenses/by/4.0/).
Share and Cite
Bilotu Onoabhagbe, B.; Russell, P.; Ugwu, J.; Rezaei Gomari, S. Application of Phase Change Tracking Approach in Predicting Condensate Blockage in Tight, Low, and High Permeability Reservoirs. Energies 2020, 13, 6551. https://doi.org/10.3390/en13246551
Bilotu Onoabhagbe B, Russell P, Ugwu J, Rezaei Gomari S. Application of Phase Change Tracking Approach in Predicting Condensate Blockage in Tight, Low, and High Permeability Reservoirs. Energies. 2020; 13(24):6551. https://doi.org/10.3390/en13246551
Chicago/Turabian StyleBilotu Onoabhagbe, Benedicta, Paul Russell, Johnson Ugwu, and Sina Rezaei Gomari. 2020. "Application of Phase Change Tracking Approach in Predicting Condensate Blockage in Tight, Low, and High Permeability Reservoirs" Energies 13, no. 24: 6551. https://doi.org/10.3390/en13246551
APA StyleBilotu Onoabhagbe, B., Russell, P., Ugwu, J., & Rezaei Gomari, S. (2020). Application of Phase Change Tracking Approach in Predicting Condensate Blockage in Tight, Low, and High Permeability Reservoirs. Energies, 13(24), 6551. https://doi.org/10.3390/en13246551

