Analysis of the Development and Parameters of a Public Transport System Which Uses Low-Carbon Energy: The Evidence from Poland
Abstract
1. Introduction
1.1. Smart Energy for Communities
1.2. The Sustainable Development of the City
2. Materials and Methods
2.1. Data Collection
2.1.1. Sustainable Development Goal (SDG) Measurement
- -
- SDGe—Environmental: SDGe1—reduced energy consumption; SDGe2—reduced environmental pollution; SDGe3—increase in benefits to society without compromising future generations.
- -
- SDGs—Social: SDGs1—customer satisfaction; SDGs2—increasing innovation; SDGs3—comfort of residents
- -
- SDGc—Economic: SDGc1—price.
2.1.2. Main Survey Studies
2.2. Case Study: The City of Zielona Góra, Poland
- -
- purchase of new, low-floor electric buses (12 m): 43 units;
- -
- purchase of new low-floor diesel buses (18 m): 17 units;
- -
- battery charging infrastructure;
- -
- modernization of the Municipal Department of Transport bus depot;
- -
- construction of a passenger transport interchange;
- -
- canopy at the railway station;
- -
- modernization of the viaduct under the railway tracks, on ul. Batory;
- -
- construction and reconstruction of loops and stops with accompanying infrastructure; and
- -
- modernization of the real-time passenger information system and the MZK management system.
2.3. Research Model
2.4. Analytic Method
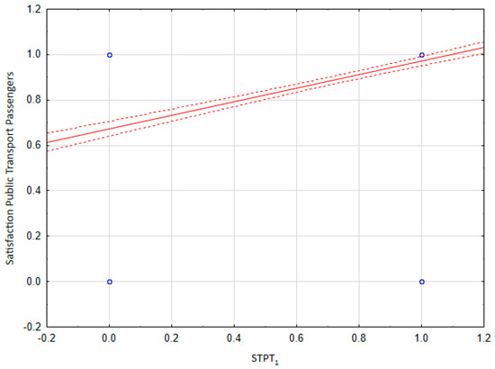
3. Research Results
4. Discussion
- -
- buses connect 430 times a day in order to charge up;
- -
- on average, a bus charges up to 23 kwH and a maximum of 68 kwH of energy on a single charge;
- -
- the longest route between charging is 43 km and charging time, after this mileage, is 17 min as a maximum; and
- -
- the annual electricity consumption of MZK buses in 2019, amounted to more than 2400 mwH.
5. Conclusions
- -
- to present a level of sustainable urban development;
- -
- to evaluate the adopted SDGs, STPTs, and E;
- -
- to obtain a table defining the level of the Sustainable Urban Development, enabling the recommended corrective actions to be determined; and
- -
- to constantly monitor the corrective actions implemented in the city.
Author Contributions
Funding
Conflicts of Interest
Appendix A
| No | Questions | Answer |
|---|---|---|
| 1. | How do you evaluate the public transport in Zielona Góra in general, with particular reference to the services of MZK Zielona Góra)? |
|
| 2. | Are you satisfied with the introduction of electric buses in Zielona Góra? |
|
| 3. | Have you already travelled on the new electric buses? |
|
| 4. | What do you think of these buses? |
|
| 5. | What do you think is the greatest advantage of electric buses in my city; please choose one advantage |
|
| 6. | Do you think the introduction of electric buses is important for creating innovative solutions for sustainable urban development? |
|
| 7. | Do you think the introduction of electric buses has had a significant impact on air quality in the city? |
|
| 8. | Should the city of Zielona Góra continue to invest in electric buses? |
|
References
- International Energy Agency. Available online: https://www.iea.org/ (accessed on 18 October 2020).
- Hashmi, M.; Hanninen, S.; Maki, L. Survey of smart grid concepts, architectures, and technological demonstrations worldwide. In Proceedings of the IEEE PES Innovative Smart Grid Technology Latin America (ISGT LA), Medellin, Colombia, 19–21 October 2011; IEEE: Piscataway, NJ, USA, 2011; pp. 1–7. [Google Scholar]
- Saboori, H.; Mohammadi, M.; Taghe, R. Virtual Power Plant (VPP), definition, concept, components and types. In Proceedings of the Asia-Pacific Power Energy Engineering Conference, Wuhan, China, 25–28 March 2011; IEEE: Piscataway, NJ, USA, 2011. [Google Scholar]
- Tahmasebi, M.; Pasupuleti, J. Self-scheduling of wind power generation with direct load control demand response as a virtual. Indian J. Sci. Technol. 2013, 6, 5443–5449. [Google Scholar] [CrossRef]
- Seyfang, G.; Park, J.J.; Smith, A. A thousand flowers blooming? An examination of community energy in the UK. Energy Policy 2013, 61, 977–989. [Google Scholar] [CrossRef]
- Klein, S.J.W.; Coffey, S. Building a sustainable energy future, one community at a time. Renew. Sustain. Energy Rev. 2016, 60, 867–880. [Google Scholar] [CrossRef]
- Summeren, L.; Wieczorek, A.; Bombaerts, G.J.; Verbong, G. Community energy meets smart grids: Reviewing goals, structure, and roles in Virtual Power Plants in Ireland, Belgium and the Netherlands. Energy Res. Soc. Sci. 2020, 63, 101415. [Google Scholar] [CrossRef]
- Pudjianto, D.; Ramsay, C.; Strbac, G. Virtual power plant and system integration of distributed energy resources. Renew. Power Gener. IET 2007, 1, 10–16. [Google Scholar] [CrossRef]
- Pihlatie, M.; Kukkonen, S.; Halmeaho, T.; Karvonen, V.; Nylund, N.O. Fully electric city buses-the viable option. In Proceedings of the IEEE International Electric Vehicle Conference (IEVC), Florence, Italy, 17–19 December 2014; IEEE: Piscataway, NJ, USA, 2014. [Google Scholar]
- Asamer, J.; Graser, A.; Heilmann, B.; Ruthmair, M. Sensitivity analysis for energy demand estimation of electric vehicles. Transp. Res. Part D Transp. Environ. 2016, 46, 182–199. [Google Scholar] [CrossRef]
- Wang, J.; Besselink, I.J.M.; Nijmeijer, H. Battery electric vehicle energy consumption modelling for range estimation. Int. J. Electr. Hybrid Veh. 2017, 9, 79. [Google Scholar] [CrossRef]
- Vepsäläinen, J.; Kivekäs, K.; Otto, K.; Lajunen, A.; Tammi, K. Development and validation of energy demand uncertainty model for electric city buses. Transp. Res. Part D Transp. Environ. 2018, 63, 347–361. [Google Scholar] [CrossRef]
- Shankar, R.; Marco, J. Method for estimating the energy consumption of electric vehicles and plug-in hybrid electric vehicles under real-world driving conditions. IET Intell. Transp. Syst. 2013, 7, 138–150. [Google Scholar] [CrossRef]
- Beckers, C.; Besselink, I.; Nijmeijer, H. Assessing the impact of cornering losses on the energy consumption of electric city buses. Transp. Res. Part D 2020, 86, 102360. [Google Scholar] [CrossRef]
- Woodcock, A.; Topolavic, S.; Osmond, J. The multi-faceted public transport problems revealed by a small scale transport study. In Advances in Human Aspects of Road and Rail Transportation; Stanton, N.A., Ed.; CRC Press: San Francisco, CA, USA, 2013; pp. 321–331. [Google Scholar]
- Jwa, K.; Lim, O. Comparative life cycle assessment of lithium-ion battery electric bus and Diesel bus from well to Wheel. Energy Procedia 2018, 145, 223–227. [Google Scholar] [CrossRef]
- Liu, Q.; Hallquist, A.M.; Fallgren, H.; Jerksjo, M.; Jutterström, S.; Salberg, H.; Hallquist, M.; Le Breton, M.; Pei, X.; Pathak, R.K.; et al. Roadside assessment of a modern city bus fleet: Gaseous and particle emissions. Atmos. Environ. X 2019, 3, 10044. [Google Scholar] [CrossRef]
- Laib, F. Modelling noise reductions using electric buses in urban traffic. A case study from Stuttgart, Germany. Transp. Res. Procedia 2019, 37, 377–384. [Google Scholar] [CrossRef]
- Nurhadi, L.; Boren, S.; Ny, H. A sensitivity analysis of total cost of ownership for electric public bus transport systems in Swedish medium sized cities. Transp. Res. Procedia 2014, 3, 818–827. [Google Scholar] [CrossRef]
- Urban SDG. Available online: http://urbansdg.org/about/ (accessed on 22 September 2020).
- Local Governments for Sustainability. Available online: https://www.local2030.org/library/234/ICLEI-SDGs-Briefing-Sheets-04-The-importance-of-all-Sustainable-Development-Goals-SDGs-for-cities-and-communities.pdf (accessed on 19 September 2020).
- UNGC. Available online: https://ungc.org.pl/programy/zrownowazone-miasta/ (accessed on 21 September 2020).
- Alexander, S. Planned economic contraction: The emerging case for degrowth. Environ. Politics 2012, 21, 349–368. [Google Scholar] [CrossRef]
- Stiglitz, J.; Sen, A.; Fitoussi, J.P. Mis-Measuring Our Lives: Why GDP Doesn’t Add Up; The New Press: New York, NY, USA, 2010. [Google Scholar]
- Property beyond Growth: Toward a Politics of Voluntary Simplicity. Available online: www.simplicityinstitute.org/publications (accessed on 19 October 2020).
- Jackson, T. Prosperity without Growth: Economics for A Finite Planet; Earthscan: London, UK, 2009. [Google Scholar]
- Angelidou, M. Smart cities: A conjuncture of four forces. Cities 2015, 47, 95–106. [Google Scholar] [CrossRef]
- Kitchin, R. Making sense of smart cities: Addressing present shortcomings. Camb. J. Reg. Econ. Soc. 2015, 8, 131–136. [Google Scholar] [CrossRef]
- Sadowski, J.; Pasquale, F. The Spectrum of Control: A Social Theory of the Smart City. First Monday 2015, 20. Available online: https://firstmonday.org/ojs/index.php/fm/article/view/5903/4660 (accessed on 22 September 2020).
- Zuboff, S. The Age of Surveillance Capitalism: The Fight for a Human Future at the New Frontier of Power; Profile Books: London, UK, 2019. [Google Scholar]
- Citron, D.K.; Pasquale, F. Network accountability for the domestic intelligence apparatus. Hastings Law J. 2011, 62, 1441–1494. [Google Scholar]
- Almine. Available online: https://almine.pl/smart_city_przyklady_polska/ (accessed on 22 September 2020).
- UN Global Compact. Zrównoważone Miasta. Życie w Zdrowej Atmosferze. 2016. Available online: https://ungc.org.pl/wp-content/uploads/2016/10/Raport-Zr%C3%B3wnowa%C5%BCone-miasta.pdf (accessed on 20 September 2020).
- InfoBus. Available online: http://infobus.pl/polski-rynek-autobusow-elektrycznych-lipiec-2019_more_117202.html (accessed on 23 September 2020).
- Ranking of Sustainable Polish Cities, Arcadis, Warsaw, Poland. 2018. Available online: https://www.arcadis.com/media/6/0/D/%7B60DA8546-A735-430A-BF9A-6114B0362FD7%7DRanking%20Polskich%20Miast%20Zrownowazonych%20Arcadis%20FINAL.pdf (accessed on 19 September 2020).
- Langner, B.; Newelski, J. Integreted System of a Public Transport System which Uses Low-Carbon Energy: (in Polish). In Proceedings of the MZK Conference, Zielona Góra, Poland, 30 September 2020. [Google Scholar]
- The Methodology for Assessing Greenhouse Gas Emissions, Warsaw 2015. Available online: https://bip.zielonagora.pl/system/obj/65592_RAPORT_cz.1__-_programy_strategie.pdf (accessed on 22 September 2020).
- Subdisy Map. Available online: https://mapadotacji.gov.pl/projekty/746900/ (accessed on 1 September 2020).
- Gorzow. Available online: https://gorzow.tvp.pl/48962949/2-lata-elektrycznych-autobusow-w-zielonej-gorze-jak-sie-sprawdzaja (accessed on 2 September 2020).
- Gillingham, K.; Rapson, D.; Wagner, G. The Rebound Effect and Energy Efficiency Policy. Rev. Environ. Econ. Policy 2015, 10, 68–88. [Google Scholar] [CrossRef]




| Sustainable Urban Development | Level | Results |
|---|---|---|
| SDGe | 1 or 2 or 3 or 4 or 5 | |
| SDGs | 1 or 2 or 3 or 4 or 5 | |
| SDGc | 1 or 2 or 3 or 4 or 5 | |
| Evaluation of the use of electric buses (E) | 1 or 2 or 3 or 4 or 5 | |
| STPT1 | Value of correlation analysis | 1 or 2 or 3 or 4 or 5 |
| STPT2 | Value of correlation analysis | 1 or 2 or 3 or 4 or 5 |
| STPT3 | Value of correlation analysis | 1 or 2 or 3 or 4 or 5 |
| STPT4 | Value of correlation analysis | 1 or 2 or 3 or 4 or 5 |
| SDGs | Value | Level |
|---|---|---|
| SDGe1 | 1.23 kwH/km (average daily consumption kwH/km) | 4 |
| SDGe2 | 0 GHG | 5 |
| SDGe3 | Reducing risk management related to the climate | 4 |
| SDGs1 | 89% | 4 |
| SDGs2 | Lithium batteries, capacity 175 kwH | 4 |
| SDGs3 | Noise [dB] = 63 | 4 |
| SDGc1 | One-off ticket price [Polish]: Paper ticket 1.50–3.00 Electronic wallet 1.00–2.60 | 5 |
| SDGs | Value: Electric Buses | Value: Buses with a Diesel Engine |
|---|---|---|
| SDGe1 | 1.23 kwH/km (average daily consumption kwH/km) | 45l/100 km for 12 m buses, 50l/100 km for articulated buses |
| SDGe2 | 0 GHG | 924 g CO2 eq/poj-km [31] |
| SDGe3 | Reducing risk management related to the climate | - |
| SDGs1 | 89% | - |
| SDGs2 | Lithium batteries, capacity 175 kwH | E-card |
| SDGs3 | Noise [dB] = 63 | Noise [dB] = 80 |
| SDGc1 | One-off ticket price [Polish]: Paper ticket 1.50–3.00 Electronic wallet 1.00–2.60 | One-off ticket price [Polish]: Paper ticket 1.50–3.00 Electronic wallet 1.00–2.60 |
| Relations | Correlation | r2 | t | p |
|---|---|---|---|---|
| STPT1—“Keep Calm” Electric Vehicle/Satisfaction Public Transport Passengers | 0.4239 | 0.1797 | 14.9486 | 0.0000 |
| STPT2—smooth ride/Satisfaction Rate of Public Transport Passengers | 0.0318 | 0.0010 | 1.0172 | 0.3093 |
| STPT3—environmentally friendly: ecology/Satisfaction Public Transport Passengers | 0.0027 | 0.0000 | 0.0886 | 0.9294 |
| STPT4—environmentally friendly: air quality/Satisfaction Rate of Public Transport Passengers | −0.0185 | 0.0003 | −0.5908 | 0.5547 |
| Sustainable Urban Development | Level | Results |
|---|---|---|
| SDGe | 4 | |
| SDGs | 4 | |
| SDGc | 5 | |
| E | 4.39 | 4 |
| STPT1 | 0.4239 | 4 |
| STPT2 | 0.0318 | 1 |
| STPT3 | 0.0027 | 1 |
| STPT4 | −0.0185 | 1 |
Publisher’s Note: MDPI stays neutral with regard to jurisdictional claims in published maps and institutional affiliations. |
© 2020 by the authors. Licensee MDPI, Basel, Switzerland. This article is an open access article distributed under the terms and conditions of the Creative Commons Attribution (CC BY) license (http://creativecommons.org/licenses/by/4.0/).
Share and Cite
Patalas-Maliszewska, J.; Łosyk, H. Analysis of the Development and Parameters of a Public Transport System Which Uses Low-Carbon Energy: The Evidence from Poland. Energies 2020, 13, 5779. https://doi.org/10.3390/en13215779
Patalas-Maliszewska J, Łosyk H. Analysis of the Development and Parameters of a Public Transport System Which Uses Low-Carbon Energy: The Evidence from Poland. Energies. 2020; 13(21):5779. https://doi.org/10.3390/en13215779
Chicago/Turabian StylePatalas-Maliszewska, Justyna, and Hanna Łosyk. 2020. "Analysis of the Development and Parameters of a Public Transport System Which Uses Low-Carbon Energy: The Evidence from Poland" Energies 13, no. 21: 5779. https://doi.org/10.3390/en13215779
APA StylePatalas-Maliszewska, J., & Łosyk, H. (2020). Analysis of the Development and Parameters of a Public Transport System Which Uses Low-Carbon Energy: The Evidence from Poland. Energies, 13(21), 5779. https://doi.org/10.3390/en13215779

