Apparent Permeability Model for Gas Transport in Multiscale Shale Matrix Coupling Multiple Mechanisms
Abstract
1. Introduction
2. Theoretical Model
- (1)
- Nanopores in ORM and IOM are represented by circle tubes and slit tubes separately.
- (2)
- The aperture of nanopores in shale matrix is not uniform.
- (3)
- Gas occurs in organic pores as free and absorbed state, reservoir water can be neglected.
- (4)
- Free gas occupies the center of inorganic pore, and irreducible water is absorbed on the pore wall.
- (5)
- Shale matrix is compressible.
2.1. Real Gas Effect
2.2. Flow Channel of Divers Matrix
2.2.1. Flow Channel for ORM
2.2.2. Flow Channel for IOM
2.3. Gas Transport in ORM
2.3.1. Surface Diffusion
2.3.2. Bulk Gas Flow
2.3.3. AGP Model of ORM
2.4. Gas Transport in IOM
2.5. AGP Model for Shale Matrix
3. Model Validation
3.1. Validation of AGP Model for ORM
3.2. Validation of AGP Model for IOM
4. Discussion
4.1. Gas Transport in ORM
4.2. Gas Transport in IOM
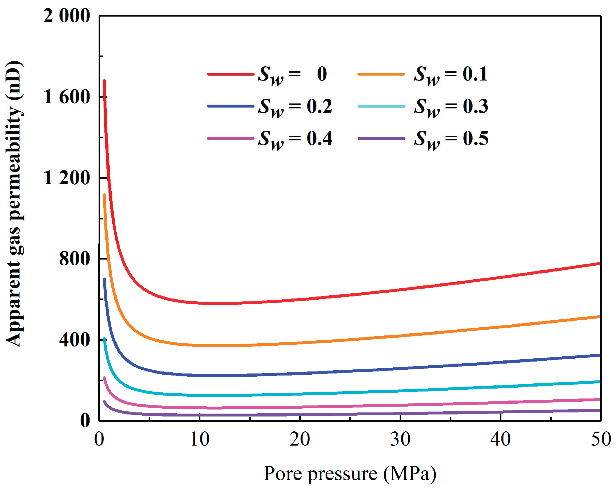
4.3. Gas Transport in Shale Matrix
5. Conclusions
- (1)
- During shale reservoir depletion, slip flow is the main transport mechanism in shale matrix. Surface diffusion and Knudsen diffusion mainly exist in small pores, especially at low pressure condition.
- (2)
- Under the comprehensive impact of porous deformation and nanoscale effect, AGP curve of shale matrix mainly exhibits approximate shape of “V” during pressure decreases.
- (3)
- Pore pressure, PSD, porous deformation and irreducible water saturation have significant impact on AGP. Real gas effect has little impact on AGP, which can be ignored in engineering application.
- (4)
- Irreducible water preferentially occupies small inorganic pore, and water content in small pores is higher than in large pores. At different irreducible water saturation, effective PSD of inorganic pores obeys approximate logarithmic normal distribution. The range and peak value of effective PSD decreases as water saturation increases.
- (5)
- For shale matrix, inorganic pores are the dominated gas transport channel. AGP decreases as irreducible water saturation increases, and the decrease rate significantly magnifies. Neglecting irreducible water distribution will lead to large error for AGP evaluation.
Author Contributions
Funding
Conflicts of Interest
Nomenclature
| p | pore pressure, Pa; |
| ppc | critical pressure of gas; |
| pc | overlying formation pressure, Pa; |
| Δp | pressure gradient of along the capillary, Pa; |
| T | temperature, K; |
| Tpc | critical temperature of gas, K; |
| μ | gas viscosity, Pa·s; |
| μ1atm | ideal gas viscosity when pressure equals 1 atm, Pa·s; |
| ρb | density of free gas, Kg/m3; |
| cg | compressibility factor, 1/Pa; |
| M | gas molecular weight, kg/mol; |
| R | ideal gas constant, 8.314 J/(mol· K); |
| λ | molecular mean free path, m; |
| Vstd | molar volume of gas, m3/mol; |
| n | number of organic pores per unit area, 1/m2; |
| k0 | intrinsic permeability of ORM, m2; |
| kstress | permeability of ORM considering porous deformation |
| ks | AGP of surface diffusion, m2; |
| kbt | AGP of bulk gas within organic pore, m2; |
| kslip-tube | AGP of slip flow within organic pore, m2; |
| KKn-tube | AGP of Knudsen diffusion within organic pore, m2; |
| kapp-tube | AGP for ORM, m2; |
| kslip-slit | AGP of slip flow within inorganic pore, m2; |
| KKn-slit | AGP of Knudsen diffusion within inorganic pore, m2; |
| kapp-slit | AGP for IOM, m2; |
| kapp-org | AGP for ORM considering multiscale, m2; |
| kapp-iom | AGP for IOM considering multiscale, m2; |
| kapp | AGP of shale matrix, m2; |
| ϕ0 | porosity of shale matrix, dimensionless; |
| ϕt0 | porosity of ORM at the initial condition, dimensionless; |
| ϕeff-orm | effective porosity of ORM, dimensionless; |
| ϕs0 | porosity of IOM at the initial condition, dimensionless; |
| ϕeff-IOM | the effective porosity of IOM, dimensionless; |
| r0 | hydraulic radius of ORM at initial conditions, m; |
| rstress | hydraulic radius of organic pore considering porous deformation, m; |
| reff | effective radius, m; |
| S | the cross-sectional area, m2; |
| H0 | width of inorganic pores, m; |
| W0 | height of inorganic pore, m; |
| ξ | aspect ratio, dimensionless; |
| Heff | effective width of inorganic pore, m; |
| τ | tortuosity, dimensionless; |
| ηorg | volume content of organic pores, dimensionless; |
| ψt | compressibility coefficient, pa−1; |
| δ | surface roughness of pore, dimensionless; |
| Df | fractal dimension of shale sample, dimensionless; |
| L | characteristic length of ORM, m; |
| ρs | density of shale, kg/m3; |
| θ | Gas coverage in surface of organic pores, dimensionless; |
| pL | Langmuir pressure, Pa; |
| dm | the molecular diameter of gas, 0.38 nm; |
| rad | thickness of absorbed gas layer, m; |
| Js | mass flux of surface diffusion in organic pore Kg/s; |
| As | annulus area of absorbed gas layer, m2; |
| Ds | surface diffusion coefficient, m2/s; |
| Ds0 | surface diffusion coefficient at zero gas coverage, m2/s; |
| Csmax | maximum absorbed gas concentration of shale sample, mol/m3; |
| VL | Langmuir volume, m3/m3; |
| ▽H | equivalent adsorption heat, J/mol; |
| κ | ratio of rate constant for blockage to the rate constant for forward migration, dimensionless; |
| Kn | Knudsen number, dimensionless; |
| fslip-tube | weighting coefficient of slip flow in organic pore, dimensionless; |
| fKn-tube | weighting coefficient of Knudsen diffusion in organic pore, dimensionless; |
| fslip-slit | weighting coefficient of slip flow for inorganic pore, dimensionless; |
| fKn-slit | weighting coefficient of Knudsen diffusion for inorganic pore, dimensionless; |
| Q | gas flux in ORM, m3/s; |
| A(ξ) | section shape factor for slip flow, dimensionless; |
| B(ξ) | section shape factor for Knudsen diffusion; |
| f(r) | volume fraction of organic pore in ORM, dimensionless; |
| f(H) | volume fraction of inorganic pore in IOM, dimensionless; |
| Sw-shale | irreducible water saturation of shale matrix, dimensionless.; |
| Sw | irreducible water saturation nanopore, dimensionless. |
References
- Solarin, S.A.; Gil-Alana, L.A.; Lafuente, C. An investigation of long range reliance on shale oil and shale gas production in the U.S. market. Energy 2020, 195, 116933. [Google Scholar] [CrossRef]
- Memon, K.R.; Mahesar, A.A.; Ali, M.; Tunio, A.H.; Mohanty, U.S.; Akhondzadeh, H.; Keshavarz, A. Influence of Cryogenic Liquid Nitrogen on Petro-Physical Characteristics of Mancos Shale: An Experimental Investigation. Energy Fuels 2020, 34, 2160–2168. [Google Scholar] [CrossRef]
- U.S. Energy Information Administration. Available online: https://www.eia.gov/tools/faqs/faq.php?id=907&\t=8 (accessed on 12 August 2020).
- Zheng, H.; Zhang, J.; Qi, Y. Geology and geomechanics of hydraulic fracturing in the Marcellus shale gas play and their potential applications to the Fuling shale gas development. Energy Geosci. 2020, 1, 36–46. [Google Scholar] [CrossRef]
- Mahesar, A.A.; Ali, M.; Shar, A.M.; Memon, K.R.; Mohanty, U.S.; Akhondzadeh, H.; Keshavarz, A. Effect of Cryogenic Liquid Nitrogen on the Morphological and Petrophysical Characteristics of Tight Gas Sandstone Rocks from Kirthar Fold Belt, Indus Basin, Pakistan. Energy Fuels 2020, 34, 14548–14559. [Google Scholar] [CrossRef]
- Middleton, R.S.; Gupta, R.; Hyman, J.D.; Viswanathan, H.S. The shale gas revolution: Barriers, sustainability, and emerging opportunities. Appl. Energy 2017, 199, 88–95. [Google Scholar] [CrossRef]
- Loucks, R.G.; Reed, R.M.; Ruppel, S.C.; Hammes, U. Spectrum of pore types and networks in mudrocks and a descriptive classification for matrix-related mudrock pores. AAGP Bull. 2015, 96, 1071–1098. [Google Scholar] [CrossRef]
- Zhang, T.; Li, X.; Sun, Z.; Feng, D.; Miao, Y.; Li, P.; Zhang, Z. An analytical model for relative permeability in water-wet nanoporous media. Chem. Eng. Sci. 2017, 174, 1–12. [Google Scholar] [CrossRef]
- Milliken, K.L.; Rudnicki, M.; Awwiller, D.N.; Zhang, T. Organic matter–hosted pore system, Marcellus Formation (Devonian), Pennsylvania. AAPG Bull. 2013, 97, 177–200. [Google Scholar] [CrossRef]
- Merkel, A.; Fink, R.; Littke, R. The role of pre-adsorbed water on methane sorption capacity of Bossier and Haynesville shales. Int. J. Coal Geol. 2015, 147−148, 1–8. [Google Scholar] [CrossRef]
- Wang, S.; Shi, J.; Wang, K.; Sun, Z.; Zhao, Z. New coupled apparent permeability models for gas transport in inorganic nanopores of shale reservoirs considering multiple effects. Energy Fuels 2017, 31, 13545–13557. [Google Scholar] [CrossRef]
- Wu, K.; Chen, Z.; Li, X.; Xu, J.; Li, J.; Wang, K.; Wang, S.; Dong, X. Flow behavior of gas confined in nanoporous shale at high pressure: Real gas effect. Fuel 2017, 205, 173–183. [Google Scholar] [CrossRef]
- Darabi, H.; Ettehad, A.; Javadpour, F.; Sepehrnoori, K. Gas flow in ultra-tight shale strata. J. Fluid Mech. 2012, 710, 641–658. [Google Scholar] [CrossRef]
- Loyalka, S.K.; Hamoodi, S.A. Poiseuille flow of a rarefied gas in a cylindrical tube: Solution of linearized Boltzmann equation. Phys. Fluids A Fluid Dyn. 1990, 2, 2061–2065. [Google Scholar] [CrossRef]
- Moghaddam, R.N.; Jamiolahmady, M. Study of Slip Flow in Unconventional Shale Rocks Using Lattice Boltzmann Method: Effects of Boundary Conditions and TMAC. Transp. Porous Media 2017, 120, 115–139. [Google Scholar] [CrossRef]
- Wu, K.; Chen, Z.; Li, X. Real gas transport through nanopores of varying cross-section type and shape in shale gas reservoirs. Chem. Eng. J. 2015, 281, 813–825. [Google Scholar] [CrossRef]
- Zhang, L.; Baochao, S.; Yulong, Z.; Zhaoli, G. Review of micro seepage mechanisms in shale gas reservoirs. Int. J. Heat Mass Transf. 2019, 139, 144–179. [Google Scholar] [CrossRef]
- Maxwell, J.C. On Stresses in Rarefied Gases Arising from Inequalities of Temperature. Proc. R. Soc. Lond. 1878, 24, 304–308. [Google Scholar]
- Karniadakis, G.; Beskok, A.; Gad-El-Hak, M. Micro Flows: Fundamentals and Simulation; Springer: New York, NY, USA, 2005; pp. 156–161. [Google Scholar]
- Song, W.; Yao, J.; Wang, D.; Li, Y.; Sun, H.; Yang, Y.; Zhang, L. Nanoscale confined gas and water multiphase transport in nanoporous shale with dual surface wettability. Adv. Water Resour. 2019, 130, 300–313. [Google Scholar] [CrossRef]
- Sun, Z.; Li, X.; Shi, J.; Zhang, T.; Sun, F. Apparent permeability model for real gas transport through shale gas reservoirs considering water distribution characteristic. Int. J. Heat Mass Transf. 2017, 115, 1008–1019. [Google Scholar] [CrossRef]
- Li, Y.; Kalantari-Dahaghi, A.; Zolfaghari, A.; Dong, P.; Negahban, S.; Zhou, D. A new model for the transport of gaseous hydrocarbon in shale nanopores coupling real gas effect, adsorption, and multiphase pore fluid occupancies. Int. J. Heat Mass Transf. 2020, 148, 119026. [Google Scholar] [CrossRef]
- Li, Y.; Liu, X.; Gao, S.; Duan, X.; An, W. A generalized model for gas flow prediction in shale matrix with deduced coupling coefficients and its macroscopic form based on real shale pore size distribution experiments. J. Pet. Sci. Eng. 2019, 66, 217–232. [Google Scholar] [CrossRef]
- Javadpour, F. Nanopores and Apparent Permeability of Gas Flow in Mudrocks (Shales and Siltstone). J. Can. Pet. Technol. 2009, 48, 16–21. [Google Scholar] [CrossRef]
- Wu, K.; Chen, Z.; Li, X.; Guo, C.; Wei, M. A model for multiple transport mechanisms through nanopores of shale gas reservoirs with real gas effect–adsorption mechanic coupling. Int. J. Heat Mass Transf. 2016, 93, 408–426. [Google Scholar] [CrossRef]
- Wang, S.; Shi, J.; Wang, K.; Sun, Z.; Miao, Y.; Hou, C. Apparent permeability model for gas transport in shale reservoirs with nano-scale porous media. J. Nat. Gas Sci. Eng. 2018, 55, 508–519. [Google Scholar] [CrossRef]
- Gaganis, V.; Homouz, D.; Maalouf, M.; Khoury, N.; Kyriaki, P.; Enrico, S. An Efficient Method to Predict Compressibility Factor of Natural Gas Streams. Energies 2019, 12, 2577. [Google Scholar] [CrossRef]
- Mohamadi, B.M.; Azin, R.; Osfouri, S.; MohamadI, B.R.; Zarei, Z. Prediction of gas compressibility factor using intelligentmodels. Nat. Gas Ind. B 2015, 2, 283–294. [Google Scholar] [CrossRef]
- Al-Fatlawi, O.; Hossain, M.M.; Osborne, J. Determination of best possible correlation for gas compressibility factor to accurately predict the initial gas reserves in gas-hydrocarbon reservoirs. Int. J. Hydrogen Energy 2017, 42, 25492–25508. [Google Scholar] [CrossRef]
- Heidaryan, E.; Salarabadi, A.; Moghadasi, J. A novel correlation approach for prediction of natural gas compressibility factor. J. Nat. Gas Chem. 2010, 19, 189–192. [Google Scholar] [CrossRef]
- Jia, L.; Jianguo, W.; Chunfai, L.; Feng, G. A Fully Coupled Numerical Model for Microwave Heating Enhanced Shale Gas Recovery. Energies 2018, 11, 1608. [Google Scholar]
- Villazon, M.; German, G.; Sigal, R.F.; Civan, F. Parametric investigation of shale gas production considering nano-scale pore size distribution, formation factor, and non-Darcy flow mechanisms. In Proceedings of the SPE Annual Technical Conference and Exhibition, Denver, CO, USA, 30 October–2 November 2011. [Google Scholar]
- Berg, C.F. Permeability Description by Characteristic Length, Tortuosity, Constriction and Porosity. Transp. Porous Med. 2014, 103, 381–400. [Google Scholar] [CrossRef]
- Zhu, S.Y.; Du, Z.M.; Li, C.L. A Semi-analytical Model for Pressure-Dependent Permeability of Tight Sandstone Reservoirs. Transp. Porous Med. 2018, 122, 235–252. [Google Scholar] [CrossRef]
- Jincai, Z. Effective stress, porosity, velocity and abnormal pore pressure prediction accounting for compaction disequilibrium and unloading. Mar. Pet. Geol. 2013, 45, 2–11. [Google Scholar]
- Zhang, R.; Ning, Z.; Yang, F.; Zhao, H.; Wang, Q. A laboratory study of the porosity-permeability relationships of shale and sandstone under effective stress. Int. J. Rock Mech. Min. Sci. 2016, 81, 19–27. [Google Scholar] [CrossRef]
- Zhang, L.H.; Liang, H.B.; Zhao, Y.L.; Xie, J.; Peng, X.; Li, Q. Gas transport characteristics in shale matrix based on multiple mechanisms. Chem. Eng. J. 2020, 386, 124002. [Google Scholar] [CrossRef]
- Li, J.; Li, X.; Wang, X.; Li, Y.; Wu, K.; Shi, J.; Liu, Y.; Dong, F.; Zhang, T.; Yu, P. Water Distribution Characteristic and Effect on Methane Adsorption Capacity in Shale Clays. Int. J. Coal Geol. 2016, 159, 135–154. [Google Scholar] [CrossRef]
- Li, J.; Li, X.; Wu, K.; Wang, X.; Shi, J.; Yang, L.; Zhang, H.; Sun, Z.; Wang, R.; Feng, D. Water Sorption and Distribution Characteristics in Clay and Shale: Effect of Surface Force. Energy Fuels 2016, 30, 8863–8874. [Google Scholar] [CrossRef]
- Chen, Y.D.; Yang, R.T. Concentration dependence of surface diffusion and zeolitic diffusion. AIChE J. 1991, 37, 1579–1582. [Google Scholar] [CrossRef]
- Karniadakis, G.; Beşkok, A.; Aluru, N. Microflows and Nanoflows: Fundamentals and Simulation; Interdisciplinary Applied Mathematics Series; Springer Science & Business Media: New York, NY, USA, 2005. [Google Scholar]
- Wu, Q.; Bai, B.; Ma, Y.; Ok, J.T.; Neeves, K.B.; Ying, X. Optic Imaging of Two-Phase-Flow Behavior in 1D Nanoscale Channels. SPE J. 2014, 19, 793–802. [Google Scholar] [CrossRef]
- Rushing, J.A.; Newsham, K.E.; Fraassen, K.C. Measurement of the Two-Phase Gas Slippage Phenomenon and Its Effect on Gas Relative Permeability in Tight Gas Sands. In Proceedings of the SPE Technical Conference & Exhibition, Denver, CO, USA, 5–8 October 2003. [Google Scholar]
- Kuila, U.; Mccarty, D.K.; Derkowski, A.; Fischer, T.B.; Topór, T.; Prasad, M. Nano-scale texture and porosity of organic matter and clay minerals in organic-rich mudrocks. Fuel 2014, 135, 359–373. [Google Scholar] [CrossRef]
- Zhang, H.; Jiang, Y.; Zhou, K.; Fu, Y.; Zhong, Z.; Zhang, X.; Qi, L.; Wang, Z.; Jiang, Z. Connectivity of pores in shale reservoirs and its implications for the development of shale gas: A case study of the lower Silurian Longmaxi formation in the southern Sichuan basin. Nat. Gas Ind. B 2020, 7, 348–357. [Google Scholar] [CrossRef]
- Moghaddam, R.N.; Jamiolahmady, M. Slip flow in porous media. Fuel 2016, 173, 298–310. [Google Scholar] [CrossRef]
- Mahesar, A.A.; Shar, A.M.; Ali, M.; Tunio, A.H.; Uqailli, M.A.; Mohanty, U.S.; Keshavarz, A. Morphological and petro physical estimation of eocene tight carbonate formation cracking by cryogenic liquid nitrogen; a case study of Lower Indus basin, Pakistan. J. Pet. Sci. Eng. 2020, 192, 107318. [Google Scholar] [CrossRef]




















| Parameters | Value |
|---|---|
| Temperature, T | 300 K |
| Overlying formation pressure, pc | 50 MPa |
| Critical pressure, ppc | 4.599 MPa |
| Critical temperature, Tpc | 190.56 K |
| Viscosity of ideal gas, μ1atm | 1.49 × 10−5 Pa·s |
| Methane molar mass, M | 0.016 kg/mol |
| Langmuir pressure, pL | 13.7 MPa [22] |
| Parameters | Value |
|---|---|
| Pore radius of ORM, r0 | 2–50 nm [16] |
| Pore width of IOM, H0 | 2–50 nm [16] |
| Porosity of ORM, Φor0 | 0.018 [44] |
| Porosity of IOM, Φior0 | 0.05 [44] |
| Temperature, T | 353 K |
| Pore pressure, p | 0.5~50 MPa |
| Surface diffusion coefficient at zero gas coverage, DS0 | 5.69 × 10−6 m2/s [16] |
| Equivalent adsorption heat, ▽H | 1.6 × 104 J |
| The ratio of rate constant for blockage to the rate Constant for forward migration, κ | 0.5 |
| Tortuosity, τ | 2.2 [21] |
| Maximum concentration absorbed gas in shale core sample, Cmax | 328.7 mol/m3 |
| Compressibility coefficient of ORM and IOM, Ct | 0.01 MPa−1 [36] |
| Fractal dimension of core sample, Df | 2.6 [37] |
| Water saturation, Sw-shale | 0–0.5 |
Publisher’s Note: MDPI stays neutral with regard to jurisdictional claims in published maps and institutional affiliations. |
© 2020 by the authors. Licensee MDPI, Basel, Switzerland. This article is an open access article distributed under the terms and conditions of the Creative Commons Attribution (CC BY) license (http://creativecommons.org/licenses/by/4.0/).
Share and Cite
Li, X.; Liu, S.; Li, J.; Tan, X.; Li, Y.; Wu, F. Apparent Permeability Model for Gas Transport in Multiscale Shale Matrix Coupling Multiple Mechanisms. Energies 2020, 13, 6323. https://doi.org/10.3390/en13236323
Li X, Liu S, Li J, Tan X, Li Y, Wu F. Apparent Permeability Model for Gas Transport in Multiscale Shale Matrix Coupling Multiple Mechanisms. Energies. 2020; 13(23):6323. https://doi.org/10.3390/en13236323
Chicago/Turabian StyleLi, Xiaoping, Shudong Liu, Ji Li, Xiaohua Tan, Yilong Li, and Feng Wu. 2020. "Apparent Permeability Model for Gas Transport in Multiscale Shale Matrix Coupling Multiple Mechanisms" Energies 13, no. 23: 6323. https://doi.org/10.3390/en13236323
APA StyleLi, X., Liu, S., Li, J., Tan, X., Li, Y., & Wu, F. (2020). Apparent Permeability Model for Gas Transport in Multiscale Shale Matrix Coupling Multiple Mechanisms. Energies, 13(23), 6323. https://doi.org/10.3390/en13236323
