The Influence of Artificial Lighting Systems on the Cultivation of Algae: The Example of Chlorella vulgaris
Abstract
1. Introduction
2. Materials, Methods and Methodology
2.1. Characterization of Biological Material Chlorella vulgaris
2.2. Characteristics of the Test Stand
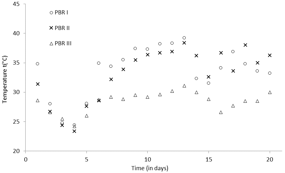
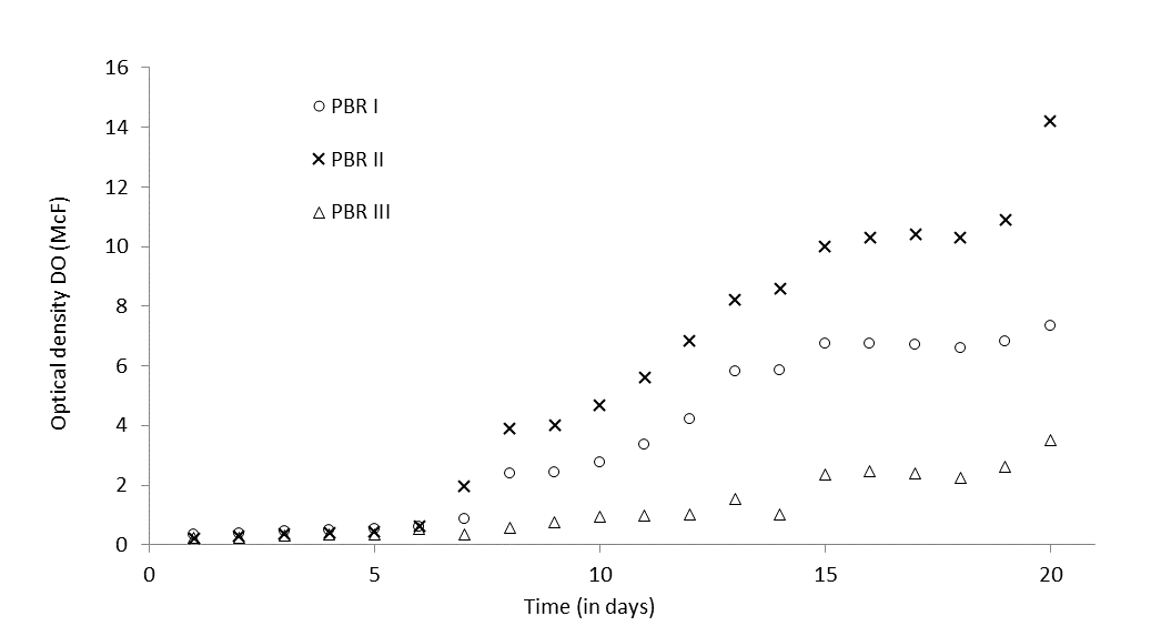
3. Results
4. Conclusions
- Studies have shown that the intensification of culture and the increase in the content of C. vulgaris cells is closely related to the distribution of lighting and the time of exposure of a single cell to radiation.
- The best outcome was observed with the PBR II photobioreactor, which was equipped with a double light jacket and a lower lighting panel. The least favorable was the reactor with the only light source located above the sample (PBR III).
- For PBR II, the maximum daily increase in the number of cells was 6.48 × 1010 per dm3. It also took place on the 13th day of breeding and was 50% higher than in the case of PBR I.
- Between days 11 and 14, the oxygen concentration was observed to rapidly increase by over 100% for both PBR I and PBR II, which correlated fully with the maximum increase in the number of cells for these photobioreactors at that time.
- For photobioreactors PBR I and PBR II, an increased production of oxygen was observed, which was directly related to the increased production of biomass and was dependent on a larger amount of radiant energy.
Author Contributions
Funding
Conflicts of Interest
References
- Karbowniczak, A.; Hamerska, J.; Wróbel, M.; Jewiarz, M.; Nęcka, K. Evaluation of Selected Species of Woody Plants in Terms of Suitability for Energy Production; Springer: Cham, Switzerland, 2018; pp. 735–742. [Google Scholar]
- Pořízka, P.; Prochazková, P.; Prochazka, D.; Sládková, L.; Novotný, J.; Petrilak, M.; Brada, M.; Samek, O.; Pilát, Z.; Zemánek, P.; et al. Algal biomass analysis by laser-based analytical techniques—A review. Sensors 2014, 14, 17725–17752. [Google Scholar] [CrossRef] [PubMed]
- Wróbel, M.; Mudryk, K.; Jewiarz, M.; Głowacki, S.; Tulej, W. Characterization of Selected Plant Species in Terms of Energetic Use; Springer: Cham, Switzerland, 2018; pp. 671–681. [Google Scholar]
- Ahorsu, R.; Medina, F.; Constantí, M. Significance and challenges of biomass as a suitable feedstock for bioenergy and biochemical production: A review. Energies 2018, 11, 3366. [Google Scholar] [CrossRef]
- Saad, M.G.; Dosoky, N.S.; Zoromba, M.S.; Shafik, H.M. Algal Biofuels: Current Status and Key Challenges. Energies 2019, 12, 1920. [Google Scholar] [CrossRef]
- Amaro, H.M.; Macedo, Â.C.; Malcata, F.X. Microalgae: An alternative as sustainable source of biofuels? Energy 2012, 44, 158–166. [Google Scholar] [CrossRef]
- Williams, P.J.L.B.; Laurens, L.M.L. Microalgae as biodiesel & biomass feedstocks: Review & analysis of the biochemistry, energetics & economics. Energy Environ. Sci. 2010, 3, 554–590. [Google Scholar]
- Jia, F.; Kacira, M.; Ogden, K.L. Multi-wavelength based optical density sensor for autonomous monitoring of microalgae. Sensors 2015, 15, 22234–22248. [Google Scholar] [CrossRef]
- Harun, R.; Singh, M.; Forde, G.M.; Danquah, M.K. Bioprocess engineering of microalgae to produce a variety of consumer products. Renew. Sustain. Energy Rev. 2010, 14, 1037–1047. [Google Scholar] [CrossRef]
- Samek, O.; Jonáš, A.; Pilát, Z.; Zemánek, P.; Nedbal, L.; Tríska, J.; Kotas, P.; Trtílek, M. Raman microspectroscopy of individual algal cells: Sensing unsaturation of storage lipids in vivo. Sensors 2010, 10, 8635–8651. [Google Scholar] [CrossRef]
- Wiltshire, K.H.; Boersma, M.; Möller, A.; Buhtz, H. Extraction of pigments and fatty acids from the green alga Scenedesmus obliquus (Chlorophyceae). Aquat. Ecol. 2000, 34, 119–126. [Google Scholar] [CrossRef]
- Chisti, Y. Biodiesel from microalgae. Biotechnol. Adv. 2007, 25, 294–306. [Google Scholar] [CrossRef]
- Radakovits, R.; Jinkerson, R.E.; Darzins, A.; Posewitz, M.C. Genetic engineering of algae for enhanced biofuel production. Eukaryot. Cell 2010, 9, 486–501. [Google Scholar] [CrossRef] [PubMed]
- Richmond, A.; Cheng-Wu, Z. Optimization of a flat plate glass reactor for mass production of Nannochloropsis sp. outdoors. J. Biotechnol. 2001, 85, 259–269. [Google Scholar] [CrossRef]
- Kumar, A.; Ergas, S.; Yuan, X.; Sahu, A.; Zhang, Q.; Dewulf, J.; Malcata, F.X.; van Langenhove, H. Enhanced CO2 fixation and biofuel production via microalgae: Recent developments and future directions. Trends Biotechnol. 2010, 28, 371–380. [Google Scholar] [CrossRef]
- Ding, L.; Chan Gutierrez, E.; Cheng, J.; Xia, A.; O’Shea, R.; Guneratnam, A.J.; Murphy, J.D. Assessment of continuous fermentative hydrogen and methane co-production using macro- and micro-algae with increasing organic loading rate. Energy 2018, 151, 760–770. [Google Scholar] [CrossRef]
- Markou, G.; Angelidaki, I.; Nerantzis, E.; Georgakakis, D. Bioethanol Production by Carbohydrate-Enriched Biomass of Arthrospira (Spirulina) platensis. Energies 2013, 6, 3937–3950. [Google Scholar] [CrossRef]
- Islam, M.A.; Magnusson, M.; Brown, R.J.; Ayoko, G.A.; Nabi, M.N.; Heimann, K. Microalgal species selection for biodiesel production based on fuel properties derived from fatty acid profiles. Energies 2013, 6, 5676–5702. [Google Scholar] [CrossRef]
- Ferreira, L.S.; Rodrigues, M.S.; Converti, A.; Sato, S.; Carvalho, J.C.M. Arthrospira (Spirulina) platensis cultivation in tubular photobioreactor: Use of no-cost CO2 from ethanol fermentation. Appl. Energy 2012, 92, 379–385. [Google Scholar] [CrossRef]
- Frac, M.; Jezierska-Tys, S.; Tys, J. Microalgae for Biofuels Production and Environmental Applications: A Review. Available online: https://www.cabdirect.org/cabdirect/abstract/20113034153 (accessed on 4 September 2020).
- Brzychczyk, B.; Hebda, T.; Fitas, J.; Gieł, J. The Follow-up Photobioreactor Illumination System for the Cultivation of Photosynthetic Microorganisms. Energies 2020, 13, 1143. [Google Scholar] [CrossRef]
- Zhang, Y.; Bao, K.; Wang, J.; Zhao, Y.; Hu, C. Performance of mixed LED light wavelengths on nutrient removal and biogas upgrading by different microalgal-based treatment technologies. Energy 2017, 130, 392–401. [Google Scholar] [CrossRef]
- Hosseini, N.S.; Shang, H.; Scott, J.A. Optimization of microalgae-sourced lipids production for biodiesel in a top-lit gas-lift bioreactor using response surface methodology. Energy 2018, 146, 47–56. [Google Scholar] [CrossRef]
- Chiu, S.Y.; Kao, C.Y.; Tsai, M.T.; Ong, S.C.; Chen, C.H.; Lin, C.S. Lipid accumulation and CO2 utilization of Nannochloropsis oculata in response to CO2 aeration. Bioresour. Technol. 2009, 100, 833–838. [Google Scholar] [CrossRef] [PubMed]
- Dragone, G.; Fernandes, B.D.; Abreu, A.P.; Vicente, A.A.; Teixeira, J.A. Nutrient limitation as a strategy for increasing starch accumulation in microalgae. Appl. Energy 2011, 88, 3331–3335. [Google Scholar] [CrossRef]
- Mata, T.M.; Martins, A.A.; Caetano, N.S. Microalgae for biodiesel production and other applications: A review. Renew. Sustain. Energy Rev. 2010, 14, 217–232. [Google Scholar] [CrossRef]
- Metsoviti, M.N.; Papapolymerou, G.; Karapanagiotidis, I.T.; Katsoulas, N. Effect of light intensity and quality on growth rate and composition of Chlorella vulgaris. Plants 2020, 9, 31. [Google Scholar] [CrossRef] [PubMed]
- Li, Y.; Zhou, W.; Hu, B.; Min, M.; Chen, P.; Ruan, R.R. Effect of light intensity on algal biomass accumulation and biodiesel production for mixotrophic strains Chlorella kessleri and Chlorella protothecoide cultivated in highly concentrated municipal wastewater. Biotechnol. Bioeng. 2012, 109, 2222–2229. [Google Scholar] [CrossRef] [PubMed]
- Difusa, A.; Talukdar, J.; Kalita, M.C.; Mohanty, K.; Goud, V.V. Effect of light intensity and pH condition on the growth, biomass and lipid content of microalgae Scenedesmus species. Biofuels 2015, 6, 37–44. [Google Scholar] [CrossRef]
- Lee, E.; Jalalizadeh, M.; Zhang, Q. Growth kinetic models for microalgae cultivation: A review. Algal Res. 2015, 12, 497–512. [Google Scholar] [CrossRef]
- Minhas, A.K.; Hodgson, P.; Barrow, C.J.; Adholeya, A. A review on the assessment of stress conditions for simultaneous production of microalgal lipids and carotenoids. Front. Microbiol. 2016, 7, 546. [Google Scholar] [CrossRef]
- Wijffels, R.H.; Barbosa, M.J.; Eppink, M.H.M. Microalgae for the production of bulk chemicals and biofuels. Biofuels Bioprod. Biorefining 2010, 4, 287–295. [Google Scholar] [CrossRef]
- Khalili, A.; Najafpour, G.D.; Amini, G.; Samkhaniyani, F. Influence of nutrients and LED light intensities on biomass production of microalgae Chlorella vulgaris. Biotechnology and Bioprocess. Engineering 2015, 20, 284–290. [Google Scholar]
- Chávez-Fuentes, P.; Ruiz-Marin, A.; Canedo-López, Y. Biodiesel synthesis from Chlorella vulgaris under effect of nitrogen limitation, intensity and quality light: Estimation on the based fatty acids profiles. Mol. Biol. Rep. 2018, 45, 1145–1154. [Google Scholar] [CrossRef] [PubMed]
- Carvalho, A.P.; Meireles, L.A.; Malcata, F.X. Microalgal reactors: A review of enclosed system designs and performances. Biotechnol. Prog. 2006, 22, 1490–1506. [Google Scholar] [CrossRef] [PubMed]
- Vass, I.; Cser, K.; Cheregi, O. Molecular Mechanisms of Light Stress of Photosynthesis. Ann. N. Y. Acad. Sci. 2007, 1113, 114–122. [Google Scholar] [CrossRef] [PubMed]
- Pupo, O.R.; García, S.; Valencia, G.; Bula, A. Conceptual design of photobioreactor for algae cultivation. In Proceedings of the ASME 2011 International Mechanical Engineering Congress and Exposition, IMECE 2011, Denver, CO, USA, 11–17 November 2011; American Society of Mechanical Engineers (ASME): New York, NY, USA, 2011; Volume 4, pp. 197–203. [Google Scholar]
- Chen, P.; Min, M.; Chen, Y.; Wang, L.; Li, Y.; Chen, Q.; Wang, C.; Wan, Y.; Wang, X.; Cheng, Y.; et al. Review of the biological and engineering aspects of algae to fuels approach. Int. J. Agric. Biol. Eng. 2009, 2, 1–30. [Google Scholar]
- Pruvost, J.; Van Vooren, G.; Le Gouic, B.; Couzinet-Mossion, A.; Legrand, J. Systematic investigation of biomass and lipid productivity by microalgae in photobioreactors for biodiesel application. Bioresour. Technol. 2011, 102, 150–158. [Google Scholar] [CrossRef]
- Metsoviti, M.N.; Papapolymerou, G.; Karapanagiotidis, I.T.; Katsoulas, N. Comparison of growth rate and nutrient content of five microalgae species cultivated in greenhouses. Plants 2019, 8, 279. [Google Scholar] [CrossRef]
- Xu, Y.; Ibrahim, I.M.; Harvey, P.J. The influence of photoperiod and light intensity on the growth and photosynthesis of Dunaliella salina (chlorophyta) CCAP 19/30. Plant Physiol. Biochem. 2016, 106, 305–315. [Google Scholar] [CrossRef]
- Singh, S.P.; Singh, P. Effect of temperature and light on the growth of algae species: A review. Renew. Sustain. Energy Rev. 2015, 50, 431–444. [Google Scholar] [CrossRef]
- Seyfabadi, J.; Ramezanpour, Z.; Khoeyi, Z.A. Protein, fatty acid, and pigment content of Chlorella vulgaris under different light regimes. J. Appl. Phycol. 2011, 23, 721–726. [Google Scholar] [CrossRef]
- Zhang, Y.; Dong, F.; Jin, P. Effects of Light-emitting Diodes (LEDs) on the Accumulation of Lipid Content in Microalgae. DEStech Trans. Environ. Energy Earth Sci. 2017. [Google Scholar] [CrossRef][Green Version]
- Gouveia, L.; Oliveira, A.C. Microalgae as a raw material for biofuels production. J. Ind. Microbiol. Biotechnol. 2009, 36, 269–274. [Google Scholar] [CrossRef] [PubMed]
- George, B.; Pancha, I.; Desai, C.; Chokshi, K.; Paliwal, C.; Ghosh, T.; Mishra, S. Effects of different media composition, light intensity and photoperiod on morphology and physiology of freshwater microalgae Ankistrodesmus falcatus—A potential strain for bio-fuel production. Bioresour. Technol. 2014, 171, 367–374. [Google Scholar] [CrossRef] [PubMed]
- Gaytán-Luna, D.E.; Ochoa-Alfaro, A.E.; Rocha-Uribe, A.; Pérez-Martínez, A.S.; Alpuche-Solís, Á.G.; Soria-Guerra, R.E. Effect of green and red light in lipid accumulation and transcriptional profile of genes implicated in lipid biosynthesis in Chlamydomonas reinhardtii. Biotechnol. Prog. 2016, 32, 1404–1411. [Google Scholar] [CrossRef] [PubMed]
- Khoeyi, Z.A.; Seyfabadi, J.; Ramezanpour, Z. Effect of light intensity and photoperiod on biomass and fatty acid composition of the microalgae, Chlorella vulgaris. Aquac. Int. 2012, 20, 41–49. [Google Scholar] [CrossRef]
- Ruangsomboon, S. Effect of light, nutrient, cultivation time and salinity on lipid production of newly isolated strain of the green microalga, Botryococcus braunii KMITL 2. Bioresour. Technol. 2012, 109, 261–265. [Google Scholar] [CrossRef]
- Wong, Y.K.; Ho, Y.H.; Ho, K.C.; Leung, H.M.; Chow, K.P.; Yung, K.K.L. Effect of Different Light Sources on Algal Biomass and Lipid Production in Internal Leds-Illuminated Photobioreactor. J. Mar. Biol. Aquac. 2016, 2, 1–8. [Google Scholar] [CrossRef]
- Atta, M.; Idris, A.; Bukhari, A.; Wahidin, S. Intensity of blue LED light: A potential stimulus for biomass and lipid content in fresh water microalgae Chlorella vulgaris. Bioresour. Technol. 2013, 148, 373–378. [Google Scholar] [CrossRef]
- He, Q.; Yang, H.; Wu, L.; Hu, C. Effect of light intensity on physiological changes, carbon allocation and neutral lipid accumulation in oleaginous microalgae. Bioresour. Technol. 2015, 191, 219–228. [Google Scholar] [CrossRef]
- Baiee, M.A.; Salman, J.M. Effect of phosphorus concentration and light intensity on protein content of microalga Chlorella vulgaris. Mesop. Environ. J. 2016, 2, 75–86. [Google Scholar]
- Kendirlioglu, G.; Kadri Cetin, A. Effect of different wavelengths of light on growth, pigment content and protein amount of chlorella vulgaris. Fresenius Environ. Bull. 2017, 25, 7974–7980. [Google Scholar]
- Asuthkar, M.; Gunti, Y.; Rao, R.; Rao, C.S.; Yadavalli, R. Effect of different wavelengths of light on the growth of chlorella pyrenoidosa. Int. J. Pharm. Sci. Res. 2016, 7, 1000–1005. [Google Scholar]
- Lichtenthaler, H.K. Chlorophylls and Carotenoids: Pigments of Photosynthetic Biomembranes. Methods Enzymol. 1987, 148, 350–382. [Google Scholar]









| Component | Concentration, mg·dm−3 |
|---|---|
| total nitrogen concentration | 184.5 |
| nitrate nitrogen | 84.0 |
| ammonium nitrogen | 52.0 |
| urea nitrogen | 49.0 |
| total concentration of phosphorus (soluble in neutral ammonium citrate and in water) | 49.2 |
| total potassium concentration (water-soluble) | 192.0 |
| water-soluble magnesium | 3.0 |
| water-soluble sulfur | 2.5 |
| boron | 0.025 |
| copper EDTA | 0.010 |
| iron EDTA | 0.070 |
| manganese | 0.040 |
| molybdenum | 0.004 |
| zinc EDTA | 0.025 |
| pH | 6.4 |
| salinity | 5.84 g NaCl dm−3 |
| oxygen content | 6.93 |
| oxygen content including salinity | 7.77 |
| Designation, mg.dm−3 | Description of the Method | Ref: |
|---|---|---|
| total nitrogen Nog scope: 5–220 wavelength: 385 nm | mineralization in a thermostat with compensation of interfering substances and photometric determination with 2.6-dimethylphenol in a mixture of sulfuric and phosphoric acid | 985083 |
| nitrate nitrogen N-NO3 scope: 4–140 wavelength: 365 nm | a color reaction with 2.6-dimethylphenol in a mixture of sulfuric acid and phosphoric acid | 91865 |
| ammonium nitrogen N-NH4 scope: 30–160 wavelength 585 nm | determination of blue indophenol dye on the basis of reactions with hypochlorite and salicylate at pH 12.6 in the presence of sodium nitroprusside | 985006 |
| phosphorus P 50 scope: 10.0–50.0 wavelength: 436 nm | photometric determination as molybdenum blue after acid hydrolysis and oxidation at 100–120 °C | 985079 |
| O2 oxygen range: 0.5–12.0 wavelength: 445 nm | determination of dissolved oxygen content in water by Winkler method, color reaction with free iodine | 985082 |
| potassium K 50 scope: 2.0–50.0 wavelength: 690 nm | determination of the turbidity caused by the formation of potassium tetraphenyl borate | 985045 |
| iron Fe range 0.01–2.00 wavelength: 470 nm | color reaction with 1.10-phenanthroline | 91836 |
| copper Cu2+ range 0.01–2.00 wavelength: 585 nm | color reaction with cuprizone (oxalic acid bis(cyclohexylidene hydrazide)) | |
| sulfur S range: 0.1–3.0 wavelength: 660 nm | color reaction with N,N-dimethyl-1,4-phenylenediamine | 91888 |
| zinc Zn2+ range: 0.20–6.0 wavelength: 490 nm | determination of the concentration of zinc ions in aqueous samples by complexing the contained metal ions with cyanide, followed by selective release of zinc ions by addition of chloral hydrate, by reaction with 4-(2-pyridylazo) resorcin (PAR) to form an orange complex whose color intensity is proportional to that of zinc ions | 985042 |
| manganese Mn range: 0.10–3.00 wavelength: 436 nm | photometric determination of manganese content by TMB method according to Serrat | 918126 |
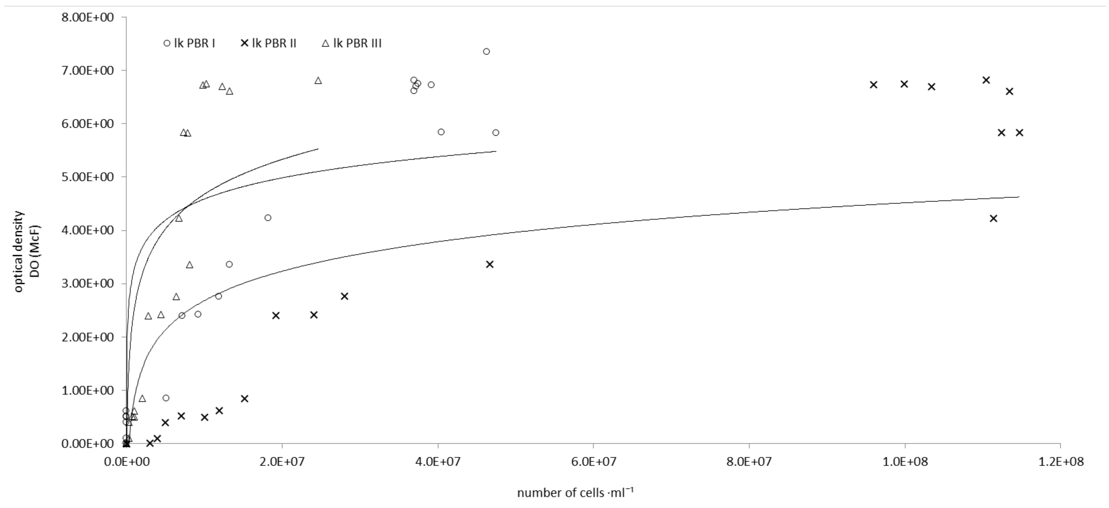
| Type of Photobioreactor | Model Number of Cells mL−1 | R2 |
|---|---|---|
| PBR I | y = 0.7971ln(x) − 10.167 | 0.50 |
| PBR II | y = 0.5731ln(x) − 4.649 | 0.73 |
| PBR III | y = 0.9429ln(x) − 10.521 | 0.61 |
Publisher’s Note: MDPI stays neutral with regard to jurisdictional claims in published maps and institutional affiliations. |
© 2020 by the authors. Licensee MDPI, Basel, Switzerland. This article is an open access article distributed under the terms and conditions of the Creative Commons Attribution (CC BY) license (http://creativecommons.org/licenses/by/4.0/).
Share and Cite
Brzychczyk, B.; Hebda, T.; Pedryc, N. The Influence of Artificial Lighting Systems on the Cultivation of Algae: The Example of Chlorella vulgaris. Energies 2020, 13, 5994. https://doi.org/10.3390/en13225994
Brzychczyk B, Hebda T, Pedryc N. The Influence of Artificial Lighting Systems on the Cultivation of Algae: The Example of Chlorella vulgaris. Energies. 2020; 13(22):5994. https://doi.org/10.3390/en13225994
Chicago/Turabian StyleBrzychczyk, Beata, Tomasz Hebda, and Norbert Pedryc. 2020. "The Influence of Artificial Lighting Systems on the Cultivation of Algae: The Example of Chlorella vulgaris" Energies 13, no. 22: 5994. https://doi.org/10.3390/en13225994
APA StyleBrzychczyk, B., Hebda, T., & Pedryc, N. (2020). The Influence of Artificial Lighting Systems on the Cultivation of Algae: The Example of Chlorella vulgaris. Energies, 13(22), 5994. https://doi.org/10.3390/en13225994

