Field Test and Numerical Simulation on Heat Transfer Performance of Coaxial Borehole Heat Exchanger
Abstract
1. Introduction
2. Improved Thermal Response Test and Results
2.1. Theory of Thermal Response Test
2.2. Improved Thermal Response Test
2.3. In Situ ITRT
2.4. Results of the In Situ ITRT
3. Validation via Laboratory Experiment
3.1. Laboratory Experiment
3.2. Results of Laboratory Experiment
4. Numerical Simulation
4.1. Model Description
4.2. Governing Equation and Mesh Discretization
4.3. Initial and Boundary Conditions
4.4. Heat Transfer Evaluation of CBHE
4.5. Model Validation
4.6. Influence of Flow Direction on Heat Transfer
4.7. Sensitivity Analysis
4.7.1. Backfill Grout Materials
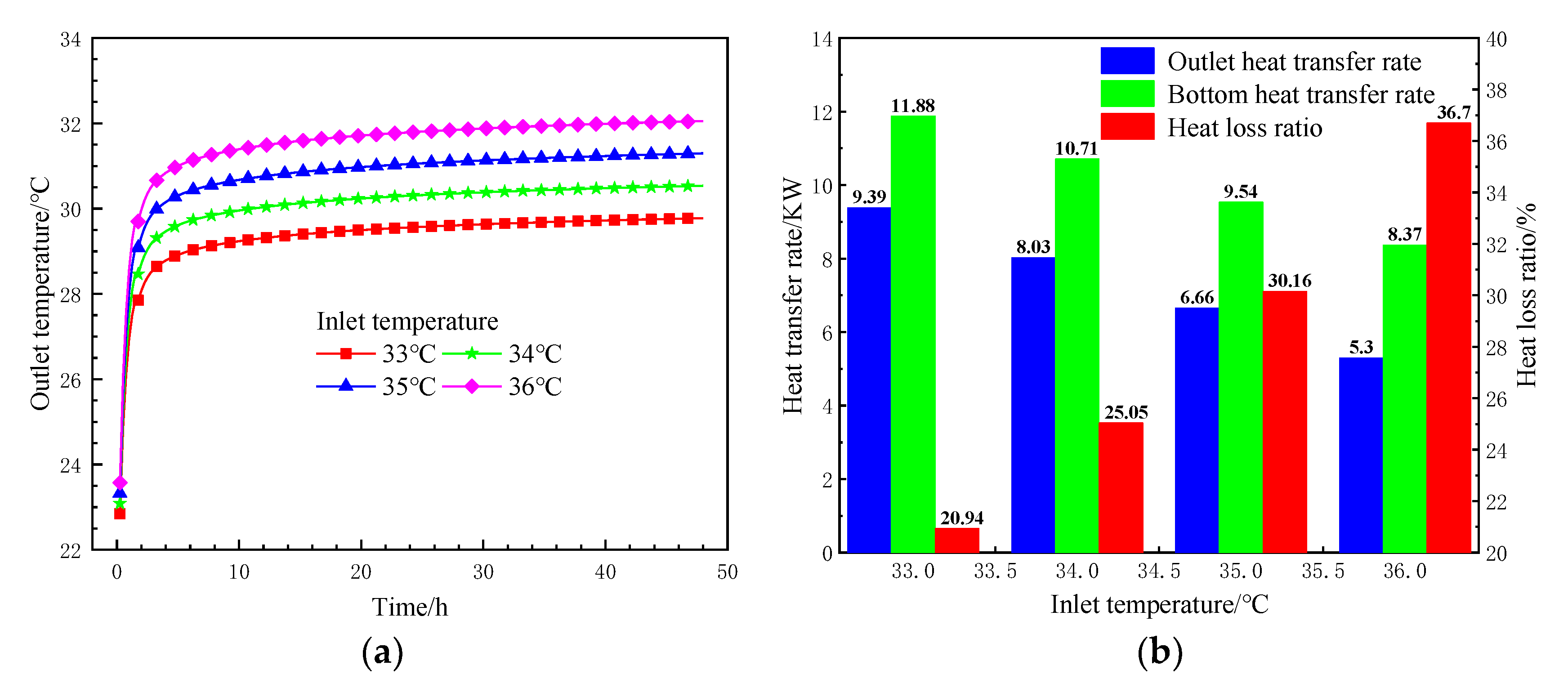
4.7.2. Inlet Temperature
4.7.3. Flow Rate
4.7.4. Thermal Conductivity of Inner Pipe
4.7.5. Borehole Depth
4.8. Optimum Flow Rate Range
5. Conclusions
- The method proposed in this study, of using the average temperature of bottom and inlet fluid as the average temperature of circulating fluid to solve the stratum thermal conductivity, has a high accuracy.
- Considering that the disturbance of the stratum temperature field will have a great impact on the underground organisms, it is suggested to adopt the anulus-in direction under the cooling condition, and the center-in direction under the heating condition.
- Through sensitivity analysis, the backfill grout material, the thermal conductivity of inner pipe, and the borehole depth have little effect on the heat transfer performance of CBHE, while the flow rate and inlet temperature have significant effect. Heat loss and heat transfer rate can be controlled by flow rate and inlet temperature.
- An inlet flow rate between 0.3 m/s and 0.4 m/s, corresponding to volume flow rate range from 3.24 m3/h to 4.31 m3/h, will lead to a better heat transfer performance.
Author Contributions
Funding
Conflicts of Interest
References
- Zanchini, E.; Lazzari, S.; Priarone, A. Improving the thermal performance of coaxial borehole heat exchangers. Energy 2010, 35, 657–666. [Google Scholar] [CrossRef]
- Luo, J.; Rohn, J.; Xiang, W.; Bertermann, D.; Blum, P. A review of ground investigations for ground source heat pump (GSHP) systems. Energy Build. 2016, 117, 160–175. [Google Scholar] [CrossRef]
- Jung, Y.-J.; Kim, H.-J.; Choi, B.-E.; Jo, J.-H.; Cho, Y.-H. A Study on the Efficiency Improvement of Multi-Geothermal Heat Pump Systems in Korea Using Coefficient of Performance. Energies 2016, 9, 356. [Google Scholar] [CrossRef]
- Wang, C.-L.; Li, H.; Huang, Z.-J.; Lu, Y.-H.; Huang, X.-J.; Gan, L. A new heat transfer model for single U-pipe ground heat exchanger. Appl. Therm. Eng. 2019, 154, 400–406. [Google Scholar] [CrossRef]
- Dehghan, B.; Sisman, A.; Aydin, M. Parametric investigation of helical ground heat exchangers for heat pump applications. Energy Build. 2016, 127, 999–1007. [Google Scholar] [CrossRef]
- Zarrella, A.; Emmi, G.; Graci, S.; De Carli, M.; Cultrera, M.; Santa, G.; Galgaro, A.; Bertermann, D.; Müller, J.; Pockelé, L.; et al. Thermal Response Testing Results of Different Types of Borehole Heat Exchangers: An Analysis and Comparison of Interpretation Methods. Energies 2017, 10, 801. [Google Scholar] [CrossRef]
- Beier, R.A.; Acuña, J.; Mogensen, P.; Palm, B. Borehole resistance and vertical temperature profiles in coaxial borehole heat exchangers. Appl. Energy 2013, 102, 665–675. [Google Scholar] [CrossRef]
- Gong, G.; Chen, F.; Huan, S.U.; Zhiping, Y.I. Design Calculation Methods of Coaxial Pipe Type Ground Heat Exchanger. Sci. Technol. Rev. 2013, 31, 53–56. [Google Scholar]
- Oh, K.; Lee, S.; Park, S.; Han, S.-I.; Choi, H. Field experiment on heat exchange performance of various coaxial-type ground heat exchangers considering construction conditions. Renew. Energy 2019, 144, 84–96. [Google Scholar] [CrossRef]
- Wood, C.J.; Liu, H.; Riffat, S.B. Comparative performance of ‘U-tube’ and ‘coaxial’ loop designs for use with a ground source heat pump. Appl. Therm. Eng. 2012, 37, 190–195. [Google Scholar] [CrossRef]
- Acuña, J.; Palm, B. Distributed thermal response tests on pipe-in-pipe borehole heat exchangers. Appl. Energy 2013, 109, 312–320. [Google Scholar] [CrossRef]
- Pan, A.; Lu, L.; Cui, P.; Jia, L. A new analytical heat transfer model for deep borehole heat exchangers with coaxial tubes. Int. J. Heat Mass Transf. 2019, 141, 1056–1065. [Google Scholar] [CrossRef]
- Iry, S.; Rafee, R. Transient numerical simulation of the coaxial borehole heat exchanger with the different diameters ratio. Geothermics 2019, 77, 158–165. [Google Scholar] [CrossRef]
- Cui, G.; Ren, S.; Dou, B.; Ning, F. Geothermal energy exploitation from depleted high-temperature gas reservoirs by recycling CO2: The superiority and existing problems. Geosci. Front. 2020. [Google Scholar] [CrossRef]
- Cheng, S.W.Y.; Kurnia, J.C.; Ghoreishi-Madiseh, S.A. Optimization of geothermal energy extraction from abandoned oil well with a novel well bottom curvature design utilizing Taguchi method. Energy 2019, 188, 116098. [Google Scholar] [CrossRef]
- Sliwaa, T.; Rosen, M.A. Efficiency analysis of borehole heat exchangers as grout varies via thermal response test simulations. Geothermics 2017, 69, 132–138. [Google Scholar] [CrossRef]
- Tang, F.; Nowamooz, H. Factors influencing the performance of shallow Borehole Heat Exchanger. Energy Convers. Manag. 2019, 181, 571–583. [Google Scholar] [CrossRef]
- Luo, Y.; Guo, H.; Meggers, F.; Zhang, L. Deep coaxial borehole heat exchanger: Analytical modeling and thermal analysis. Energy 2019, 185, 1298–1313. [Google Scholar] [CrossRef]
- Cai, W.; Wang, F.; Liu, J.; Wang, Z.; Ma, Z. Experimental and numerical investigation of heat transfer performance and sustainability of deep borehole heat exchangers coupled with ground source heat pump systems. Appl. Therm. Eng. 2019, 149, 975–986. [Google Scholar] [CrossRef]
- Nian, Y.; Cheng, W. Analytical g-function for vertical geothermal boreholes with effect of borehole heat capacity. Appl. Therm. Eng. 2018, 140, 733–744. [Google Scholar] [CrossRef]
- Yang, X.; Wang, G.; Wang, Q.; Chen, C. Transient numerical model for a coaxial borehole heat exchanger with the effect of borehole heat capacity. Int. J. Energy Res. 2019, 43, 6551–6560. [Google Scholar] [CrossRef]
- Holmberg, H.; Acuña, J.; Næss, E.; Sønju, O.K. Thermal evaluation of coaxial deep borehole heat exchangers. Renew. Energy 2016, 97, 65–76. [Google Scholar] [CrossRef]
- Zanchini, E.; Lazzari, S.; Priarone, A. Effects of flow direction and thermal short-circuiting on the performance of small coaxial ground heat exchangers. Renew. Energy 2010, 35, 1255–1265. [Google Scholar] [CrossRef]
- Nian, Y.-L.; Cheng, W.-L.; Yang, X.-Y.; Xie, K. Simulation of a novel deep ground source heat pump system using abandoned oil wells with coaxial BHE. Int. J. Heat Mass Transf. 2019, 137, 400–412. [Google Scholar] [CrossRef]
- Wang, Z.; Wang, F.; Liu, J. Field test and numerical investigation on the heat transfer characteristics and optimal design of the heat exchangers of a deep borehole ground source heat pump system. Energy Convers. Manag. 2017, 153, 603–615. [Google Scholar] [CrossRef]
- Beier, R.A.; Acuña, J.; Mogensen, P.; Palm, B. Transient heat transfer in a coaxial borehole heat exchanger. Geothermics 2014, 51, 470–482. [Google Scholar] [CrossRef]
- Kelvin, T. Mathematical and Physical Papers; Cambridge University Press: London, UK, 1882. [Google Scholar]
- Ingersoll, L.R.; Adler, F.; Plass, H.J. Theory of earth heat exchangers for the heat pump. ASHVE Trans. 1950, 56, 167–188. [Google Scholar]
- Waples, D.W.; Tirsgaard, H. Changes in matrix thermal conductivity of clays and claystones as a function of compaction. Pet. Geosci. 2002, 8, 365–370. [Google Scholar] [CrossRef]
- Available online: https://www.appliedp.com/product/isomet/ (accessed on 8 October 2020).
- Liu, X.; Zhao, J.; Shi, C.; Zhao, B. Study on soil layer of constant temperature. Acta Energ. Sol. Sin. 2007, 28, 494–498. [Google Scholar]



















| Borehole | B1 | B2 |
|---|---|---|
| Diameter (mm) | 150 | 150 |
| Depth (mm) | 160 | 108 |
| Pipe material | HDPE | HDPE |
| Thermal conductivity of pipe (W·m−1·K−1) | 0.4 | 0.4 |
| Density of pipe (103 kg/m3) | 950 | 950 |
| Specific heat (J/kg·K) | 2300 | 2300 |
| Outer pipe diameter/wall thickness (mm) | 90/8.3 | 90/8.3 |
| Inner pipe diameter/wall thickness (mm) | 40/3 | 40/3 |
| Thermal conductivity of water (W·m−1·K−1) | 0.618 | 0.618 |
| Density of water (103 kg/m3) | 998 | 998 |
| Specific heat (J/kg·K) | 4182 | 4182 |
| Backfill material | Limestone | Medium–coarse sand |
| Thermal Properties | Samples | |||
|---|---|---|---|---|
| S1 | S2 | S3 | Average Value | |
| Thermal conductivity (W·m−1·K−1) | 2.357 | 2.522 | 2.396 | 2.425 |
| Density (103 kg/m3) | 2.32 | 2.35 | 2.3 | 2.32 |
| Specific heat (J/kg·K) | 1040 | 1044 | 1050 | 1045 |
| Grout Material | Limestone | Medium–Coarse Sand |
|---|---|---|
| Thermal conductivity (W·m−1·K−1) | 1.47 | 2.61 |
| Specific heat (J/kg·K) | 1132 | 1145 |
| Density (103 kg/m3) | 2065 | 1938 |
| Borehole | B1 | B2 |
|---|---|---|
| Thermal conductivity from ITRT (W·m−1·K−1) | 2.282 | 2.269 |
| Thermal conductivity from TRT (W·m−1·K−1) | 2.192 | 2.204 |
| Thermal conductivity from laboratory experiment (W·m−1·K−1) | 2.425 | |
| Relative error between ITRT and laboratory experiments | 5.89% | 6.43% |
| Relative error between TRT and laboratory experiments | 9.61% | 9.11% |
Publisher’s Note: MDPI stays neutral with regard to jurisdictional claims in published maps and institutional affiliations. |
© 2020 by the authors. Licensee MDPI, Basel, Switzerland. This article is an open access article distributed under the terms and conditions of the Creative Commons Attribution (CC BY) license (http://creativecommons.org/licenses/by/4.0/).
Share and Cite
Li, P.; Guan, P.; Zheng, J.; Dou, B.; Tian, H.; Duan, X.; Liu, H. Field Test and Numerical Simulation on Heat Transfer Performance of Coaxial Borehole Heat Exchanger. Energies 2020, 13, 5471. https://doi.org/10.3390/en13205471
Li P, Guan P, Zheng J, Dou B, Tian H, Duan X, Liu H. Field Test and Numerical Simulation on Heat Transfer Performance of Coaxial Borehole Heat Exchanger. Energies. 2020; 13(20):5471. https://doi.org/10.3390/en13205471
Chicago/Turabian StyleLi, Peng, Peng Guan, Jun Zheng, Bin Dou, Hong Tian, Xinsheng Duan, and Hejuan Liu. 2020. "Field Test and Numerical Simulation on Heat Transfer Performance of Coaxial Borehole Heat Exchanger" Energies 13, no. 20: 5471. https://doi.org/10.3390/en13205471
APA StyleLi, P., Guan, P., Zheng, J., Dou, B., Tian, H., Duan, X., & Liu, H. (2020). Field Test and Numerical Simulation on Heat Transfer Performance of Coaxial Borehole Heat Exchanger. Energies, 13(20), 5471. https://doi.org/10.3390/en13205471

