Energy Optimization for Motorized Spindle System of Machine Tools under Minimum Thermal Effects and Maximum Productivity Constraints
Abstract
1. Introduction
- A novel energy efficiency model of motorized spindle system with exergy concept is developed by taking the energy consumption for material removal and thermal deformation control as useful energy consumption.
- A multi-objective optimization model is proposed with the objectives of maximum energy efficiency, minimum spindle average temperature, and maximum material removal rate.
- The feasibility and effectiveness of the proposed optimization model are validated by a case study and the optimal decision variables are discovered by solving the proposed model.
2. Energy Modelling of Motorized Spindle System
2.1. Composition of Motorized Spindle System
2.2. Energy Characteristics Modelling
2.2.1. Spindle Motor Power Model
2.2.2. Spindle Cooling Power Model
3. Multi-Objective Optimization of Motorized Spindle System
3.1. Objective Functions
3.1.1. Overall Energy Efficiency
3.1.2. Material Removal Rate
3.1.3. Spindle Temperature at Thermal Equilibrium State
3.2. Decision Variables
3.3. Constraints
3.4. Optimization Model
3.5. Solution Method
4. Case Study
4.1. Optimization Results
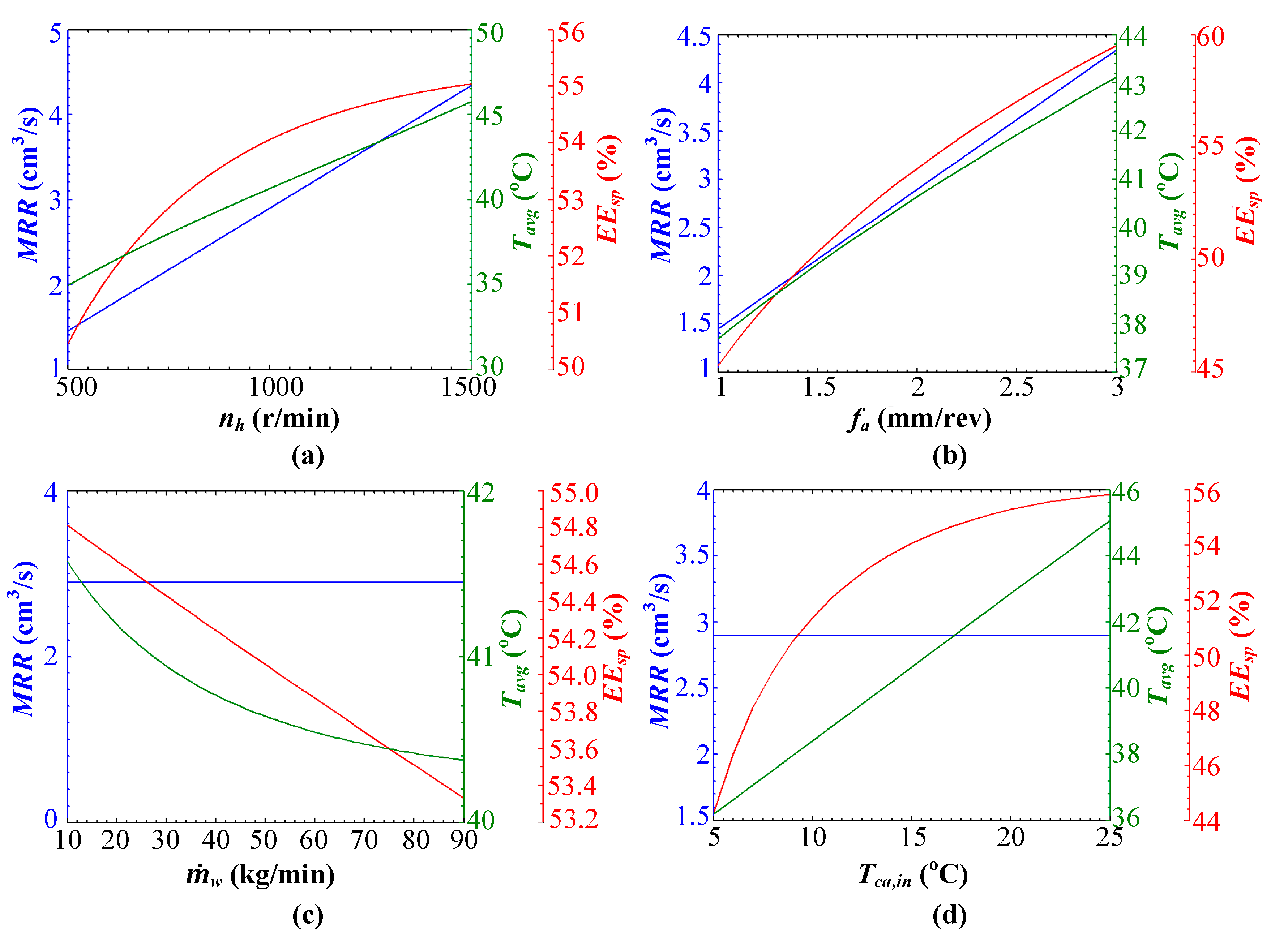
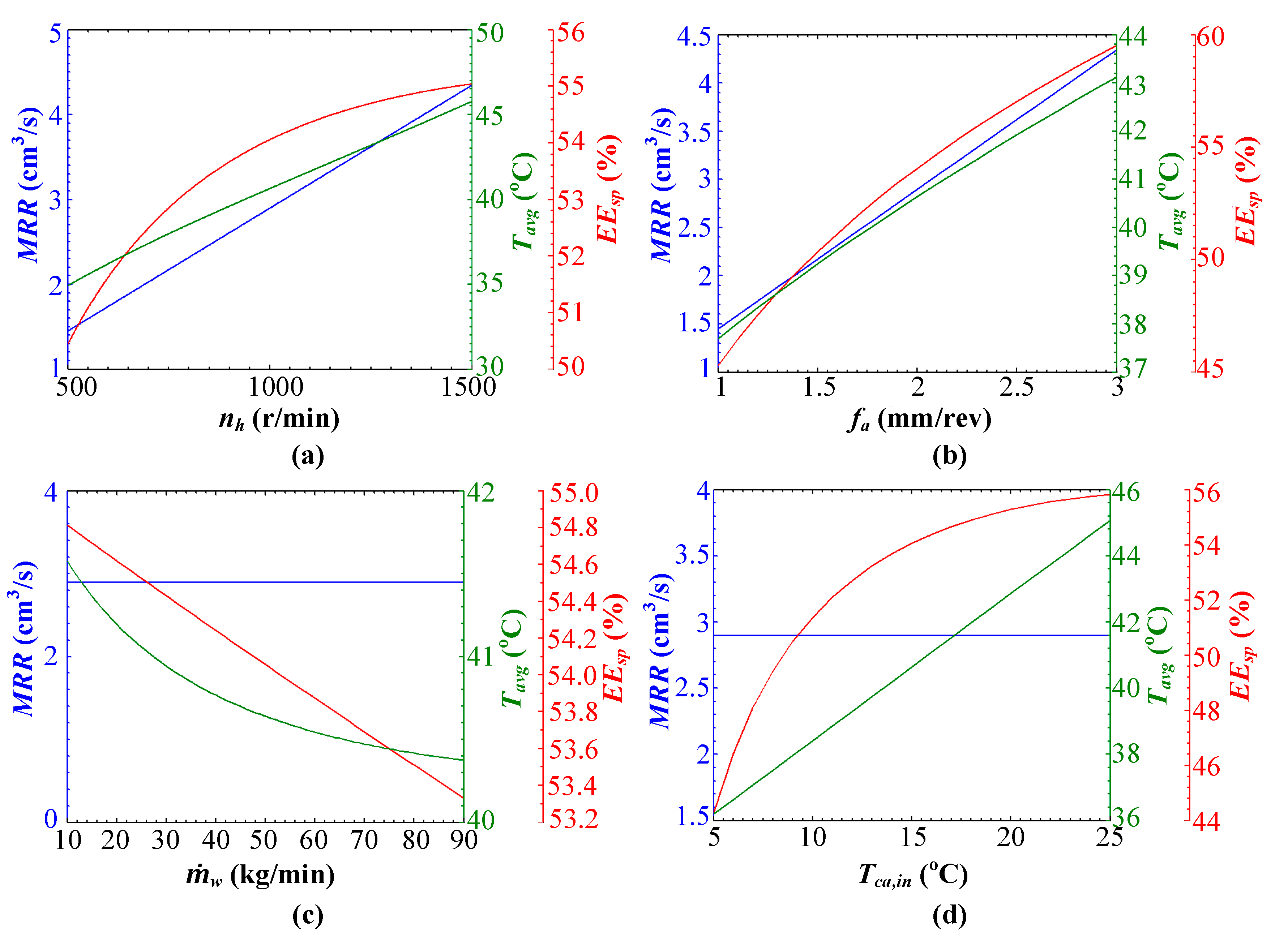
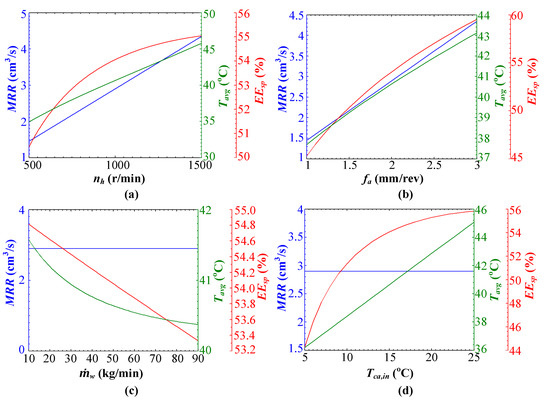
4.2. Variations of Optimization Objectives
5. Conclusions and Outlook
Author Contributions
Funding
Acknowledgments
Conflicts of Interest
References
- Duflou, J.R.; Sutherland, J.W.; Dornfeld, D.; Herrmann, C.; Jeswiet, J.; Kara, S.; Hauschild, M.; Kellens, K. Towards energy and resource efficient manufacturing: A processes and systems approach. Cirp. Ann. Manuf. Technol. 2012, 61, 587–609. [Google Scholar] [CrossRef]
- Jenny, L.D.; Carlos, O.M. Energy efficiency in discrete-manufacturing systems: Insights, trends, and control strategies. J. Manuf. Syst. 2019, 52, 131–145. [Google Scholar] [CrossRef]
- May, G.; Barletta, I.; Stahl, B.; Taisch, M. Energy management in production: A novel method to develop key performance indicators for improving energy efficiency. Appl. Energ. 2015, 149, 46–61. [Google Scholar] [CrossRef]
- Yoon, H.S.; Kim, E.S.; Kim, M.S.; Lee, J.Y.; Lee, G.B.; Ahn, S.H. Towards greener machine tools—A review on energy saving strategies and technologies. Renew. Sust. Energ. Rev. 2015, 48, 870–891. [Google Scholar] [CrossRef]
- Denkena, B.; Abele, E.; Brecher, C.; Dittrich, M.A.; Kara, S.; Mori, M. Energy efficient machine tools. Cirp. Ann. Manuf. Technol. 2020, 69, 646–667. [Google Scholar] [CrossRef]
- Kroll, L.; Blau, P.; Wabner, M.; Frie, U.; Eulitz, J.; Kl?rner, M. Lightweight components for energy-efficient machine tools. Cirp. J. Manuf. Sci. Technol. 2011, 4, 148–160. [Google Scholar] [CrossRef]
- Yi, Q.; Li, C.B.; Ji, Q.Q.; Zhu, D.G.; Jin, Y.; Li, L.L. Design optimization of lathe spindle system for optimum energy efficiency. J. Clean Prod. 2020, 250. in press. [Google Scholar] [CrossRef]
- Neugebauer, R.; Wabner, M.; Rentzsch, H.; Ihlenfeldt, S. Structure principles of energy efficient machine tools. Cirp. J. Manuf. Sci. Technol. 2011, 4, 136–147. [Google Scholar] [CrossRef]
- Kara, S.; Li, W. Unit process energy consumption models for material removal processes. Cirp. Ann. Manuf. Technol. 2011, 60, 37–40. [Google Scholar] [CrossRef]
- Lv, J.X.; Tang, R.Z.; Tang, W.C.J.; Jia, S.; Liu, Y.; Cao, Y.L. An investigation into methods for predicting material removal energy consumption in turning. J. Clean Prod. 2018, 193, 128–139. [Google Scholar] [CrossRef]
- Balogun, V.A.; Edem, I.F.; Adekunle, A.A.; Mativenga, P.T. Specific energy based evaluation of machining efficiency. J. Clean Prod. 2016, 116, 187–197. [Google Scholar] [CrossRef]
- Albertelli, P. Energy saving opportunities in direct drive machine tool spindles. J. Clean Prod. 2017, 165, 855–873. [Google Scholar] [CrossRef]
- Yoon, H.S.; Singh, E.; Min, S. Empirical power consumption model for rotational axes in machine tools. J. Clean Prod. 2018, 196, 370–381. [Google Scholar] [CrossRef]
- Okwudire, C.; Rodgers, J. Design and control of a novel hybrid feed drive for high performance and energy efficient machining. Cirp. Ann. Manuf. Technol. 2013, 62, 391–394. [Google Scholar] [CrossRef]
- Gao, M.D.; Li, L.; Wang, Q.Y.; Liu, C.H. Energy Efficiency and Dynamic Analysis of a Novel Hydraulic System with Double Actuator. Int. J. Precis Eng. Manuf. Green Technol. 2020, 7, 643–655. [Google Scholar] [CrossRef]
- Kolar, M.; Vyroubal, J.; Smolik, J. Analytical approach to establishment of predictive models of power consumption of machine tools’ auxiliary units. J. Clean Prod. 2016, 137, 361–369. [Google Scholar] [CrossRef]
- Shang, Z.D.; Gao, D.; Jiang, Z.P.; Lu, Y. Towards less energy intensive heavy-duty machine tools: Power consumption characteristics and energy-saving strategies. Energy 2019, 178, 263–276. [Google Scholar] [CrossRef]
- Xiao, Q.G.; Li, C.B.; Tang, Y.; Pan, J.; Yu, J.; Chen, X.Z. Multi-component energy modeling and optimization for sustainable dry gear hobbing. Energy 2019, 187. in press. [Google Scholar] [CrossRef]
- Shin, S.J.; Woo, J.; Rachuri, S. Energy efficiency of milling machining: Component modeling and online optimization of cutting parameters. J. Clean Prod. 2017, 161, 12–29. [Google Scholar] [CrossRef]
- Xiao, Q.G.; Li, C.B.; Tang, Y.; Li, L.L.; Li, L. A knowledge-driven method of adaptively optimizing process parameters for energy efficient turning. Energy 2019, 166, 142–156. [Google Scholar] [CrossRef]
- Mori, K.; Bergmann, B.; Kono, D.; Denkena, B.; Matsubara, A. Energy efficiency improvement of machine tool spindle cooling system with on–off control. Cirp. J. Manuf. Sci. Technol. 2019, 25, 14–21. [Google Scholar] [CrossRef]
- Wójcicki, J.; Leonesio, M.; Bianchi, G. Integrated energy analysis of cutting process and spindle subsystem in a turning machine. J. Clean Prod. 2018, 170, 1459–1472. [Google Scholar] [CrossRef]
- Liu, F.; Xie, J.; Liu, S. A method for predicting the energy consumption of the main driving system of a machine tool in a machining process. J. Clean Prod. 2015, 105, 171–177. [Google Scholar] [CrossRef]
- Lv, J.X.; Tang, R.Z.; Tang, W.C.J.; Liu, Y.; Zhang, Y.F.; Jia, S. An investigation into reducing the spindle acceleration energy consumption of machine tools. J. Clean Prod. 2017, 143, 794–803. [Google Scholar] [CrossRef]
- Abele, E.; Sielaff, T.; Schiffler, A.; Rothenbücher, S. Analyzing energy consumption of machine tool spindle units and identification of potential for improvements of efficiency. In Glocalized Solutions for Sustainability in Manufacturing; Springer: Berlin/Heidelberg, Germany, 2011; pp. 280–285. [Google Scholar] [CrossRef]
- Wennemer, M.; Brecher, C.; Klatte, M.; Jasper, D. Thermo Energetic Design of Machine Tools and Requirements for Smart Fluid Power Systems. In Proceedings of the 10th International Fluid Power Conference, Dresden, Germany, 8–10 March 2016; pp. 177–194. [Google Scholar]
- Denkena, B.; Helmecke, P.; Hülsemeyer, L. Energy Efficient Machining with Optimized Coolant Lubrication Flow Rates. Procedia Cirp. 2014, 24, 25–31. [Google Scholar] [CrossRef]
- Zhao, G.Y.; Liu, Z.Y.; He, Y.; Cao, H.J.; Guo, Y.B. Energy consumption in machining: Classification, prediction, and reduction strategy. Energy 2017, 133, 142–157. [Google Scholar] [CrossRef]
- Bossmanns, B.; Tu, J.F. A Power Flow Model for High Speed Motorized Spindles-Heat Generation Characterization. J. Manuf. Sci. Eng. 2001, 123, 494–505. [Google Scholar] [CrossRef]
- Grama, S.N.; Mathur, A.; Badhe, A.N. A model-based cooling strategy for motorized spindle to reduce thermal errors. Int. J. Mach. Tool Manuf. 2018, 132, 3–16. [Google Scholar] [CrossRef]
- NSK. Technical Manual of NSK Rolling Bearings; NSK Ltd.: Tokyo, Japan, 2008. [Google Scholar]
- Li, K.Y.; Luo, W.J.; Hong, X.H.; Wei, S.J.; Tsai, P.H. Enhancement of Machining Accuracy Utilizing Varied Cooling Oil Volume for Machine Tool Spindle. IEEE Access 2020, 8, 28988–29003. [Google Scholar] [CrossRef]
- Pusavec, F.; Krajnik, P.; Kopac, J. Transitioning to sustainable production—Part I: Application on machining technologies. J. Clean Prod. 2010, 18, 174–184. [Google Scholar] [CrossRef]
- Zhu, L.B.; Cao, H.J.; Huang, H.H.; Yang, X. Exergy analysis and multi-objective optimization of air cooling system for dry machining. Int. J. Adv. Manuf. Technol. 2017, 93, 3175–3188. [Google Scholar] [CrossRef]
- Li, B.J.; Cao, H.J.; Hon, B.; Liu, L.; Gao, X. Exergy-based Energy Efficiency Evaluation Model for Machine Tools Considering Thermal Stability. Int. J. Precis Eng. Manuf. Green Technol. 2020, in press. [Google Scholar] [CrossRef]
- Cengel, Y.A.; Boles, M.A. Thermodynamics: An. Engineering Approach, 7th ed.; McGraw-Hill Education: New York, NY, USA, 2010. [Google Scholar]
- Li, B.J.; Cao, H.J.; Yang, X.; Jafar, S.; Zeng, D. Thermal energy balance control model of motorized spindle system enabling high-speed dry hobbing process. J. Manuf. Process. 2018, 35, 29–39. [Google Scholar] [CrossRef]
- Bergman, T.L.; Lavine, A.S.; Incropera, F.P.; Dewitt, D.P. Fundamentals of Heat and Mass Transfer, 7th ed.; John Wiley & Sons, Inc.: Hoboken, NJ, USA, 2011. [Google Scholar]
- Liu, J.; Chen, X. Dynamic design for motorized spindles based on an integrated model. Int. J. Adv. Manuf. Technol. 2014, 71, 1961–1974. [Google Scholar] [CrossRef]
- Bossmanns, B.; Tu, J.F. A thermal model for high speed motorized spindles. Int. J. Mach. Tool Manuf. 1999, 39, 1345–1366. [Google Scholar] [CrossRef]
- Deb, K.; Pratap, A.; Agarwal, S.; Meyarivan, T. A fast and elitist multiobjective genetic algorithm: NSGA-II. IEEE Trans. Evol. Comput. 2002, 6, 182–197. [Google Scholar] [CrossRef]
- Lin, Y.K.; Yeh, C.T. Multi-objective optimization for stochastic computer networks using NSGA-II and TOPSIS. Eur. J. Oper. Res. 2012, 218, 735–746. [Google Scholar] [CrossRef]
- Navidbakhsh, M.; Shirazi, A.; Sanaye, S. Four E analysis and multi-objective optimization of an ice storage system incorporating PCM as the partial cold storage for air-conditioning applications. Appl. Eng. 2013, 58, 30–41. [Google Scholar] [CrossRef]
- Yue, Z.L. A method for group decision-making based on determining weights of decision makers using TOPSIS. Appl. Math. Model. 2011, 35, 1926–1936. [Google Scholar] [CrossRef]
- Shirazi, A.; Najafi, B.; Aminyavari, M.; Rinaldi, F.; Taylor, R.A. Thermal-economic-environmental analysis and multi-objective optimization of an ice thermal energy storage system for gas turbine cycle inlet air cooling. Energy 2014, 69, 212–226. [Google Scholar] [CrossRef]








| Item | Value |
|---|---|
| Rated power of spindle motor | 20 kW |
| Rated power of water-cooling machine | 5 kW |
| Maximum spindle speed | 2000 r/min |
| Rotor moment of inertia | 0.08 kgm2 |
| Allowable acceleration | 7100 rad/s2 |
| Temperature of cooling water inlet | 22 °C |
| Pressure of cooling water | 0.2 MPa |
| Pressure of compressed air | 0.6 MPa |
| Spindle Speed (r/min) | 100 | 200 | 300 | 400 | 500 | 600 | 700 |
|---|---|---|---|---|---|---|---|
| Spindle motor power (W) | 420 | 555 | 867 | 1297 | 1770 | 1912 | 1974 |
| Spindle speed (r/min) | 800 | 900 | 1000 | 1100 | 1200 | 1300 | 1400 |
| Spindle motor power (W) | 2160 | 2424 | 2958 | 3337 | 3753 | 4167 | 4452 |
| Optimization Objectives | Optimization Results | |||||||
|---|---|---|---|---|---|---|---|---|
| Objective Functions | Decision Variables | Evaluation Criterion (Cli in TOPSIS [44]) | ||||||
| EEsp (%) | MRR (cm3/s) | Tavg (°C) | n (r/min) | fa (mm/min) | ṁw (kg/min) | Tca,in (°C) | ||
| Production condition | 48.4 | 1.3 | 40.8 | 580 | 71.4 | 38.0 | 13.0 | - |
| Max. EEsp | 61.2 | 4.7 | 48.5 | 1209 | 251.1 | 34.4 | 24.9 | 0.621 |
| Max. EEsp and Min. Tavg | 54.7 | 3.0 | 36.7 | 765 | 158.9 | 37.1 | 11.7 | 0.403 |
| Max. EEsp and Max. MRR | 60.1 | 6.1 | 50.2 | 1491 | 321.1 | 76.3 | 22.0 | 0.723 |
| Max. EEsp and Max. MRR and Min. Tavg | 57.4 | 5.2 | 42.0 | 1340 | 268.0 | 52.1 | 8.5 | 0.750 |
Publisher’s Note: MDPI stays neutral with regard to jurisdictional claims in published maps and institutional affiliations. |
© 2020 by the authors. Licensee MDPI, Basel, Switzerland. This article is an open access article distributed under the terms and conditions of the Creative Commons Attribution (CC BY) license (http://creativecommons.org/licenses/by/4.0/).
Share and Cite
Li, B.; Zheng, H.; Yang, X.; Guo, L.; Li, B. Energy Optimization for Motorized Spindle System of Machine Tools under Minimum Thermal Effects and Maximum Productivity Constraints. Energies 2020, 13, 6032. https://doi.org/10.3390/en13226032
Li B, Zheng H, Yang X, Guo L, Li B. Energy Optimization for Motorized Spindle System of Machine Tools under Minimum Thermal Effects and Maximum Productivity Constraints. Energies. 2020; 13(22):6032. https://doi.org/10.3390/en13226032
Chicago/Turabian StyleLi, Benjie, Hualin Zheng, Xiao Yang, Liang Guo, and Binglin Li. 2020. "Energy Optimization for Motorized Spindle System of Machine Tools under Minimum Thermal Effects and Maximum Productivity Constraints" Energies 13, no. 22: 6032. https://doi.org/10.3390/en13226032
APA StyleLi, B., Zheng, H., Yang, X., Guo, L., & Li, B. (2020). Energy Optimization for Motorized Spindle System of Machine Tools under Minimum Thermal Effects and Maximum Productivity Constraints. Energies, 13(22), 6032. https://doi.org/10.3390/en13226032
