Abstract
Switchgrass (Panicum virgatum L.) with its advantages of low maintenance and massive distribution in temperate zones, has long been regarded as a suitable biofuel feedstock with a promising prospect. Currently, there is no validated assessment of marginal land for switchgrass growth on a global scale. Although, on both regional and national scale there have been several studies evaluating the potential marginal lands for growing switchgrass. To obtain the first global map that presents the distribution of switchgrass growing in potential marginal land, we employed a boosted regression tree (BRT) modeling procedure integrated with released switchgrass records along with a series of high-spatial-resolution environmental variables. The result shows that the available marginal land resources satisfying switchgrass growing demands are mainly distributed in the southern and western parts of North America, coastal areas in the southern and eastern parts of South America, central and southern Africa, and northern Oceania, approximately 2229.80 million hectares. Validation reveals that the ensembled BRT models have a considerably high performance (area under the curve: 0.960). According to our analysis, annual cumulative precipitation accounts for 45.84% of the full impact on selecting marginal land resources for switchgrass, followed by land cover (14.97%), maximum annual temperature (12.51%), and mean solar radiation (10.25%). Our findings bring a new perspective on the development of biofuel feedstock.
1. Introduction
With the rapid growth of social and economic activity, fossil energy consumption has been increasing sharply, as reported by Statistical Review of World Energy 2020, accounting for 84% of the total global energy consumption [1]. Large-scale use of fossil fuel energy would lead to negative environmental consequences such as climate change as well as concerns about decreasing nonrenewable energy supplies [2]. Hence, there is an urgent need for developing sustainable and decarbonized energy systems as an alternative to our current energy sources [3]. To diversify away from the fossil-fuel-based economy, European Commission proposed to increase the share target renewable energy to at least 32% by 2030 and to develop several renewable energy such as solar energy, hydroelectricity, wind power, shallow geothermal, and biomass energy [4,5,6].
Switchgrass is one of the perennial herbaceous plants with high lignocellulose [7,8]. According to several studies, switchgrass is regarded as a suitable cellulosic feedstock for producing ethanol considering its economic efficiency and net energy gain (NEG) according to several studies [2]. Schmer et al. evaluated the net energy efficiency and economic feasibility of switchgrass utilization for fuel ethanol in the USA, with an average estimated net energy yield (NEY) value of 60 GJ·ha-1·y-1, illustrating that the cellulosic ethanol derived from switchgrass turned out to be a promising substitute for petroleum-based fuels [9,10]. Assessment by Zhang et al. of the potential NEG for the switchgrass-based fuels ethanol product in China suggests that it could achieve approximately 1.75 × 106 million MJ [11]. By studying the genotypes of switchgrass in the Yellow River Delta, Zheng et al. found that the average biomass yield of switchgrass was 5.99 Mg/ha, indicating its good adaptability in this Chinese region [12]. Smeets et al. evaluated the economic efficiency performance of switchgrass production and supply chains [13]. It suggested that the stability in the costs of switchgrass biomass production from 2004 to 2030 makes switchgrass-based fuel ethanol more competitive with natural gas and fossil oil, despite the potential influence of carbon storage in planting switchgrass [13,14]. Particularly, cellulosic ethanol derived from switchgrass could be favorable alternative energy to petroleum-based fuels.
The rising global demand for biofuel is putting increasing pressures on food production and security [15], such as the development of food-based ethanol fuel and the occupation of agricultural land [16]. In recent years, to estimate the potential utilization of marginal land resources for bioenergy plants in various countries and regions has garnered worldwide concern. For example, Saha and Eckelman coupled land-use datasets with multicriteria analysis to identify the potential marginal land area, estimating that there are 2660 hectares of land suitable for bioenergy crop production in Boston, US [17]. Liu et al.’s analysis of the potentially usable marginal land for bioenergy crops reveals that the usable marginal land consisted largely of grassland and shrubland under the Canada Land Inventory took up approximately 9.48 million hectares of land in Canada [18]. Zhuang et al. combined the multicriteria with policy to estimate the total area of exploitable marginal land for the development of bioenergy plants in China, which is predominately distributed in South China with about 43.75 million hectares [19]. Jin et al. used the system dynamics model to analyze the impact of switchgrass cellulose ethanol development on marginal land, about 11.36 million hectares, in the Midwest ten states of the United States [20]. A study based on the empirical model and UK’s graded land policy conducted by Lovett et al. suggested that there were 1.4 million hectares of low-grade land available in the UK for perennial energy crops, mainly concentrated in the south-west of the country [21,22]. Generally, in the previous research, the multifactor-integrated assessment methods were usually adopted to evaluate the marginal lands suitable for bioenergy development [23]. Due to the limitation of the knowledge and understanding on the extent, location, and quality of marginal lands [24], on the global scale, no validated data of suitable marginal land for growing switchgrass is available at this moment.
In this study, working through the boosted regression tree (BRT) modeling procedure integrated with the assembled known switchgrass records as well as a group of high-spatial-resolution environmental variables enabled us to generate the map on the global scale of potential marginal lands for growing switchgrass. In the meantime, the complicated relationships between the environmental factors and the occurrence records of switchgrass were also included in this analysis to provide global suitability distribution of switchgrass-based fuel ethanol feedstock.
2. Materials and Methods
In this study, we chose to employ the boosted regression trees (BRTs) modeling procedure because of its excellent performance in the prediction of potential marginal land resources available for several biomass plants (i.e., cassava and sweet sorghum) [16,25]. Marginal land is characterized as the land that is not agriculturally productive, or residential, or for other social uses, while suitable for growing bioenergy plants [26]. The superiority of the BRT model is reflected in the accuracy of its evaluation and the ability to fit the relevant relationship between a species and its environmental correlated factors [27,28]. To guarantee the accuracy of the resulting map from our evaluation, three types of data sets were required as listed below: (a) a set of globally environmental variables with high-spatial-resolution that influence the energy crops (bioenergy plants) including switchgrass; (b) a georeferenced dataset for switchgrass distribution across the world; (c) the set of background points that indicate uninhabitable growing environment for switchgrass. All the datasets listed above were preprocessed by C++ programming and ArcMap 10.2. WGS-84 geographic coordinate system was adopted in this procedure while all spatial predictor variables were converted to one unified cell dimension (approximately 5 × 5 km2). The technical flowchart is shown in Figure 1.
Figure 1.
Flow charts.
2.1. Environmental Factors and Land Cover
In this study, we put in land cover information to identify marginal lands. On this basis, we adopted nine environmental variables that represent sunlight, soil, meteorology, topography, and land use to primarily determine the suitability of marginal land for energy crops (bioenergy plants) with their detailed information listed in Table 1 [23,29,30].
Table 1.
Environmental factors and land cover.
2.1.1. Land Cover
Land cover is a key factor to identify marginal lands. We acquired the global land cover dataset with an approximately 5 km spatial resolution, which was generated by a supervised classification algorithm using images collected by the MODIS Terra and Aqua from NASA’s Earth Observatory Group [31,32]. In the present study, urban, barren, and cropland were determined as inefficient land cover types for switchgrass breeding.
2.1.2. Topography
Topography has been designated as one of the major factors that contribute to planting bioenergy crops and distinguishing marginal land from other types of land [23,33]. For instance, water loss and soil erosion usually happen in places with great slope steepness, making no contribution to the growth of crops, and therefore rendering those places unsuitable for growing switchgrass. We obtained the global 90 m digital elevation model data produced by NASA and it is available for download from the CGIAR Consortium for Spatial Information [34,35]. By processing the digital elevation data through a spatial analysis tool in ArcMap 10.2, we acquired the spatial distribution of the worldwide land surface gradient.
2.1.3. Solar Radiation
Solar radiation, also known as sunlight, as the key factor in photosynthesis that converts carbon dioxide and water to life-sustaining hydrocarbons, is considered one of the major energy sources for plant survival [36]. Hence, it is regarded as one of the major variables in determining the distribution of bioenergy plants [37,38,39]. Accordingly, the amount of sunlight is deemed to be a critical constraint on growing switchgrass. The average global solar radiation dataset was obtained from WorldClim Version 2 database as well [40].
2.1.4. Soil
It is supported by evidence that indicators of soil have been considered an important factor for switchgrass production [41]. Soil quality is constrained by various limitations including soil type, effective soil depth, and soil moisture [38,39,42]. We acquired the datasets of soil type and effective soil depth from the World Soil Information website [43]. We obtained the soil moisture information from CGIAR Consortium for Spatial Information [34].
2.1.5. Climate
Rain and temperature play critical roles in the growth and biomass accumulation of switchgrass [44]. For example, these two factors influence both the metabolism and nutrient requirements of bioenergy plants, which thusly determine the final yield of switchgrass [40,45]. Therefore, we put in maximum and minimum annual temperatures as well as annual cumulative precipitation as fundamental factors for switchgrass growth. The globally high-spatial-resolution climate datasets were collected from the WorldClim Version 2 database [46], which is derived from worldwide weather stations from 1970 to 2000 using ANUSPLIN-SPLINA software [47].
2.2. Occurrence Records
To estimate where the species can be distributed across the planet requires us to put in the presence data of the species [48]. We obtained global samples of known switchgrass cultivation from Global Biodiversity Information Facility [49], including 688 georeferenced records of switchgrass occurrence. From these existing samples, we managed to extrapolate requisite conditions of solar radiation, meteorology, topography, and soil that are suitable for switchgrass growth.
2.3. Pseudo-Absence Records
The pseudo-absence records are essential for evaluating the spatial distribution of switchgrass, which refer to the records of planting sites not found [50]. Considering that it is less likely to plant switchgrass in places where the minimum annual temperature under 8.1 °C or where land cover belongs to urban, barren, or cropland [51], 688 grid units (the same as the total number of occurrence points) falling in the areas that meet the standard mentioned above were selected at random.
2.4. Modeling
We chose Version 3.3.1 for 64-bit R language to build the BRT model as well as assessing its performance with help from the extension packages including the dismo and gbm packages. We selected 75% of the sample data at random to establish a training and test dataset for the BRT model, while the data that remained were made a validation dataset. We chose to use the area under the receiver operating characteristic curve (AUC) to assess the precision of the BRT model’s performance during ten-fold cross-validation, and it exhibited several inviting qualities when compared to overall accuracy [34]. On the basis of the suggestion derived from the previous studies conducted by Jiang et al. [16,25], the main tuning parameter values were set as follows (tree.complexity = 4, learning.rate = 0.005, bag.fraction = 0.75, step.size = 10, cv.folds = 10, max.trees = 1000), and the other parameters of the BRT model were held at their default values. A detailed description of the BRT model can be found elsewhere [37,38,39]. For the splendid simulation performance, we obtained the final predicted value by calculating the mean prediction across 25 simulation processes.
3. Results
3.1. Potential Distribution of Land Resources in Switchgrass
Figure 2 shows the global map for potential land resources suitable for switchgrass which was produced by BRT models for each 5 × 5 km2 unit. From the view of environmental suitability, it is observed that the suitable regions for switchgrass planting were predicted to be distributed in tropics and subtropics, including central and southern North America, most of South America, central Africa, southern Europe, Southeast Asia, and eastern coasts and northern Oceania. In North America, the areas potentially supporting switchgrass growth are mainly distributed in Southern Canada, central and southern United States, and most parts of Mexico. In South America, the potential areas are mainly located in the eastern and northern coastal regions, which include Brazil, Venezuela, Colombia, Bolivia, Peru, and Argentina. In Africa, the areas of highest environmental suitability in central and southern Africa are mainly concentrated in South Africa, Sudan, Namibia, Ethiopia, Botswana, and United Republic of Tanzania. In Oceania, the central and southern regions are not switchgrass-friendly while parts of northeastern regions (Australia and New Zealand) are suitable. Suitable areas in Europe are primarily distributed in Russia (European part), France, and Germany. In Asia, the places with land resources qualified for growing switchgrass are mainly distributed across Southeast Asia, such as Vietnam, Laos, Myanmar, Philippines, Thailand, Bangladesh, coastal parts of India, and southern Indonesia. Regarding China, the environmental suitability for switchgrass in the southern region including Guangdong, Guangxi, Hainan, and Yunnan provinces is higher in comparison to North China.
Figure 2.
Global map of the estimated potential land resources suitable for switchgrass. The map depicts environmental suitability for switchgrass from 0 (gray) to 1 (green).
The database used in this study contains information on the known global occurrences of switchgrass, which has been integrated into 688 georeferenced records. Figure 3 shows that these sample points are globally scattered, while mostly located in Europe, North America (e.g., USA and Mexico), and several parts of Asia and Oceania. It indicates that real switchgrass distribution is quite consistent with our predicted map of environmental suitability. Furthermore, the BRT model exhibited high accuracy during the simulating process with a 10-fold cross-validation AUC of 0.960 (95% confidence interval, CI 0.949–0.968).
Figure 3.
Spatial distribution of the occurrence samples with 688 occurrence units in (A) parts of Europe and Asia, (B) southern part of North American, and (C) Southeast Asia and Oceania.
3.2. Effects of Environmental Variables on Switchgrass Distribution
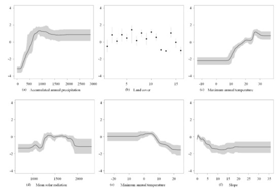
Relative contributions of each environmental factor for evaluating the potential suitable land resources supporting switchgrass growth worldwide were calculated and listed in Table 2. It shows that annual cumulative precipitation is the dominant factor in the BRT model, the relative contribution of which is 45.84% (95% CI 44.83–46.85%). Other important factors including land cover account for 14.97% ((95% CI 14.53–15.41%)) in total, maximum annual temperature (12.51% (95% CI 11.79–13.24%)), mean solar radiation (10.25% (95% CI 9.56–10.94%), minimum annual temperature (7.87% (95% CI 7.36–8.39%)), and slope (3.96% (95% CI 3.57–4.35%)). In addition to the above important factors, each remaining variable accounts for less than 3% of the full impact on predicting marginal land resources for switchgrass, such as soil water content (2.22% (95% CI 1.94–2.51%)), soil class (2.20% (95% CI 1.85–2.56%)), and soil depth (0.16% (95% CI 0.13–0.19%)).
Table 2.
The relative contribution of each environmental factor adopted in this study.
3.3. Potential Suitable Marginal Land Resources for Switchgrass
The threshold value of 0.5 on the environmental suitability was used to distinguish whether each 5 × 5 km2 unit is suitable for cultivating switchgrass. Shrubland, savannas, and grasslands were chosen in land cover datasets to determine marginal lands, while wetlands, forests, and cropland were excluded due to their functions in ecology or food security. The result from globally mapping the marginal land resources qualified to grow switchgrass was presented in Figure A1a. The suitable marginal land was primarily distributed in western and southern North America, eastern and southern coastal South America, central and southern Africa, northern Oceania, particularly concentrated in Australia, Brazil, United States, Argentina, Sudan, etc.
Table 3 summarizes the area of potential marginal land resources suitable for switchgrass in different regions. It shows that the amount of potential marginal land supporting switchgrass cultivation across the world is 2229.80 million hectares. Africa possesses the largest potential marginal land area supporting switchgrass cultivation with 750.87 million hectares, followed by 490.59 million hectares in South America’s and 480.14 million hectares in Oceania. North America’s potential marginal land area is about 297.50 million hectares (immediately follows), while the potential marginal land resource in Asia is 142.09 million hectares. Europe, of all the continents, contains the minimum area of marginal land with only 68.61 million hectares. Of all the countries listed below, Australia possesses the largest amount of marginal land, containing even a lot more suitable land resources than that in entire North America: around 474.51 million hectares. The country with the second most suitable land resources is Brazil (298.19 million hectares) in South America, followed by the United States (222.81 million hectares), South Africa (90.54 million hectares), Argentina (88.17million hectares), Sudan (81.25 million hectares), Mexico (72.33 million hectares), Namibia (52.18 million hectares), Botswana (49.48 million hectares), and Tanzania (44.55 million hectares). Other countries apart from those mentioned above have no more than 42 million hectares of marginal land.
Table 3.
Area of potential marginal land resources for switchgrass in each major continent and top ten countries.
4. Discussion
Switchgrass-based fuel ethanol has been well demonstrated as a substitute for gasoline [9], but information about its global potential marginal land resources remains limited. In this study, globally quantifying the potential marginal lands for switchgrass is a two-step process. The first and primary step is to identify suitable land resources that potentially supporting switchgrass growth in terms of environmental suitability on the basis of the BRTs model. The second step is to analyze the potential marginal land resources qualified to grow switchgrass based on several selected land cover types. Given the results, we managed to establish a baseline of estimating how the potential marginal land resources for switchgrass might be distributed across the world.
Switchgrass is a perennial grass originally grown in North America that is well-adapted to varying environments with its high resistance to drought [9]. It is also widespread from the southeastern USA, westward to the Rocky Mountains, as far south as Mexico, and northward into Canada [52], which is in accordance with most of the regions in our predicted map. Generally, the assessment of global switchgrass marginal land in this study is legitimate. The investigated patterns indicate that the annual cumulative precipitation, land cover, maximum annual temperature, mean solar radiation, minimum annual temperature, and slope were the major influential factors for evaluating the potentially suitable land resources for switchgrass, with mean contribution rates more than 3%. Besides, we further explored the correlations between the major variables and switchgrass suitability shown in Figure A2. For instance, we observed that the possibility of suitable land for switchgrass would rise in accordance with the increase in the annual cumulative precipitation. However, its effect on the response disappeared once the amount of the annual cumulative precipitation exceeds 2000 mm.
In terms of estimated marginal land resources supporting switchgrass growth, there are as many as about 2229.80 million hectares. However, this does not guarantee us a booming industry of the switchgrass-based fuel ethanol. It is complicated when it comes to developing the switchgrass-based ethanol industry given the necessity to consider not only the abundance of satisfying land resources in one place but also conversion technology and costs of production there. As an example, despite Africa having the greatest potential resources for developing switchgrass-based fuel ethanol, it has been slowed because a considerable initial investment and the building of infrastructure are required [53]. North America is also abundant in potential marginal land resources with 297.50 million hectares. In the United States where the biofuel market is completed, for instance, the economic and environmental benefits of switchgrass-based ethanol determine its market share. In Asia, the potential marginal land resources of switchgrass are about 142.09 million hectares, whereas the industry is still in its infancy. For example, the development of switchgrass-based ethanol in China is mainly determined by ecological protection policies and economic benefits [54].
To develop switchgrass-based ethanol, several critical factors must be put into consideration. For example, the amount of greenhouse gas (GHG) emission in the Life Cycle Assessment of switchgrass-based ethanol production should meet the government’s requirements [55]. In addition, field management measures and targeted financial support are in desperate need to improve biomass production and to make it more profitable [56,57]. Moreover, the additional negative impacts on the soil environment, such as acidification and eutrophication, should not be neglected [58]. Therefore, policymakers need to integrate factors such as environmental preservation and sustainable growth of the economy to facilitate rational and long-term development for the switchgrass-based fuel ethanol industry. It is noted that extreme weather, freezing rain, and protected area that would affect switchgrass production [46] were not included in the input data of the model given the unavailability of high-precision global data. As a result, a likely deviation in the estimated would occur in this study. We will adopt a biophysical and biogeochemical model to evaluate the economic benefits of the switchgrass-based fuel ethanol industry in the future on the basis of potential suitability distribution for switchgrass. Additionally, it is not deeper explored the actual possibility of developing switchgrass in different countries. The economic and environmental benefits rooted in planting switchgrass as ethanol fuel in places providing potential marginal land resources across the planet will be further explored.
5. Conclusions
In this study, we employed a boosted regression tree (BRT) modeling procedure to draw the first global distribution map of the switchgrass growing in potential marginal land referred from the released switchgrass records with various high-spatial-resolution environmental variables. Meanwhile, the BRT model had good performance with the precision validation AUC of 0.960. The result indicates that the available marginal land resources meeting the switchgrass suitable environment demands are widely distributed across the world, with the total amount of 2229.8 million hectares, particularly in the southern and western parts of North America, coastal areas in the southern and eastern parts of South America, central and southern Africa, and northern Oceania.
Author Contributions
D.J. and F.D.: Methodology, Software, Resources, Data Curation, Funding acquisition. P.F. and F.D.: Methodology, Software, Formal analysis, Data Curation, Writing-Original Draft, Visualization. M.H. and D.D.: Conceptualization, Validation, Supervision. All authors reviewed the manuscript. All authors have read and agreed to the published version of the manuscript.
Funding
This research was funded by the Ministry of Science and Technology of China, grant numbers 2019YFC0507805.
Acknowledgments
We thank Qiaoling Zhu and Yushu Qian for providing valuable suggestions.
Conflicts of Interest
The authors declare no conflict of interest.
Appendix A

Figure A1.
(a) Spatial distribution of the estimated potential marginal land resources suitable for switchgrass. (b) Spatial distribution of the marginal land use type suitable for switchgrass.
Figure A2.
Relative contribution of environmental factors predicting the global distribution of switchgrass: (a) Annual cumulative precipitation, (b) land cover, (c) annual maximum temperature, (d) mean solar radiation, (e) annual minimum temperature, and (f) slope.
References
- BP. BP: Statistical Review of World Energy 2020. Available online: https://www.bp.com/en/global/corporate/energy-economics/statistical-review-of-world-energy.html (accessed on 24 November 2020).
- Samuel, B.; McLaughlin, L.A.K. Development of switchgrass (Panicum virgatum) as a bioenergy feedstock in the United States. Biomass Bioenergy 2005, 28, 515–535. [Google Scholar]
- El Akkari, M.; Rechauchère, O.; Bispo, A.; Gabrielle, B.; Makowski, D. A meta-analysis of the greenhouse gas abatement of bioenergy factoring in land use changes. Sci. Rep. 2018, 8, 8563–8569. [Google Scholar] [CrossRef] [PubMed]
- Clifton-Brown, J.; Harfouche, A.; Casler, M.D.; Dylan Jones, H.; Macalpine, W.J.; Murphy-Bokern, D.; Smart, L.B.; Adler, A.; Ashman, C.; Awty-Carroll, D.; et al. Breeding progress and preparedness for mass-scale deployment of perennial lignocellulosic biomass crops switchgrass, miscanthus, willow and poplar. Glob. Chang. Biol. Bioenergy 2019, 11, 118–151. [Google Scholar] [CrossRef] [PubMed]
- Akkari, M.E.; Ferchaud, F.; Strullu, L.; Shield, I.; Perrin, A.; Drouet, J.L.; Jayet, P.A.; Gabrielle, B. Using a crop model to benchmark miscanthus and switchgrass. Energies 2020, 13, 3942. [Google Scholar] [CrossRef]
- McLaughlin, S.B.; De La Torre Ugarte, D.G.; Garten, C.T.; Lynd, L.R.; Sanderson, M.A.; Tolbert, V.R.; Wolf, D.D. High-value renewable energy from prairie grasses. Environ. Technol. 2002, 36, 2122–2129. [Google Scholar] [CrossRef]
- Vadas, P.A.; Barnett, K.H.; Undersander, D.J. Economics and energy of ethanol production from Alfalfa, corn, and switchgrass in the Upper Midwest, USA. Bioenergy Res. 2008, 1, 44–55. [Google Scholar] [CrossRef]
- Hill, J.; Nelson, E.; Tilman, D.; Polasky, S.; Tiffany, D. Environmental, economic, and energetic costs and benefits of biodiesel and ethanol biofuels. Proc. Natl. Acad. Sci. USA 2006, 103, 11206–11210. [Google Scholar] [CrossRef]
- Schmer, M.R.; Vogel, K.P.; Mitchell, R.B.; Perrin, R.K. Net energy of cellulosic ethanol from switchgrass. Proc. Natl. Acad. Sci. USA 2008, 105, 464–469. [Google Scholar] [CrossRef]
- Schmer, M.R.; Vogel, K.P.; Varvel, G.E.; Follett, R.F.; Mitchell, R.B.; Jin, V.L. Energy potential and greenhouse gas emissions from bioenergy cropping systems on marginally productive cropland. PLoS ONE 2014, 9, e89501. [Google Scholar] [CrossRef]
- Xun, Z.; Jingying, F.; Gang, L.; Dong, J.; Xiaoxi, Y. Switchgrass-Based Bioethanol Productivity and Potential Environmental Impact from Marginal Lands in China. Energies 2017, 10, 260. [Google Scholar]
- Cheng, Z.; Yasir, I.; Nicholas, L.; Guorong, S.; Hui, F.; Zili, Y.; Liang, X. Performance of switchgrass and Miscanthus genotypes on marginal land in the Yellow River Delta. Ind. Crops Prod. 2019, 141, 111773–111781. [Google Scholar]
- Smeets, E.; Lewandowski, I.; Faaij, A. The economical and environmental performance of miscanthus and switchgrass production and supply chains in a European setting. Renew. Sustain. Energy Rev. 2009, 13, 1230–1245. [Google Scholar] [CrossRef]
- Liebig, M.A.; Schmer, M.R.; Vogel, K.P.; Mitchell, R.B. Soil Carbon Storage by Switchgrass Grown for Bioenergy. Bioenergy Res. 2008, 1, 215–222. [Google Scholar] [CrossRef]
- Mochizuki, T.; Abe, Y.; Toba, M.; Yoshimura, Y. Production of high quality transportation fuel from non-food biomass. Oleoscience 2012, 12, 175–181. [Google Scholar] [CrossRef][Green Version]
- Jiang, D.; Wang, Q.; Ding, F.; Fu, J.; Hao, M. Potential marginal land resources of cassava worldwide: A data-driven analysis. Renew. Sustain. Energy Rev. 2019, 104, 167–173. [Google Scholar] [CrossRef]
- Saha, M.; Eckelman, M.J. Geospatial assessment of potential bioenergy crop production on urban marginal land. Appl. Energy 2015, 159, 540–547. [Google Scholar] [CrossRef]
- Liu, T.; Huffman, T.; Kulshreshtha, S.; McConkey, B.; Du, Y.; Green, M.; Liu, J.; Shang, J.; Geng, X. Bioenergy production on marginal land in Canada: Potential, economic feasibility, and greenhouse gas emissions impacts. Appl. Energy 2017, 205, 477–485. [Google Scholar] [CrossRef]
- Zhuang, D.; Jiang, D.; Liu, L.; Huang, Y. Assessment of bioenergy potential on marginal land in China. Renew. Sustain. Energy Rev. 2011, 15, 1050–1056. [Google Scholar] [CrossRef]
- Enze, J.; Gamini, P.M.; John, W.S. Integrated sustainability assessment for a bioenergy system: A system dynamics model of switchgrass for cellulosic ethanol production in the U.S. midwest. J. Clean. Prod. 2019, 234, 503–520. [Google Scholar]
- Lovett, A.A.; Sünnenberg, G.M.; Richter, G.M.; Dailey, A.G.; Riche, A.B.; Karp, A. Land use implications of increased biomass production identified by GIS-based suitability and yield mapping for Miscanthus in England. BioEnergy Res. 2009, 2, 17–28. [Google Scholar] [CrossRef]
- Lovett, A.; Sünnenberg, G.; Dockerty, T. The availability of land for perennial energy crops in Great Britain. Glob. Chang. Biol. Bioenergy 2014, 6, 99–107. [Google Scholar] [CrossRef]
- Jiang, D.; Hao, M.; Fu, J.; Zhuang, D.; Huang, Y. Spatial-temporal variation of marginal land suitable for energy plants from 1990 to 2010 in China. Sci. Rep. 2014, 4, 5816. [Google Scholar] [CrossRef] [PubMed]
- Kang, S.; Post, W.M.; Nichols, J.A.; Wang, D.; West, T.O.; Bandaru, V.; Izaurralde, R.C. Marginal lands: Concept, assessment and management. J. Agric. Sci. 2013, 5, 129–139. [Google Scholar] [CrossRef]
- Jiang, D.; Ma, T.; Ding, F.; Fu, J.; Hao, M.; Wang, Q.; Chen, S. Mapping global environmental suitability for Sorghum bicolor (L.) Moench. Energies 2019, 12, 1928. [Google Scholar] [CrossRef]
- Xue, S.; Lewandowski, I.; Wang, X.; Yi, Z. Assessment of the production potentials of Miscanthus on marginal land in China. Renew. Sustain. Energy Rev. 2016, 54, 932–943. [Google Scholar] [CrossRef]
- Pigott, D.M.; Golding, N.; Mylne, A.; Huang, Z.; Henry, A.J.; Weiss, D.J.; Brady, O.J.; Kraemer, M.U.G.; Smith, D.L.; Moyes, C.L.; et al. Mapping the zoonotic niche of Ebola virus disease in Africa. Elife 2014, 3, e04395. [Google Scholar] [CrossRef]
- Kraemer, M.U.G.; Sinka, M.E.; Duda, K.A.; Mylne, A.Q.N.; Shearer, F.M.; Barker, C.M.; Moore, C.G.; Carvalho, R.G.; Coelho, G.E.; Van Bortel, W.; et al. The global distribution of the arbovirus vectors Aedes aegypti and Ae. albopictus. ELife 2015, 4, e08347. [Google Scholar] [CrossRef]
- Lu, L.; Jiang, D.; Zhuang, D.; Huang, Y. Evaluating the Marginal Land Resources Suitable for Developing Pistacia chinensis-Based Biodiesel in China. Energies 2012, 5, 2165–2177. [Google Scholar] [CrossRef]
- Liu, L.; Zhuang, D.; Jiang, D.; Fu, J. Assessment of the biomass energy potentials and environmental benefits of Jatropha curcas L. in southwest China. Biomass Bioenergy 2013, 56, 342–350. [Google Scholar] [CrossRef]
- NASA’s Earth Observatory Group. Available online: https://lpdaac.usgs.gov/ (accessed on 24 November 2020).
- Friedl, M.A.; Sulla-Menashe, D.; Tan, B.; Schneider, A.; Ramankutty, N.; Sibley, A.; Huang, X. MODIS Collection 5 global land cover: Algorithm refinements and characterization of new datasets. Remote Sens. Environ. 2010, 114, 168–182. [Google Scholar] [CrossRef]
- Fu, J.; Jiang, D.; Huang, Y.; Zhuang, D.; Ji, W. Evaluating the marginal land resources suitable for developing bioenergy in Asia. Adv. Meteorol. 2014, 4, 238945. [Google Scholar] [CrossRef]
- CGIAR Consortium for Spatial Information. Available online: http://srtm.csi.cgiar.org (accessed on 24 November 2020).
- Jarvis, A.; Guevara, E.; Reuter, H.I.; Nelson, A.D. Hole-filled SRTM for the globe: Version 4, International Centre for Tropical Agriculture (CIAT). Available online: https://cgiarcsi.community/data/srtm-90m-digital-elevation-database-v4-1/ (accessed on 24 November 2020).
- Vaičiulytė, V.; Butkienė, R.; Ložienė, K. Effects of meteorological conditions and plant growth stage on the accumulation of carvacrol and its precursors in Thymus pulegioides. Phytochemistry 2016, 128, 20–26. [Google Scholar] [CrossRef] [PubMed]
- Diallo, M.-D.; Wood, S.A.; Diallo, A.; Mahatma-Saleh, M.; Ndiaye, O.; Tine, A.K.; Ngamb, T.; Guisse, M.; Seck, S.; Diop, A.; et al. Soil suitability for the production of rice, groundnut, and cassava in the peri-urban Niayes zone, Senegal. Soil Tillage Res. 2016, 155, 412–420. [Google Scholar] [CrossRef]
- Ferchaud, F.; Vitte, G.; Bornet, F.; Strullu, L.; Mary, B. Soil water uptake and root distribution of different perennial and annual bioenergy crops. Plant Soil 2014, 388, 307–322. [Google Scholar] [CrossRef]
- Jones, D.L.; Rousk, J.; Edwards-Jones, G.; DeLuca, T.H.; Murphy, D.V. Biochar-mediated changes in soil quality and plant growth in a three year field trial. Soil Biol. Biochem. 2012, 45, 113–124. [Google Scholar] [CrossRef]
- WorldClim Version 2 database. Available online: http://www.wclim.org (accessed on 24 November 2020).
- Sanderson, M.; Reed, R.; Ocumpaugh, W.; Hussey, M.; Van Esbroeck, G.; Read, J.; Tischler, C.; Hons, F. Switchgrass cultivars and germplasm for biomass feedstock production in Texas. Bioresour. Technol. 1999, 67, 209–219. [Google Scholar] [CrossRef]
- Wu, W.; Huang, J.; Deng, X. Potential land for plantation of Jatropha curcas as feedstocks for biodiesel in China. Sci. China Earth Sci. 2010, 53, 120–127. [Google Scholar] [CrossRef]
- World Soil Information. Available online: http://www.isric.org (accessed on 24 November 2020).
- Hartman, J.C.; Nippert, J.; Orozco, R.A.; Springer, C.J. Potential ecological impacts of switchgrass (Panicum virgatum L.) biofuel cultivation in the Central Great Plains, USA. Biomass Bioenergy 2011, 35, 3415–3421. [Google Scholar] [CrossRef]
- Long, S.P. Modification of the response of photosynthetic productivity to rising temperature by atmospheric CO2 concentrations: Has its importance been underestimated? Plant Cell Environ. 1991, 14, 729–739. [Google Scholar] [CrossRef]
- Fike, J.H.; Parrish, D.J.; Wolf, D.D.; Balasko, J.A.; Green, J.T.; Rasnake, M.; Reynolds, J.H. Long-term yield potential of switchgrass-for-biofuel systems. Biomass Bioenergy 2006, 30, 198–206. [Google Scholar] [CrossRef]
- Global Biodiversity Information Facility. Available online: http://www.gbif.org (accessed on 24 November 2020).
- Hijmans, R.J.; Cameron, S.E.; Parra, J.L.; Jones, P.G.; Jarvis, A. Very high resolution interpolated climate surfaces for global land areas. Int. J. Clim. 2005, 25, 1965–1978. [Google Scholar] [CrossRef]
- Elith, J.; Graham, L.J.; Anderson, R.P.; Dudík, M.; Ferrier, S.; Guisan, A.; Hijmans, R.J.; Huettmann, F.; Leathwick, J.R.; Lehmann, A.; et al. Novel methods improve prediction of species’ distributions from occurrence data. Ecography 2006, 29, 129–151. [Google Scholar] [CrossRef]
- Chefaoui, R.M.; Lobo, J.M. Assessing the effects of pseudo-absences on predictive distribution model performance. Ecol. Model. 2008, 210, 478–486. [Google Scholar] [CrossRef]
- Duclos, D.V.; Altobello, C.O.; Taylor, A.G. Investigating seed dormancy in switchgrass (Panicum virgatum L.): Elucidating the effect of temperature regimes and plant hormones on embryo dormancy. Ind. Crop. Prod. 2014, 58, 148–159. [Google Scholar] [CrossRef]
- Madakadze, I.; Stewart, K.; Peterson, P.; Coulman, B.E.; Smith, D.L. Switchgrass Biomass and Chemical Composition for Biofuel in Eastern Canada. Agron. J. 1999, 91, 696–701. [Google Scholar] [CrossRef]
- Stafford, W.H.; Lotter, G.A.; Von Maltitz, G.P.; Brent, A.C. Biofuels technology development in Southern Africa. Dev. South. Afr. 2018, 36, 155–174. [Google Scholar] [CrossRef]
- Cooney, D.; Kim, H.; Quinn, L.; Lee, M.-S.; Guo, J.; Chen, S.-L.; Xu, B.-C.; Lee, D.K. Switchgrass as a bioenergy crop in the Loess Plateau, China: Potential lignocellulosic feedstock production and environmental conservation. J. Integr. Agric. 2017, 16, 1211–1226. [Google Scholar] [CrossRef]
- Cherubini, F.; Jungmeier, G. LCA of a biorefinery concept producing bioethanol, bioenergy, and chemicals from switchgrass. Int. J. Life Cycle Assess 2010, 15, 53–66. [Google Scholar] [CrossRef]
- James, L.K.; Swinton, S.M.; Thelen, K.D. Profitability analysis of cellulosic energy crops compared with corn. Agron. J. 2010, 102, 675–687. [Google Scholar] [CrossRef]
- Dolan, K.A.; Stoy, P.C.; Poulter, B. Land management and climate change determine second-generation bioenergy potential of the US Northern Great Plains. GCB Bioenergy 2020, 12, 491–509. [Google Scholar] [CrossRef]
- Guretzky, J.A.; Biermacher, J.T.; Cook, B.J.; Maru, K.K.; Jagadeesh, M. Switchgrass for forage and bioenergy: Harvest and nitrogen rate effects on biomass yields and nutrient composition. Plant Soil 2011, 339, 69–81. [Google Scholar] [CrossRef]
Publisher’s Note: MDPI stays neutral with regard to jurisdictional claims in published maps and institutional affiliations. |
© 2020 by the authors. Licensee MDPI, Basel, Switzerland. This article is an open access article distributed under the terms and conditions of the Creative Commons Attribution (CC BY) license (http://creativecommons.org/licenses/by/4.0/).