Numerical Investigation Energy Conversion Performance of Tin-Based Perovskite Solar Cells Using Cell Capacitance Simulator
Abstract
1. Introduction
2. Materials and Methodology
2.1. Device Structure and Input Parameters
2.2. Numerical Method
3. Results and Discussion
3.1. Effects of ETL Materials on Cell Performance
3.2. Effects of HTL Materials on Cell Performance
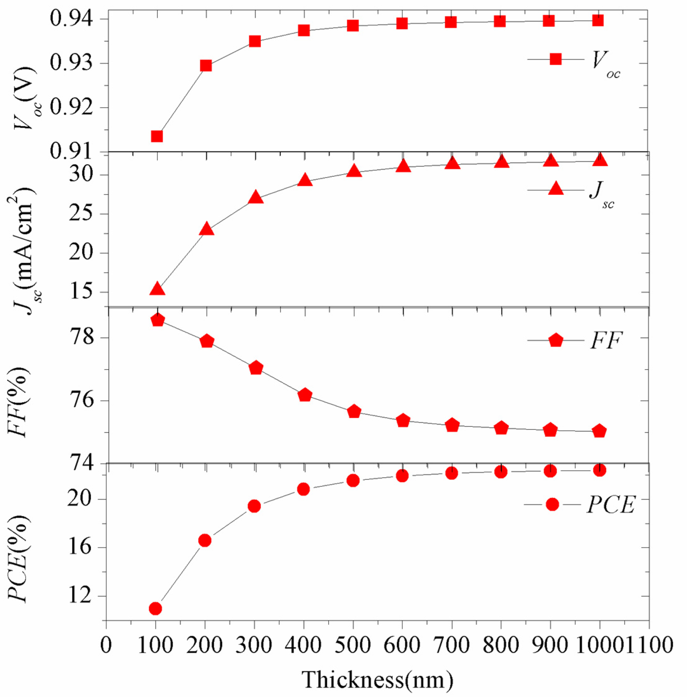
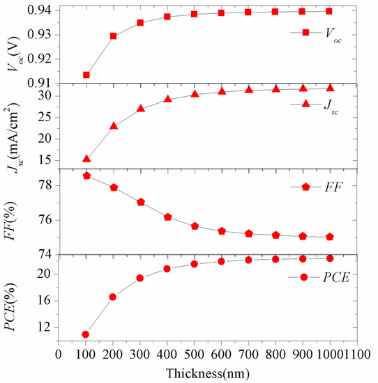
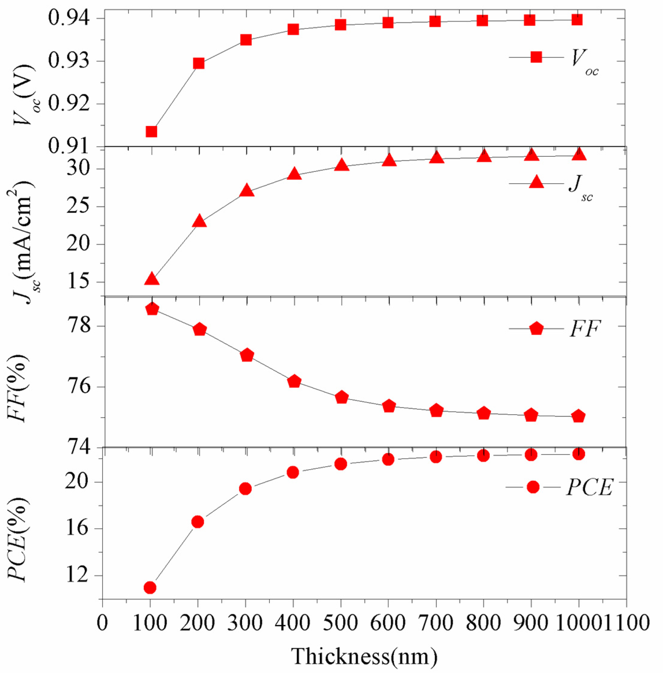
3.3. Effect of Absorber Layer Thickness
3.4. Effect of Absorber Layer Defect Density
3.5. Effect of Interface Layer Defect Density
3.6. Effect of Doping Density in ETL and HTL
3.7. Effect of Back-Contact Work Function
3.8. Effect of Operating Temperature
4. Conclusions
Author Contributions
Funding
Acknowledgments
Conflicts of Interest
References
- Eperon, G.E.; Burlakov, V.M.; Docampo, P.; Goriely, A.; Snaith, H.J. Morphological Control for High Performance, Solution-Processed Planar Heterojunction Perovskite Solar Cells. Adv. Funct. Mater. 2014, 24, 151–157. [Google Scholar] [CrossRef]
- Liu, M.; Johnston, M.B.; Snaith, H.J. Efficient planar heterojunction perovskite solar cells by vapour deposition. Nat. Cell Biol. 2013, 501, 395–398. [Google Scholar] [CrossRef]
- Conings, B.; Drijkoningen, J.; Gauquelin, N.; Babayigit, A.; D’Haen, J.; D’Olieslaeger, L.; Ethirajan, A.; Verbeeck, J.; Manca, J.; Mosconi, E.; et al. Intrinsic Thermal Instability of Methylammonium Lead Trihalide Perovskite. Adv. Energy Mater. 2015, 5, 1500477. [Google Scholar] [CrossRef]
- Wang, R.; Mujahid, M.; Duan, Y.; Wang, Z.; Xue, J.; Yang, Y. A Review of Perovskites Solar Cell Stability. Adv. Funct. Mater. 2019, 29. [Google Scholar] [CrossRef]
- Wang, Q.; Phung, N.; Di Girolamo, D.; Vivo, P.; Abate, A. Enhancement in lifespan of halide perovskite solar cells. Energy Environ. Sci. 2019, 12, 865–886. [Google Scholar] [CrossRef]
- Zheng, S.; Wang, G.; Liu, T.; Lou, L.; Xiao, S.; Yang, S. Materials and structures for the electron transport layer of efficient and stable perovskite solar cells. Sci. China Ser. B Chem. 2019, 62, 800–809. [Google Scholar] [CrossRef]
- Li, C.; Yang, X.; Zhao, Y.; Zhang, P.; Tu, Y.; Li, Y. Hole extraction layer utilizing well defined graphene oxide with multiple functionalities for high-performance bulk heterojunction solar cells. Org. Electron. 2014, 15, 2868–2875. [Google Scholar] [CrossRef]
- Liang, J.; Liu, J.; Jin, Z. All-Inorganic Halide Perovskites for Optoelectronics: Progress and Prospects. Sol. RRL 2017, 1, 1700086. [Google Scholar] [CrossRef]
- Yang, T.C.-J.; Fiala, P.; Jeangros, Q.; Ballif, C. High-Bandgap Perovskite Materials for Multijunction Solar Cells. Joule 2018, 2, 1421–1436. [Google Scholar] [CrossRef]
- Chen, H.; Xiang, S.; Li, W.; Liu, H.; Zhu, L.; Yang, S. Inorganic Perovskite Solar Cells: A Rapidly Growing Field. Sol. RRL 2018, 2, 1700188. [Google Scholar] [CrossRef]
- Song, T.-B.; Yokoyama, T.; Aramaki, S.; Kanatzidis, M.G. Performance Enhancement of Lead-Free Tin-Based Perovskite Solar Cells with Reducing Atmosphere-Assisted Dispersible Additive. ACS Energy Lett. 2017, 2, 897–903. [Google Scholar] [CrossRef]
- Green, M.A.; Ho-Baillie, A.; Snaith, H.J. The emergence of perovskite solar cells. Nat. Photon. 2014, 8, 506–514. [Google Scholar] [CrossRef]
- Kojima, A.; Teshima, K.; Shirai, Y.; Miyasaka, T. Organometal Halide Perovskites as Visible-Light Sensitizers for Photovoltaic Cells. J. Am. Chem. Soc. 2009, 131, 6050–6051. [Google Scholar] [CrossRef]
- Baig, F.; Khattak, Y.H.; Marí, B.; Beg, S.; Ahmed, A.; Khan, K. Efficiency Enhancement of CH3NH3SnI3 Solar Cells by Device Modeling. J. Electron. Mater. 2018, 47, 5275–5282. [Google Scholar] [CrossRef]
- Chen, M.; Ju, M.-G.; Carl, A.D.; Zong, Y.; Grimm, R.L.; Gu, J.; Zeng, X.C.; Zhou, Y.; Padture, N.P. Cesium Titanium(IV) Bromide Thin Films Based Stable Lead-free Perovskite Solar Cells. Joule 2018, 2, 558–570. [Google Scholar] [CrossRef]
- Chakraborty, K.; Choudhury, M.G.; Paul, S. Numerical study of Cs2TiX6 (X = Br−, I−, F− and Cl−) based perovskite solar cell using SCAPS-1D device simulation. Sol. Energy 2019, 194, 886–892. [Google Scholar] [CrossRef]
- Islam, M.; Rahman, K.; Misran, H.; Asim, N.; Hossain, M.; Akhtaruzzaman, M.; Amin, N. High mobility and transparent ZTO ETM prepared by RF reactive co-sputtering for perovskite solar cell application. Results Phys. 2019, 14, 102518. [Google Scholar] [CrossRef]
- Lakhdar, N.; Hima, A. Electron transport material effect on performance of perovskite solar cells based on CH3NH3GeI3. Opt. Mater. 2020, 99, 109517. [Google Scholar]
- Azri, F.; Meftah, A.; Sengouga, N.; Meftah, A. Electron and hole transport layers optimization by numerical simulation of a perovskite solar cell. Sol. Energy 2019, 181, 372–378. [Google Scholar] [CrossRef]
- Sajid, S.; Elseman, A.M.; Ji, J.; Dou, S.; Huang, H.; Cui, P.; Wei, D.; Li, M. Novel hole transport layer of nickel oxide composite with carbon for high-performance perovskite solar cells. Chin. Phys. B 2018, 27. [Google Scholar] [CrossRef]
- Minemoto, T.; Murata, M. Impact of work function of back contact of perovskite solar cells without hole transport material analyzed by device simulation. Curr. Appl. Phys. 2014, 14, 1428–1433. [Google Scholar] [CrossRef]
- Teimouri, R.; Mohammadpour, R. Potential application of CuSbS 2 as the hole transport material in perovskite solar cell: A simulation study. Superlattices Microstruct. 2018, 118, 116–122. [Google Scholar] [CrossRef]
- Niemegeers, M.; Burgelman, K.; Decock, J.; Verschraegen, S. Degrave, SCAPS Manual, version: 20 May 2014. Available online: http://scaps.elis.ugent.be (accessed on 1 November 2020).
- Lin, L.-Y.; Jiang, L.-Q.; Fan, B.-D. Analysis of Sb2Se3/CdS based photovoltaic cell: A numerical simulation approach. J. Phys. Chem. Solids 2018, 122, 19–24. [Google Scholar] [CrossRef]
- Lin, L.; Jiang, L.; Li, P.; Fan, B.; Qiu, Y. A modeled perovskite solar cell structure with a Cu2O hole-transporting layer enabling over 20% efficiency by low-cost low-temperature processing. J. Phys. Chem. Solids 2019, 124, 205–211. [Google Scholar] [CrossRef]
- Liu, X.; Yan, K.; Tan, D.; Liang, X.; Zhang, H.; Huang, W. Solvent Engineering Improves Efficiency of Lead-Free Tin-Based Hybrid Perovskite Solar Cells beyond 9%. ACS Energy Lett. 2018, 3, 2701–2707. [Google Scholar] [CrossRef]
- Guo, Y.; Jiang, J.; Zuo, S.; Shi, F.; Tao, J.; Hu, Z.; Hu, X.; Hu, G.; Yang, P.; Chu, J. RF sputtered CdS films as independent or buffered electron transport layer for efficient planar perovskite solar cell. Sol. Energy Mater. Sol. Cells 2018, 178, 186–192. [Google Scholar] [CrossRef]
- Qiu, W.; Buffière, M.; Brammertz, G.; Paetzold, U.W.; Froyen, L.; Heremans, P.; Cheyns, D. High efficiency perovskite solar cells using a PCBM/ZnO double electron transport layer and a short air-aging step. Org. Electron. 2015, 26, 30–35. [Google Scholar] [CrossRef]
- Chatterjee, S.; Pal, A.J. Introducing Cu2O Thin Films as a Hole-Transport Layer in Efficient Planar Perovskite Solar Cell Structures. J. Phys. Chem. C 2016, 120, 1428–1437. [Google Scholar] [CrossRef]
- Gharibzadeh, S.; Nejand, B.A.; Moshaii, A.; Mohammadian, N.; Alizadeh, A.H.; Mohammadpour, R.; Ahmadi, V.; Alizadeh, A. Two-Step Physical Deposition of a Compact CuI Hole-Transport Layer and the Formation of an Interfacial Species in Perovskite Solar Cells. ChemSusChem 2016, 9, 1929–1937. [Google Scholar] [CrossRef]
- Christians, J.A.; Fung, R.C.M.; Kamat, P.V. An Inorganic Hole Conductor for Organo-Lead Halide Perovskite Solar Cells. Improved Hole Conductivity with Copper Iodide. J. Am. Chem. Soc. 2014, 136, 758–764. [Google Scholar] [CrossRef]
- Qin, P.; Tanaka, S.; Ito, S.; Tetreault, N.; Manabe, K.; Nishino, H.; Nazeeruddin, M.K.; Graetzel, M. Inorganic hole conductor-based lead halide perovskite solar cells with 12.4% conversion efficiency. Nat. Commun. 2014, 5, 3834. [Google Scholar] [CrossRef] [PubMed]
- Jung, M.; Kim, Y.C.; Jeon, N.J.; Yang, W.S.; Seo, J.; Noh, J.H.; Seok, S.I. Thermal Stability of CuSCN Hole Conductor-Based Perovskite Solar Cells. ChemSusChem 2016, 9, 2592–2596. [Google Scholar] [CrossRef]
- Subbiah, A.S.; Halder, A.; Ghosh, S.; Mahuli, N.; Hodes, G.; Sarkar, S.K. Inorganic Hole Conducting Layers for Perovskite-Based Solar Cells. J. Phys. Chem. Lett. 2014, 5, 1748–1753. [Google Scholar] [CrossRef] [PubMed]
- Tanaka, K.; Minemoto, T.; Takakura, H. Analysis of heterointerface recombination by Zn1−xMgxO for window layer of Cu(In,Ga)Se2 solar cells. Sol. Energy 2009, 83, 477–479. [Google Scholar] [CrossRef]
- Turcu, M.; Rau, U. Fermi level pinning at CdS/Cu(In,Ga)(Se,S)2 interfaces: Effect of chalcopyrite alloy composition. J. Phys. Chem. Solids 2003, 64, 1591–1595. [Google Scholar] [CrossRef]
- Minemoto, T.; Murata, M. Theoretical analysis on effect of band offsets in perovskite solar cells. Sol. Energy Mater. Sol. Cells 2015, 133, 8–14. [Google Scholar] [CrossRef]
- Tan, K.; Lin, P.; Wang, G.; Liu, Y.; Xu, Z.; Lin, Y. Controllable design of solid-state perovskite solar cells by SCAPS device simulation. Solid State Electron. 2016, 126, 75–80. [Google Scholar] [CrossRef]
- Du, H.-J.; Wang, W.-C.; Zhu, J.-Z. Device simulation of lead-free CH 3 NH 3 SnI 3 perovskite solar cells with high efficiency. Chin. Phys. B 2016, 25, 108802. [Google Scholar] [CrossRef]
- Devi, N.; Parrey, K.A.; Aziz, A.; Datta, S. Numerical simulations of perovskite thin-film solar cells using a CdS hole blocking layer. J. Vac. Sci. Technol. B 2018, 36, 04G105. [Google Scholar] [CrossRef]
- Adhikari, K.R.; Gurung, S.; Bhattarai, B.K.; Soucase, B.M. Comparative study on MAPbI3 based solar cells using different electron transporting materials. Phys. Status Solidi (c) 2015, 13, 13–17. [Google Scholar] [CrossRef]
- Guiberteau, K.; Liu, Y.; Lee, J.; Kozman, T.A. Investigation of Developing Wave Energy Technology in the Gulf of Mexico. Distrib. Gener. Altern. Energy J. 2012, 27, 36–52. [Google Scholar] [CrossRef]
- Pastor, J.; Liu, Y. Hydrokinetic Energy: Overview and it’s Renewable Energy Potential for the Gulf of Mexico. In Proceedings of the 2012 IEEE Green Technologies Conference, Tulsa, OK, USA, 19–20 April 2012; Institute of Electrical and Electronics Engineers (IEEE): Piscataway Township, NJ, USA; pp. 1–3. [Google Scholar]
- Liu, Y.; Chu, S.J. Advance application of wind technology in Louisiana. Int. J. Energy Eng. 2012, 2, 60–66. [Google Scholar] [CrossRef]
- Chu, S.J.; Liu, Y.-C. Prospects of wind energy and wind power in Louisiana. In Proceedings of the 2011 IEEE Green Technologies Conference, Baton Rouge, LA, USA, 14–15 April 2011. [Google Scholar]

















| Parameters | FTO | TiO2 | MASnI3 | Spiro-OMeTAD |
|---|---|---|---|---|
| Thickness (nm) | 500 | 100 | 500 | 200 |
| Eg (eV) | 3.5 | 3.2 | 1.3 | 3.0 |
| χ (eV) | 4.0 | 3.9 | 4.17 | 2.45 |
| εr | 9.0 | 9.0 | 8.2 | 3.0 |
| Nc (cm−3) | 1 × 1019 | 1 × 1021 | 1 × 1018 | 1 × 1019 |
| Nv (cm−3) | 1 × 1019 | 2 × 1020 | 1 × 1018 | 1 × 1019 |
| μn (cm2/Vs) | 100 | 20 | 1.6 | 0.0002 |
| μp (cm2/Vs) | 25 | 10 | 1.6 | 0.0002 |
| Nd (cm−3) | 2 × 1019 | 1 × 1017 | 0 | 0 |
| Na (cm−3) | 0 | 0 | 1 × 1016 | 1 × 1018 |
| Nt (cm−3) | 1 × 1014 | 1 × 1015 | 1 × 1015 | 1 × 1015 |
| Parameters | C60 | CdS | Cd0.5Zn0.5S | IGZO | PCBM | ZnO |
|---|---|---|---|---|---|---|
| Eg (eV) | 1.7 | 2.4 | 2.8 | 3.05 | 2 | 3.3 |
| χ (eV) | 3.9 | 4.2 | 3.8 | 4.16 | 3.9 | 4.1 |
| εr | 4.2 | 10.0 | 10.0 | 10.0 | 3.9 | 9.0 |
| Nc (cm−3) | 8 × 1019 | 2.2 × 1018 | 1 × 1018 | 5 × 1018 | 2.5 × 1021 | 4 × 1018 |
| Nv (cm−3) | 8 × 1019 | 1.8 × 1019 | 1 × 1018 | 5 × 1018 | 2.5 × 1021 | 1 × 1019 |
| μn (cm2/Vs) | 0.08 | 100 | 100 | 15 | 0.2 | 100 |
| μp (cm2/Vs) | 0.0035 | 25 | 25 | 0.1 | 0.2 | 25 |
| Nd (cm−3) | 2.6 × 1018 | 1 × 1017 | 1 × 1017 | 1 × 1018 | 2.93 × 1017 | 1 × 1018 |
| Na (cm−3) | 0 | 0 | 0 | 0 | 0 | 0 |
| Nt (cm−3) | 1 × 1014 | 1 × 1017 | 1 × 1015 | 1 × 1015 | 1 × 1015 | 1 × 1015 |
| Parameters | Cu2O | CuI | CuSCN | MASnBr3 | NiO | PEDOT:PSS |
|---|---|---|---|---|---|---|
| Eg (eV) | 2.17 | 2.98 | 3.4 | 2.15 | 3.8 | 2.2 |
| χ (eV) | 3.2 | 2.1 | 1.9 | 3.39 | 1.46 | 2.9 |
| εr | 6.6 | 6.5 | 10.0 | 8.2 | 11.7 | 3.0 |
| Nc (cm−3) | 2.5 × 1020 | 2.8 × 1019 | 1.7 × 1019 | 1.0 × 1018 | 2.5 × 1020 | 2.2 × 1015 |
| Nv (cm−3) | 2.5 × 1020 | 1.0 × 1019 | 2.5 × 1021 | 1.0 × 1018 | 2.5 × 1020 | 1.8 × 1018 |
| μn (cm2/Vs) | 80 | 0.00017 | 0.0001 | 1.6 | 2.8 | 0.02 |
| μp (cm2/Vs) | 80 | 0.0002 | 0.1 | 1.6 | 2.8 | 0.0002 |
| Nd (cm−3) | 0 | 0 | 0 | 0 | 0 | 0 |
| Na (cm−3) | 1 × 1018 | 1 × 1018 | 1 × 1018 | 1 × 1018 | 1 × 1018 | 3.17 × 1014 |
| Nt (cm−3) | 1 × 1015 | 1 × 1015 | 1 × 1014 | 1 × 1015 | 1 × 1015 | 1 × 1015 |
| Responses | C60 | CdS | Cd0.5Zn0.5S | IGZO | PCBM | ZnO | TiO2 |
|---|---|---|---|---|---|---|---|
| Voc (V) | 0.84 | 0.81 | 0.93 | 0.82 | 0.83 | 0.83 | 0.84 |
| Jsc (mA/cm2) | 21.73 | 27.50 | 29.39 | 29.27 | 24.86 | 29.58 | 29.64 |
| FF (%) | 69.47 | 62.62 | 64.73 | 63.95 | 67.53 | 67.72 | 69.27 |
| PCE (%) | 12.66 | 14.01 | 17.70 | 15.32 | 13.92 | 16.64 | 17.24 |
| Responses | Cu2O | CuI | CuSCN | MASnBr3 | NiO | PEDOT-PSS | Spiro-OMeTAD |
|---|---|---|---|---|---|---|---|
| Voc (V) | 0.92 | 0.85 | 0.91 | 0.94 | 0.90 | 0.88 | 0.93 |
| Jsc (mA/cm2) | 28.71 | 28.18 | 28.45 | 30.35 | 28.32 | 28.21 | 29.39 |
| FF (%) | 76.49 | 74.32 | 75.74 | 76.65 | 75.04 | 73.30 | 64.73 |
| PCE (%) | 20.28 | 17.79 | 19.91 | 21.55 | 19.04 | 18.15 | 17.70 |
Publisher’s Note: MDPI stays neutral with regard to jurisdictional claims in published maps and institutional affiliations. |
© 2020 by the authors. Licensee MDPI, Basel, Switzerland. This article is an open access article distributed under the terms and conditions of the Creative Commons Attribution (CC BY) license (http://creativecommons.org/licenses/by/4.0/).
Share and Cite
Gan, Y.; Bi, X.; Liu, Y.; Qin, B.; Li, Q.; Jiang, Q.; Mo, P. Numerical Investigation Energy Conversion Performance of Tin-Based Perovskite Solar Cells Using Cell Capacitance Simulator. Energies 2020, 13, 5907. https://doi.org/10.3390/en13225907
Gan Y, Bi X, Liu Y, Qin B, Li Q, Jiang Q, Mo P. Numerical Investigation Energy Conversion Performance of Tin-Based Perovskite Solar Cells Using Cell Capacitance Simulator. Energies. 2020; 13(22):5907. https://doi.org/10.3390/en13225907
Chicago/Turabian StyleGan, Yongjin, Xueguang Bi, Yucheng Liu, Binyi Qin, Qingliu Li, Qubo Jiang, and Pei Mo. 2020. "Numerical Investigation Energy Conversion Performance of Tin-Based Perovskite Solar Cells Using Cell Capacitance Simulator" Energies 13, no. 22: 5907. https://doi.org/10.3390/en13225907
APA StyleGan, Y., Bi, X., Liu, Y., Qin, B., Li, Q., Jiang, Q., & Mo, P. (2020). Numerical Investigation Energy Conversion Performance of Tin-Based Perovskite Solar Cells Using Cell Capacitance Simulator. Energies, 13(22), 5907. https://doi.org/10.3390/en13225907

