Numerical Investigation on Influence of Gas and Turbulence Model for Type III Hydrogen Tank under Discharge Condition
Abstract
1. Introduction
2. Background and Theory
2.1. Background
2.2. Theory
2.2.1. Real Gas Model
2.2.2. Turbulence Models
3. Numerical Implementation
3.1. Governing Equations
3.2. Calculation Assumptions and Conditions
- (1)
- Natural convection coefficient for the heat exchange of the laminate is constant, and the laminate has isotropic heat transfer characteristics.
- (2)
- The outlet flowing temperature of hydrogen gas is a constant.
- (3)
- The thicknesses of the liner and laminate are constants.
- (4)
- The temperature of the entire tank is considered as ambient temperature because the tank is exposed to the ambient temperature for sufficient time.
4. Results
4.1. Gas Model Effect
4.2. Turbulence Model Effect
5. Concluding Remarks
- Regarding the gas model adoptability, four gas models were considered, and the numerical and experimental results were compared for the discharge of CHG. Among the gas models, Redlich–Kwong equation was regarded as one of the realistic models for gas flow.
- The realizable , RNG , SST, and RSM turbulence models were assessed for the CHG average temperature. The SST model results showed the closest agreement with the experimental results among the results of all the turbulence models, whereas the realizable model yielded poor predictions.
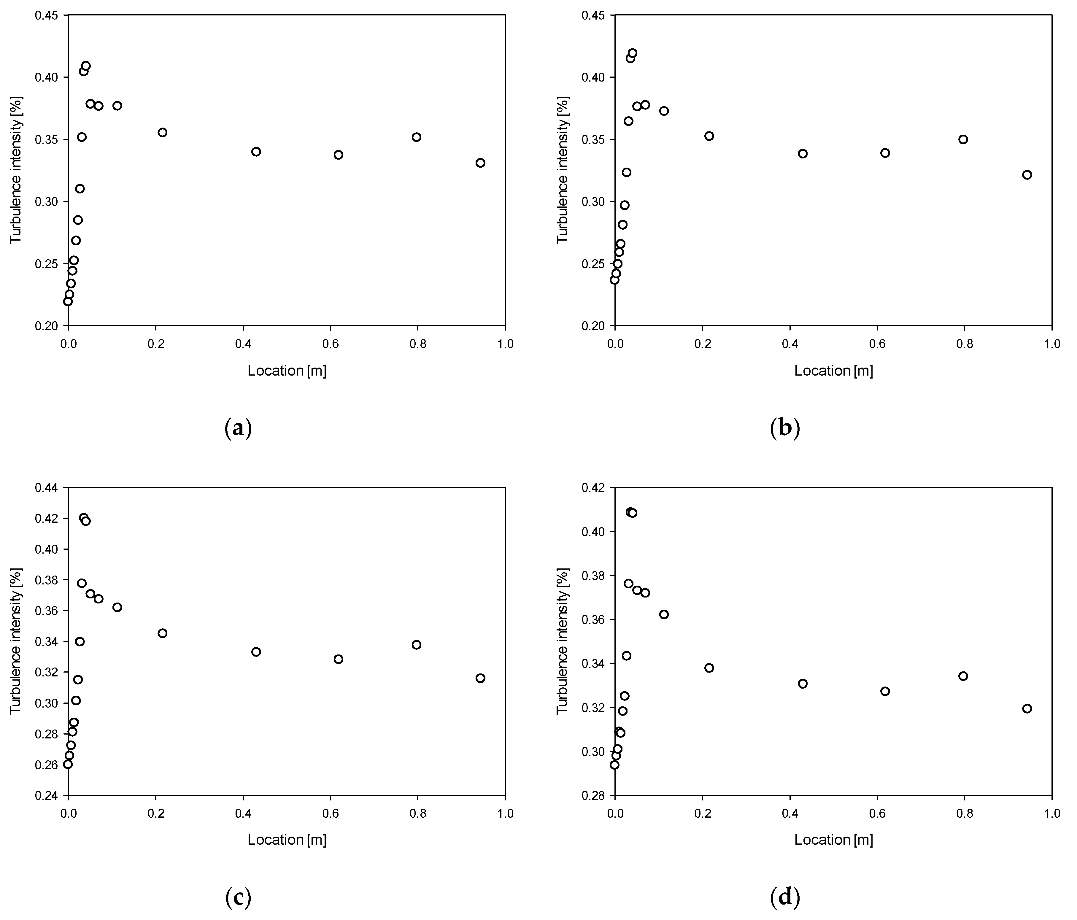
- The turbulence intensity obtained by the different turbulence models increased near the discharging area, where there was a large pressure decrease and velocity increase.
- The turbulence intensity yielded by the RNG model was slightly lower than that by the realizable model, indicating that the RNG model provides more accurate predictions than the realizable model.
- For the SST model and the RSM, these models predicted a lower turbulence intensity than the realizable and RNG models.
- The present findings regarding suitable gas and turbulence models for predicting CHG flow behavior can be effectively applied in research area of hydrogen applications. The results will help in identifying a suitable numerical model for formulating an optimum tank filling strategy that is both efficient and safe.
Author Contributions
Funding
Acknowledgments
Conflicts of Interest
References
- Andresen, A.F.; Maeland, A.J. (Eds.) Hydrides for Energy Storage: Proceedings of an International Symposium Held in Geilo, Norway, 14–19 August 1977; Elsevier: Amsterdam, The Netherlands, 2013. [Google Scholar]
- Dhaou, H.; Mellouli, S.; Askri, F.; Jemni, A.; Ben Nasrallah, S. Experimental and numerical study of discharge process of metal–hydrogen tank. Int. J. Hydrogen Energy 2007, 32, 1922–1927. [Google Scholar] [CrossRef]
- Barreto, L.; Makihira, A.; Riahi, K. The hydrogen economy in the 21st century: A sustainable development scenario. Int. J. Hydrogen Energy 2003, 28, 267–284. [Google Scholar] [CrossRef]
- Zheng, J.; Liu, X.; Xu, P.; Liu, P.; Zhao, Y.; Yang, J. Development of high pressure gaseous hydrogen storage technologies. Int. J. Hydrogen Energy 2012, 37, 1048–1057. [Google Scholar] [CrossRef]
- Messaoudani, Z.L.; Rigas, F.; Hamid, M.D.; Hassan, C.R.C. Hazards, safety and knowledge gaps on hydrogen transmission via natural gas grid: A critical review. Int. J. Hydrogen Energy 2016, 41, 17511–17525. [Google Scholar] [CrossRef]
- Song, E.J.; Baek, S.-W.; Nahm, S.H.; Baek, U.B. Notched-tensile properties under high-pressure gaseous hydrogen: Comparison of pipeline steel X70 and austenitic stainless type 304L, 316L steels. Int. J. Hydrogen Energy 2017, 42, 8075–8082. [Google Scholar] [CrossRef]
- Zheng, J.Y.; Chen, R.; Li, L.; Zhang, L.; Yu, Q.; Xu, P.; Kai, F.; Zhu, G.; Ye, X.; Wei, C.; et al. Multifunctional multi-layered stationary hydrogen storage vessels. Press. Vessel Technol. 2005, 22, 25–28. [Google Scholar]
- Veziroglu, T.N.; Barbir, F. Hydrogen Energy Technologies, UNIDO, A1400; UNIDO: Vienna, Austria, 1998. [Google Scholar]
- Ogden, J.M.; Williams, R.H.; Larson, E.D. Toward a Hydrogen-Based Transportation System; Princeton University, Center for Energy & Environmental Studies: Princeton, NJ, USA, 2001. [Google Scholar]
- Hoffmann, P. Tomorrow’s Energy: Hydrogen, Fuel Cells, and the Prospects for a Cleaner Planet; MIT Press: Cambridge, MA, USA, 2012. [Google Scholar]
- Rifkin, J. The Hydrogen Economy: The Creation of the Worldwide Energy Web and the Redistribution of Power on Earth; Penguin: London, UK, 2003. [Google Scholar]
- Ananthachar, V.; Duffy, J.J. Efficiencies of hydrogen storage systems onboard fuel cell vehicles. Sol. Energy 2005, 78, 687–694. [Google Scholar] [CrossRef]
- Xiao, J.; Bénard, P.; Chahine, R. Estimation of final hydrogen temperature from refueling parameters. Int. J. Hydrogen Energy 2017, 42, 7521–7528. [Google Scholar] [CrossRef]
- Kuroki, T.; Sakoda, N.; Shinzato, K.; Monde, M.; Takata, Y. Prediction of transient temperature of hydrogen flowing from pre-cooler of refueling station to inlet of vehicle tank. Int. J. Hydrogen Energy 2018, 43, 1846–1854. [Google Scholar] [CrossRef]
- Guo, J.; Yang, J.; Zhao, Y.; Pan, X.; Zhang, L.; Zhao, L.; Zheng, J. Investigations on temperature variation within a type III cylinder during the hydrogen gas cycling test. Int. J. Hydrogen Energy 2014, 39, 13926–13934. [Google Scholar] [CrossRef]
- Li, M.; Bai, Y.; Zhang, C.; Song, Y.; Jiang, S.; Grouset, D.; Zhang, M. Review on the research of hydrogen storage system fast refueling in fuel cell vehicle. Int. J. Hydrogen Energy 2019, 44, 10677–10693. [Google Scholar] [CrossRef]
- Menter, F.R. Two-equation eddy-viscosity turbulence models for engineering applications. AIAA J. 1994, 32, 1598–1605. [Google Scholar] [CrossRef]
- Redlich, O.; Kwong, J.N.S. On the Thermodynamics of Solutions. V. An Equation of State. Fugacities of Gaseous Solutions. Chem. Rev. 1949, 44, 233–244. [Google Scholar] [CrossRef] [PubMed]
- Soave, G. Equilibrium constants from a modified Redlich-Kwong equation of state. Chem. Eng. Sci. 1972, 27, 1197–1203. [Google Scholar] [CrossRef]
- Aungier, R.H. A Fast, Accurate Real Gas Equation of State for Fluid Dynamic Analysis Applications. J. Fluids Eng. 1995, 117, 277–281. [Google Scholar] [CrossRef]
- Peng, D.-Y.; Robinson, D.B. A New Two-Constant Equation of State. Ind. Eng. Chem. Fundam. 1976, 15, 59–64. [Google Scholar] [CrossRef]
- Launder, B.E.; Spalding, D.B. Mathematical Models of Turbulence; Academic Press: London, UK; New York, NY, USA, 1973. [Google Scholar]
- Mentor, F.; Ferreira, J.C.; Esch, T.; Konno, B. The SST Turbulence Model with Improved Wall Treatment for Heat Tranfer Predictions in Gas Turbines. In Proceedings of the International Gas Turbine Congress, Tokyo, Japan, 2–7 November 2003. [Google Scholar]
- Lin, C.H.; Yen, C.-H.; Ferng, Y.-M. CFD investigating the flow characteristics in a triangular-pitch rod bundle using Reynolds stress turbulence model. Ann. Nucl. Energy 2014, 65, 357–364. [Google Scholar] [CrossRef]
- Choi, S.W.; Kim, H.S. Predicting turbulent flows in butterfly valves with the nonlinear eddy viscosity and explicit algebraic Reynolds stress models. Phys. Fluids 2020, 32, 085105. [Google Scholar] [CrossRef]
- Suryan, A.; Kim, H.D.; Setoguchi, T. Three dimensional numerical computations on the fast filling of a hydrogen tank under different conditions. Int. J. Hydrogen Energy 2012, 37, 7600–7611. [Google Scholar] [CrossRef]
- Suryan, A.; Kim, H.D.; Setoguchi, T. Comparative study of turbulence models performance for refueling of compressed hydrogen tanks. Int. J. Hydrogen Energy 2013, 38, 9562–9569. [Google Scholar] [CrossRef]
- Henderson, A.D.; Sargison, J.E.; Walker, G.J.; Haynes, J. A numerical prediction of the hydrodynamic torque acting on a safety butterfly valve in a hydro-electric power scheme. WSEAS Trans. Fluid Mech. 2008, 3, 218–223. [Google Scholar]
- ANSYS. CFX-Solver Modeling Guide; ANSYS: Canonsburg, PA, USA, 2009. [Google Scholar]
- Fluent, A. ANSYS Fluent Theory Guide 18.0; ANSYS Inc.: Canonsburg, PA, USA, 2017. [Google Scholar]










| Type | Materials | Hydrogen Storage Pressure |
|---|---|---|
| Type I | All metal | 17.5~20 MPa |
| Type II | Metal liner with hoop wrapping | 26.3~30 MPa |
| Type III | Metal liner with full composite wrapping [16] | 35 MPa~70 MPa |
| Type IV | Plastic liner with full composite wrapping [16] | 70 MPa |
| Item | Length (mm) | |
|---|---|---|
| Cylinder type | Total length (mm) | 1030 |
| Inner diameter (mm) | 354 | |
| Outer diameter (mm) | 427 | |
| Thickness (mm) | 27–30 | |
Publisher’s Note: MDPI stays neutral with regard to jurisdictional claims in published maps and institutional affiliations. |
© 2020 by the authors. Licensee MDPI, Basel, Switzerland. This article is an open access article distributed under the terms and conditions of the Creative Commons Attribution (CC BY) license (http://creativecommons.org/licenses/by/4.0/).
Share and Cite
Kim, M.-S.; Ryu, J.-H.; Oh, S.-J.; Yang, J.-H.; Choi, S.-W. Numerical Investigation on Influence of Gas and Turbulence Model for Type III Hydrogen Tank under Discharge Condition. Energies 2020, 13, 6432. https://doi.org/10.3390/en13236432
Kim M-S, Ryu J-H, Oh S-J, Yang J-H, Choi S-W. Numerical Investigation on Influence of Gas and Turbulence Model for Type III Hydrogen Tank under Discharge Condition. Energies. 2020; 13(23):6432. https://doi.org/10.3390/en13236432
Chicago/Turabian StyleKim, Moo-Sun, Joon-Hyoung Ryu, Seung-Jun Oh, Jeong-Hyeon Yang, and Sung-Woong Choi. 2020. "Numerical Investigation on Influence of Gas and Turbulence Model for Type III Hydrogen Tank under Discharge Condition" Energies 13, no. 23: 6432. https://doi.org/10.3390/en13236432
APA StyleKim, M.-S., Ryu, J.-H., Oh, S.-J., Yang, J.-H., & Choi, S.-W. (2020). Numerical Investigation on Influence of Gas and Turbulence Model for Type III Hydrogen Tank under Discharge Condition. Energies, 13(23), 6432. https://doi.org/10.3390/en13236432

