On the Ventilation Performance of Low Momentum Confluent Jets Supply Device in a Classroom
Abstract
1. Introduction
- How does the airflow rate affect thermal comfort, IAQ and energy efficiency for different types of CJV?
- How does the supply temperature affect thermal comfort, IAQ and energy efficiency for different types of CJV?
- How can CJV be optimized with regard to energy efficiency in a classroom environment under conditions of varying heat load, airflow rates and supply temperatures?
2. Materials and Methods
2.1. The Studied Supply Devices
2.2. Test Facilities
2.3. Equipment
2.4. Case Set-Up
2.5. Measurement Procedure and Analysis
3. Results and Discussion
3.1. Comparison of the SJ, HMCJ and LMCJ Supply Devices
3.1.1. Air Flow Distribution and Its Effects on Temperature and Energy Efficiency
3.1.2. Airflow Distribution and Its Effects on Thermal Comfort
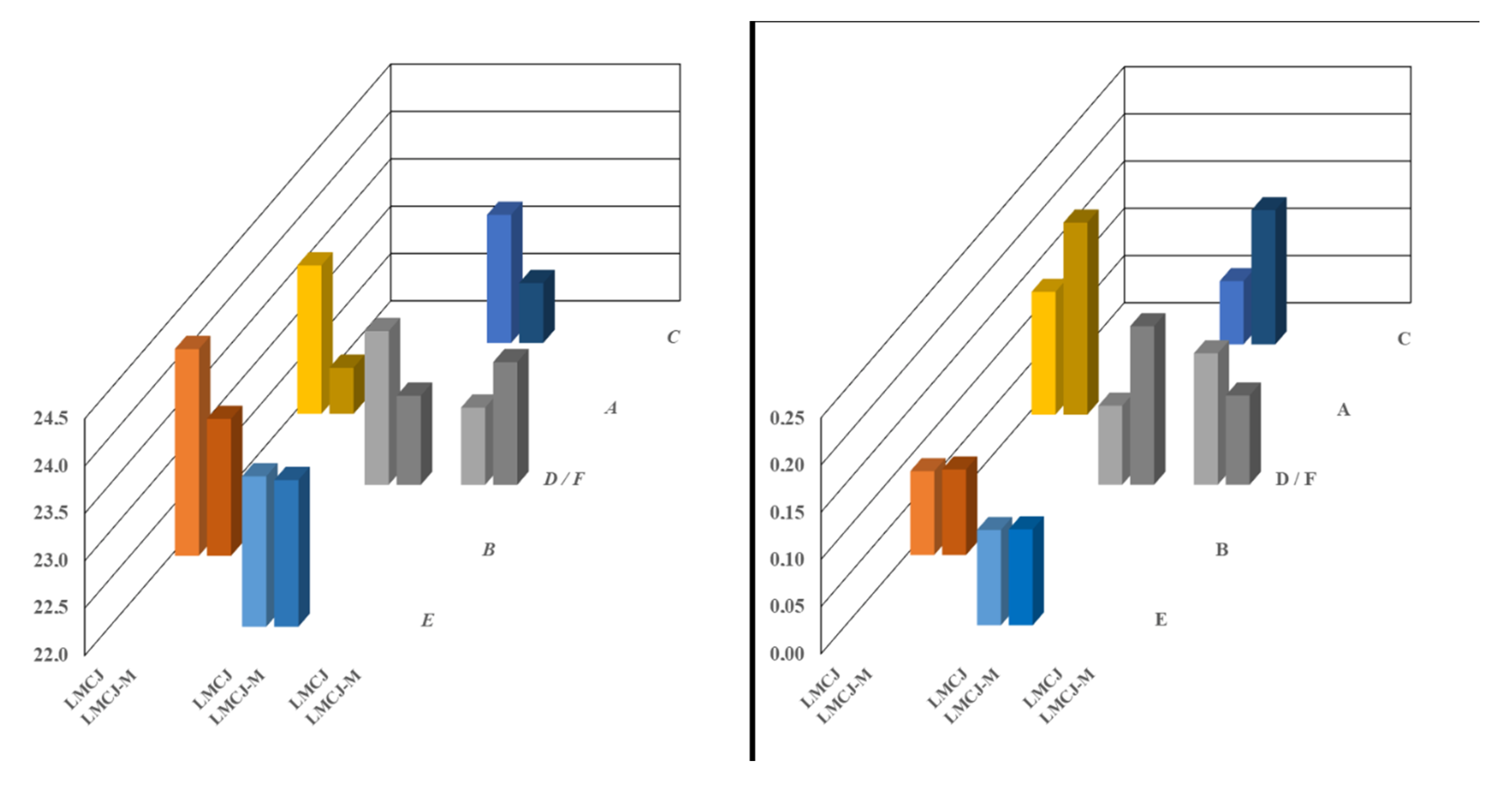
3.2. The Modified Low Momentum Confluent Jets
3.2.1. The Modified Low Momentum Confluent Jets
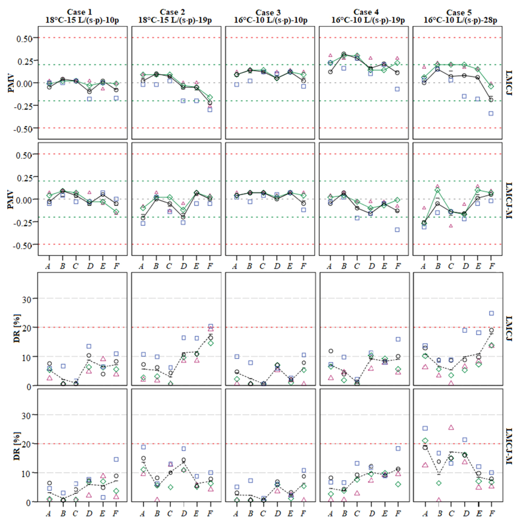
3.2.2. Modified Airflow Distribution and Thermal Comfort
3.3. The Effects of Changing Airflow Distribution
4. Conclusions
- LMCJ and HMCJ produces conditions similar to MV when the airflow rates are lower than 4.2 ACH and CJV conditions above 4.2 ACH. LMCJ-M start to produce CJV conditions at the lower airflow rates (3.3 ACH) than LMCJ and HMCJ.
- The ACE values for the three CJ supply devices are independent of the airflow rates, the supply temperature and the occupancy density and the two LMCJs supply devices have on average 5% higher ACE than HMCJ.
- Because of 7% higher LHRE, LMCJ-M had slightly lower temperatures and PMV-values than LMCJ, which indicates that LMCJ-M could provide similar conditions as LMCJ if the airflow rate was slightly lowered.
- Lower supply temperatures are connected to higher velocities, lower PMV and higher DR in the occupied zone for the CJ supply devices. HMCJ was most affected by this, LMCJ-M less so and LMCJ least of all. The CJ supply devices are more sensitive to low supply temperatures in terms of thermal comfort if they have high jet inlet velocities.
- LHRE can be increased with CJV if the air can be directed to areas with high occupancy density.
- LMCJ and LMCJ-M become more energy efficient with a lower supply temperature because of the lower airflow rates while still being able to provide adequate thermal comfort.
- LMCJ and LMCJ-M in combination with a lower supply temperature could be advantageous in terms of energy efficiency in countries with a cold climate where free cooling is available.
- The main effect from the airflow rate is that CJV starts to produce more stratified conditions at higher airflow rates (3.3–4 ACH) and thus become more efficient to heat removal.
- The main effects of lower supply temperatures are higher velocities, DR and heat removal in the occupied zone as well as lower temperatures and PMV-values.
- The LMCJ had higher ACE and better thermal comfort than the HMCJ, especially in the cases with higher heat loads and low supply temperatures. When the LMCJ was optimized for the local conditions, the results were more stratified conditions, which increased heat removal efficiency and lowered the room temperatures. This means that LMCJ-M can provide a better indoor climate with lower airflow rates and lower supply temperatures, which is more energy efficient.
5. Future Work
Author Contributions
Funding
Acknowledgments
Conflicts of Interest
Nomenclature
| d | Inside diameter of nozzle (mm) |
| p | Person (-) |
| Q | Total airflow (L/s) |
| Qp | Airflow per person (L/(s⋅p)) |
| TE | Exhaust temperature (°C) |
| TP | Point temperature (°C) |
| TS | Supply temperature (°C) |
| U0 | Jet inlet velocity (m/s) |
Abbreviations
| ACE | Air Change Effectiveness |
| ACEP | Local Air Change Effectiveness |
| ADPI | Air Diffusion Performance Index |
| CAV | Constant Air Volume |
| CJ | Confluent Jets |
| CJV | Confluent Jets Ventilation |
| DR | Draft Rating |
| DV | Displacement Ventilation |
| HMCJ | High Momentum Confluent Jets |
| HRE | Heat Removal Effectiveness |
| HTD | Horizontal Temperature Distribution |
| IAQ | Indoor Air Quality |
| LHRE | Local Heat Removal Effectiveness |
| LMCJ | Low Momentum Confluent Jets |
| LMCJ-M | Low Momentum Confluent Jets—Modified |
| MV | Mixing Ventilation |
| PMV | Predicted Mean Vote |
| PPD | Percentage People Dissatisfied |
| RH | Relative Humidity |
| RMS | Root Mean Square |
| SJ | Slot Jet |
| TD | Temperature Distribution |
| VAV | Variable Air Volume |
| VTG | Vertical Temperature Gradient |
Appendix A. Tables of Boundary Conditions
| Case 1 18 °C-15 L/(s⋅p)-10 p | Case 2 18 °C-15 L/(s⋅p)-19 p | Case 3 16 °C-10 L/(s⋅p)-10 p | Case 4 16 °C-10 L/(s⋅p)-19 p | Case 5 16 °C-10 L/(s⋅p)-28 p | ||||||||||||
|---|---|---|---|---|---|---|---|---|---|---|---|---|---|---|---|---|
| Supply Device | BC | Measured | Diff. | Diff. % | Measured | Diff. | Diff. % | Measured | Diff. | Diff. % | Measured | Diff. | Diff. % | Measured | Diff. | Diff. % |
| SJ | QP (L/(s⋅p)) | 15.5 | 0.5 | 3% | 15.7 | 0.7 | 5% | 10.5 | 0.5 | 5% | 10.4 | 0.4 | 4% | 10.5 | 0.5 | 5% |
| TS (°C) | 17.9 | −0.1 | −0.6% | 17.7 | −0.3 | −1.7% | 16.3 | 0.3 | 1.9% | 15.8 | −0.2 | −1.3% | 16 | 0 | 0.0% | |
| U0 (m/s) | 0.86 | 0.03 | 3% | 1.65 | 0.07 | 5% | 0.58 | 0.03 | 5% | 1.10 | 0.04 | 4% | 1.63 | 0.08 | 5% | |
| HMCJ | QP (L/(s⋅p)) | 15.4 | 0.4 | 3% | 15.3 | 0.3 | 2% | 10.2 | 0.2 | 2% | 9.8 | −0.2 | −2% | 10.2 | 0.2 | 2% |
| TS (°C) | 18 | 0 | 0.0% | 18 | 0 | 0.0% | 16 | 0 | 0.0% | 16.2 | 0.2 | 1.3% | 16 | 0 | 0.0% | |
| U0 (m/s) | 3.41 | 0.09 | 3% | 6.41 | 0.11 | 2% | 2.26 | 0.04 | 2% | 4.11 | −0.09 | −2% | 6.33 | 0.13 | 2% | |
| LMCJ | QP (L/(s⋅p)) | 14.5 | −0.5 | −3% | 14.7 | −0.3 | −2% | 9.8 | −0.2 | −2% | 9.6 | −0.4 | −4% | 9.9 | −0.1 | −1% |
| TS (°C) | 17.9 | −0.1 | −0.6% | 17.8 | −0.2 | −1.1% | 16.1 | 0.1 | 0.6% | 16.1 | 0.1 | 0.6% | 16 | 0 | 0.0% | |
| U0 (m/s) | 0.52 | −0.02 | −3% | 1.00 | −0.02 | −2% | 0.35 | −0.01 | −2% | 0.65 | −0.03 | −4% | 0.99 | −0.01 | −1% | |
| Max–Min | QP (L/(s⋅p)) | 15.5–14.5 | 1 | 7% | 15.7–14.7 | 0.9 | 6% | 10.5–9.8 | 0.7 | 7% | 10.4–9.6 | 0.8 | 8% | 10.5–9.9 | 0.6 | 6% |
| TS (°C) | 18.0–17.9 | 0.1 | 1% | 18.0–17.7 | 0.3 | 2% | 16.3–16.0 | 0.3 | 2% | 16.2–15.8 | 0.4 | 3% | 16.0–16.0 | 0 | 0% | |
| Max | U0 (m/s) | 3.41 | 0.09 | 3% | 6.41 | 0.11 | 2% | 2.26 | −0.04 | −2% | 4.11 | −0.09 | −2% | 6.3 | −0.13 | −2% |
| Case 1 18 °C-15 L/(s⋅p)-10 p | Case 2 18 °C-15 L/(s⋅p)-19 p | Case 3 16 °C-10 L/(s⋅p)-10 p | Case 4 16 °C-10 L/(s⋅p)-19 p | Case 5 16 °C-10 L/(s⋅p)-28 p | ||||||||||||
|---|---|---|---|---|---|---|---|---|---|---|---|---|---|---|---|---|
| Supply Device | BC | Measured | Diff. | Diff. % | Measured | Diff. | Diff. % | Measured | Diff. | Diff. % | Measured | Diff. | Diff. % | Measured | Diff. | Diff. % |
| LMCJ | QP (L/(s⋅p)) | 14.5 | −0.5 | −3% | 14.7 | −0.3 | −2% | 9.8 | −0.2 | −2% | 9.6 | −0.4 | −4% | 9.9 | −0.1 | −1% |
| TS (°C) | 17.9 | −0.1 | −0.6% | 17.8 | −0.2 | −1.1% | 16.1 | 0.1 | 0.6% | 16.1 | 0.1 | 0.6% | 16 | 0 | 0.0% | |
| U0 (m/s) | 0.52 | −0.02 | −3% | 1.00 | −0.02 | −2% | 0.35 | −0.01 | −2% | 0.65 | −0.03 | −4% | 0.99 | −0.01 | −1% | |
| LMCJ-M | QP (L/(s⋅p)) | 14.7 | −0.3 | −2% | 14.6 | −0.4 | −4% | 9.9 | −0.1 | −1% | 10.3 | 0.3 | 3% | 9.6 | −0.4 | −7% |
| TS (°C) | 17.9 | −0.1 | −0.6% | 18 | 0 | 0.0% | 16.1 | 0.1 | 0.6% | 15.8 | −0.2 | −1.3% | 15.7 | −0.3 | −1.9% | |
| U0 (m/s) | 1.05 | −0.02 | −2% | 1.98 | −0.05 | −4% | 0.71 | −0.01 | −1% | 1.39 | 0.04 | 3% | 1.92 | −0.07 | −7% | |
| Max–Min | QP (L/(s⋅p)) | 14.7–14.5 | 0.2 | 1% | 14.7–14.6 | 0.1 | 1% | 9.2–9.2 | 0.1 | 1% | 10.5–9.4 | 0.7 | 7% | 9.9–9.6 | 0.3 | 3% |
| TS (°C) | 17.9–17.9 | 0 | 0% | 18–17.8 | 0.2 | 1% | 16.1–16.1 | 0 | 0% | 16.1–15.8 | 0.3 | 2% | 16.0–15.7 | 0.3 | 2% | |
| Max | U0 (m/s) | 0.97 | −0.02 | −2% | 2.02 | −0.05 | −2% | 0.66 | −0.01 | −1% | 1.43 | 0.04 | 2% | 2.10 | 0.07 | 3% |
References
- Pérez-Lombard, L.; Ortiz, J.; Pout, C. A review on buildings energy consumption information. Energy Build. 2008, 40, 394–398. [Google Scholar] [CrossRef]
- Seppanen, O.A.; Fisk, W.J.; Mendell, M.J. Association of Ventilation Rates and CO2 Concentrations with Health and Other Responses in Commercial and Institutional Buildings. Indoor Air 1999, 9, 226–252. [Google Scholar] [CrossRef] [PubMed]
- Fisk, W.J.; Black, D.; Brunner, G. Changing ventilation rates in U.S. offices: Implications for health, work performance, energy, and associated economics. Build. Environ. 2012, 47, 368–372. [Google Scholar] [CrossRef]
- Carrer, P.; Wargocki, P.; Fanetti, A.; Bischof, W.; Fernandes, E.D.O.; Hartmann, T.; Kephalopoulos, S.; Palkonen, S.; Seppänen, O. What does the scientific literature tell us about the ventilation–health relationship in public and residential buildings? Build. Environ. 2015, 94, 273–286. [Google Scholar] [CrossRef]
- Allen, J.G.; Macnaughton, P.; Satish, U.; Santanam, S.; Vallarino, J.; Spengler, J.D. Associations of Cognitive Function Scores with Carbon Dioxide, Ventilation, and Volatile Organic Compound Exposures in Office Workers: A Controlled Exposure Study of Green and Conventional Office Environments. Environ. Health Perspect. 2016, 124, 805–812. [Google Scholar] [CrossRef]
- Kabanshi, A.; Wigö, H.; Van De Poll, M.K.; Ljung, R.; Sörqvist, P. The Influence of Heat, Air Jet Cooling and Noise on Performance in Classrooms. Int. J. Vent. 2015, 14, 321–332. [Google Scholar] [CrossRef]
- Bakó-Biró, Z.; Clements-Croome, D.; Kochhar, N.; Awbi, H.; Williams, M. Ventilation rates in schools and pupils’ performance. Build. Environ. 2012, 48, 215–223. [Google Scholar] [CrossRef]
- Wargocki, P.; Wyon, D.P. Providing better thermal and air quality conditions in school classrooms would be cost-effective. Build. Environ. 2013, 59, 581–589. [Google Scholar] [CrossRef]
- Norbck, D.; Nordstrm, K.; Norbäck, D.; Nordström, K. An experimental study on effects of increased ventilation flow on students perception of indoor environment in computer classrooms. Indoor Air 2008, 18, 293–300. [Google Scholar] [CrossRef]
- Fisk, W.J.; Rosenfeld, A.H. Estimates of Improved Productivity and Health from Better Indoor Environments. Indoor Air 1997, 7, 158–172. [Google Scholar] [CrossRef]
- Wyon, D.P. The effects of indoor air quality on performance and productivity. Indoor Air 2004, 14, 92–101. [Google Scholar] [CrossRef] [PubMed]
- Awbi, H.B. Ventilation Systems—Design and Performance, 1st ed.; Taylor and Francis: London, UK, 2008. [Google Scholar]
- Ben-David, T.; Rackes, A.; Waring, M.S. Alternative ventilation strategies in U.S. offices: Saving energy while enhancing work performance, reducing absenteeism, and considering outdoor pollutant exposure tradeoffs. Build. Environ. 2017, 116, 140–157. [Google Scholar] [CrossRef]
- Rackes, A.; Waring, M.S. Alternative ventilation strategies in U.S. offices: Comprehensive assessment and sensitivity analysis of energy saving potential. Build. Environ. 2017, 116, 30–44. [Google Scholar] [CrossRef]
- Hoyt, T.; Arens, E.; Zhang, H. Extending air temperature setpoints: Simulated energy savings and design considerations for new and retrofit buildings. Build. Environ. 2015, 88, 89–96. [Google Scholar] [CrossRef]
- Ben-David, T.; Rackes, A.; Lo, L.J.; Wen, J.; Waring, M.S. Optimizing ventilation: Theoretical study on increasing rates in offices to maximize occupant productivity with constrained additional energy use. Build. Environ. 2019, 166, 106314. [Google Scholar] [CrossRef]
- Wargocki, P.; Wyon, D.P. The Effects of Moderately Raised Classroom Temperatures and Classroom Ventilation Rate on the Performance of Schoolwork by Children (RP-1257). HVAC R Res. 2007, 13, 193–220. [Google Scholar] [CrossRef]
- Haverinen-Shaughnessy, U.; Shaughnessy, R.J. Effects of Classroom Ventilation Rate and Temperature on Students’ Test Scores. PLoS ONE 2015, 10, e0136165. [Google Scholar] [CrossRef] [PubMed]
- Wargocki, P.; Wyon, D.P. Ten questions concerning thermal and indoor air quality effects on the performance of office work and schoolwork. Build. Environ. 2017, 112, 359–366. [Google Scholar] [CrossRef]
- Porras-Salazar, J.A.; Wyon, D.P.; Piderit-Moreno, B.; Contreras-Espinoza, S.; Wargocki, P. Reducing classroom temperature in a tropical climate improved the thermal comfort and the performance of elementary school pupils. Indoor Air 2018, 28, 892–904. [Google Scholar] [CrossRef]
- Wargocki, P.; Porras-Salazar, J.A.; Contreras-Espinoza, S. The relationship between classroom temperature and children’s performance in school. Build. Environ. 2019, 157, 197–204. [Google Scholar] [CrossRef]
- Mossolly, M.; Ghali, K.; Ghaddar, N. Optimal control strategy for a multi-zone air conditioning system using a genetic algorithm. Energy 2009, 34, 58–66. [Google Scholar] [CrossRef]
- Parameshwaran, R.; Karunakaran, R.; Kumar, C.V.R.; Iniyan, S. Energy conservative building air conditioning system controlled and optimized using fuzzy-genetic algorithm. Energy Build. 2010, 42, 745–762. [Google Scholar] [CrossRef]
- Gruber, M.; Trüschel, A.; Dalenbäck, J.-O. Alternative strategies for supply air temperature control in office buildings. Energy Build. 2014, 82, 406–415. [Google Scholar] [CrossRef]
- Sandberg, M.; Kabanshi, A.; Wigö, H. Is building ventilation a process of diluting contaminants or delivering clean air? Indoor Built Environ. 2019, 29, 768–774. [Google Scholar] [CrossRef]
- Cao, G.; Awbi, H.; Yao, R.; Fan, Y.; Sirén, K.; Kosonen, R.; Zhang, J.J. A review of the performance of different ventilation and airflow distribution systems in buildings. Build. Environ. 2014, 73, 171–186. [Google Scholar] [CrossRef]
- Awbi, H.B. Ventilation of Buildings, 2nd ed.; Spon Press: London, UK, 2003. [Google Scholar] [CrossRef]
- Melikov, A.; Pitchurov, G.; Naydenov, K.; Langkilde, G. Field study on occupant comfort and the office thermal environment in rooms with displacement ventilation. Indoor Air 2005, 15, 205–214. [Google Scholar] [CrossRef] [PubMed]
- Cho, Y.; Awbi, H.; Karimipanah, T. Theoretical and experimental investigation of wall confluent jets ventilation and comparison with wall displacement ventilation. Build. Environ. 2008, 43, 1091–1100. [Google Scholar] [CrossRef]
- Arghand, T.; Karimipanah, T.; Awbi, H.; Cehlin, M.; Larsson, U.; Linden, E. An experimental investigation of the flow and comfort parameters for under-floor, confluent jets and mixing ventilation systems in an open-plan office. Build. Environ. 2015, 92, 48–60. [Google Scholar] [CrossRef]
- Andersson, H.; Cehlin, M.; Moshfegh, B. Experimental and numerical investigations of a new ventilation supply device based on confluent jets. Build. Environ. 2018, 137, 18–33. [Google Scholar] [CrossRef]
- O’Donohoe, P.G.; Galvez-Huerta, M.A.; Gil-López, T.; Dieguez-Elizondo, P.M.; Castejon-Navas, J. Air diffusion system design in large assembly halls. Case study of the Congress of Deputies parliament building, Madrid, Spain. Build. Environ. 2019, 164, 106311. [Google Scholar] [CrossRef]
- Karimipanah, T.; Awbi, H.; Sandberg, M.; Blomqvist, C. Investigation of air quality, comfort parameters and effectiveness for two floor-level air supply systems in classrooms. Build. Environ. 2007, 42, 647–655. [Google Scholar] [CrossRef]
- Chen, H.; Janbakhsh, S.; Larsson, U.; Moshfegh, B. Numerical investigation of ventilation performance of different air supply devices in an office environment. Build. Environ. 2015, 90, 37–50. [Google Scholar] [CrossRef]
- Ghahremanian, S.; Svensson, K.; Tummers, M.J.; Moshfegh, B. Near-field development of a row of round jets at low Reynolds numbers. Exp. Fluids 2014, 55, 1–18. [Google Scholar] [CrossRef]
- Ghahremanian, S.; Svensson, K.; Tummers, M.J.; Moshfegh, B. Near-field mixing of jets issuing from an array of round nozzles. Int. J. Heat Fluid Flow 2014, 47, 84–100. [Google Scholar] [CrossRef]
- Svensson, K.; Rohdin, P.; Moshfegh, B.; Tummers, M.J. Numerical and experimental investigation of the near zone flow field in an array of confluent round jets. Int. J. Heat Fluid Flow 2014, 46, 127–146. [Google Scholar] [CrossRef]
- Svensson, K.; Rohdin, P.; Moshfegh, B. A computational parametric study on the development of confluent round jet arrays. Eur. J. Mech. B Fluids 2015, 53, 129–147. [Google Scholar] [CrossRef]
- Kabanshi, A.; Wigö, H.; Sandberg, M. Experimental evaluation of an intermittent air supply system—Part 1: Thermal comfort and ventilation efficiency measurements. Build. Environ. 2016, 95, 240–250. [Google Scholar] [CrossRef]
- Janbakhsh, S.; Moshfegh, B. Experimental investigation of a ventilation system based on wall confluent jets. Build. Environ. 2014, 80, 18–31. [Google Scholar] [CrossRef]
- Andersson, H.; Cehlin, M.; Moshfegh, B. Energy-Saving Measures in a Classroom Using Low Pressure Drop Ceiling Supply Device: A Field Study. In Proceedings of the 2016 ASHRAE Winter Conference, Orlando, FL, USA, 23–27 January 2016. [Google Scholar]
- Nielsen, P.V. Mathematical Models for Room Air Distribution. In System Simulation in Buildings, Proceedings of the International Conference, Liége, Belgium, 6–8 December 1982, 1st ed.; Commission of the European Communities, COMAC—BME: Liége, Belgium, 1982; Volume 1, pp. 455–470. [Google Scholar]
- Kabanshi, A.; Wigö, H.; Ljung, R.; Sörqvist, P. Experimental evaluation of an intermittent air supply system—Part 2: Occupant perception of thermal climate. Build. Environ. 2016, 108, 99–109. [Google Scholar] [CrossRef]
- Kabanshi, A.; Wigö, H.; Ljung, R.; Sörqvist, P. Human perception of room temperature and intermittent air jet cooling in a classroom. Indoor Built Environ. 2016, 26, 528–537. [Google Scholar] [CrossRef]
- Andersson, H. Numerical and Experimental Study of Confluent Jets Supply Device with Variable Airflow. Licenciate Thesis, University of Gävle, Gävle, Sweden, 9 May 2019. [Google Scholar]
- Cehlin, M.; Karimipanah, T.; Larsson, U.; Ameen, A. Comparing thermal comfort and air quality performance of two active chilled beam systems in an open-plan office. J. Build. Eng. 2019, 22, 56–65. [Google Scholar] [CrossRef]
- Kabanshi, A.; Ameen, A.; Yang, B.; Wigö, H.; Sandberg, M. Energy Simulation and Analysis of an Intermittent Ventilation System under Two Climates. In Proceedings of the 10th International Conference on Sustainable Energy & Environmental Protection, Bled, Slovenia, 27–30 June 2017. [Google Scholar]
- Ameen, A.; Choonya, G.; Cehlin, M. Experimental Evaluation of the Ventilation Effectiveness of Corner Stratum Ventilation in an Office Environment. Buildings 2019, 9, 169. [Google Scholar] [CrossRef]
- Ameen, A.; Cehlin, M.; Larsson, U.; Karimipanah, T. Experimental Investigation of the Ventilation Performance of Different Air Distribution Systems in an Office Environment—Cooling Mode. Energies 2019, 12, 1354. [Google Scholar] [CrossRef]
- Mattsson, M. On the Efficiency of Displacement Ventilation, with Particular Reference to the Influence of Human Physical Activity; University of Gävle: Gävle, Sweden, 1999. [Google Scholar]
- ISO 7730, Moderate Thermal Environment—Determination of the PMV and PPD Indices and Specification of the Conditions for Thermal Comfort; International Organization for Standardization: Geneve, Switzerland, 2005.
- ASHRAE Standard 129-1997 (RA 2002)—Measuring Air Change Effectiveness; ASHRAE: Atlanta, GA, USA, 2002.














| SJ | HMCJ | LMCJ | LMCJ-M | |
|---|---|---|---|---|
| Length of channel | - | 2 × 4 m | 2 × 4 m | 2 × 4 m |
| Diameter of channel [m] | - | 0.250 | 0.250 | 0.250 |
| Number of Nozzles | 4 (slots) | 2 × 1152 | 2 × 228 | 399 * |
| Diameter of Nozzles [m] | 4 × 0.6 × 0.02 | 0.005 | 0.028 | 0.028 ** |
| Total Inlet Area [m2] | 0.18 | 0.05 | 0.28 | 0.14 |
| Inlet Velocities [m/s] | ~0.6–1.6 | ~2.2–6.3 | ~0.4–1.0 | ~0.7–2.0 |
| Cases | Mannequins | Airflow Rate (L/s) | Heat Load (W/m2) | ACH (-) |
|---|---|---|---|---|
| Case 1–18 °C-15 L/(s⋅p)-10 p | 10 | 150 | 17 | 3.3 |
| Case 2–18 °C-15 L/(s⋅p)-19 p | 19 | 285 | 32 | 6.3 |
| Case 3–16 °C-10 L/(s⋅p)-10 p | 10 | 100 | 17 | 2.2 |
| Case 4–16 °C-10 L/(s⋅p)-19 p | 19 | 190 | 32 | 4.2 |
| Case 5–16 °C-10 L/(s⋅p)-28 p | 28 | 280 | 47 | 6.2 |
| Cases | SJ | HMCJ | LMCJ | LMCJ-M |
|---|---|---|---|---|
| Case 1–18 °C-15 L/(s⋅p)-10 p | 0.83 | 3.32 | 0.54 | 1.07 |
| Case 2–18 °C-15 L/(s⋅p)-19 p | 1.58 | 6.30 | 1.02 | 2.03 |
| Case 3–16 °C-10 L/(s⋅p)-10 p | 0.55 | 2.22 | 0.36 | 0.72 |
| Case 4–16 °C-10 L/(s⋅p)-19 p | 1.06 | 4.20 | 0.68 | 1.43 |
| Case 5–16 °C-10 L/(s⋅p)-28 p | 1.55 | 6.20 | 1.00 | 1.99 |
| Case 1 | Case 2 | Case 3 | Case 4 | Case 5 | Avg. | |
|---|---|---|---|---|---|---|
| HRE | ||||||
| SJ | 89% | 83% | 100% | 87% | 87% | 89% |
| HMCJ | 101% | 96% | 101% | 101% | 95% | 99% |
| LMCJ | 99% | 99% | 100% | 100% | 99% | 99% |
| ACE | ||||||
| SJ | 95% | 94% | 98% | 90% | 93% | 94% |
| HMCJ | 102% | 98% | 106% | 107% | 106% | 104% |
| LMCJ | 109% | 107% | 110% | 109% | 108% | 109% |
| ADPI | ||||||
| SJ | 96% | 100% | 88% | 100% | 96% | 96% |
| HMCJ | 92% | 96% | 88% | 92% | 92% | 90% |
| LMCJ | 92% | 96% | 88% | 88% | 96% | 91% |
| Case 1 | Case 2 | Case 3 | Case 4 | Case 5 | Avg. | |
|---|---|---|---|---|---|---|
| HRE | ||||||
| LMCJ | 99% | 99% | 100% | 100% | 99% | 99% |
| LMCJ-M | 104% | 109% | 103% | 105% | 108% | 106% |
| ACE | ||||||
| LMCJ | 109% | 107% | 110% | 109% | 108% | 109% |
| LMCJ-M | 108% | 109% | 105% | 112% | 110% | 109% |
| ADPI | ||||||
| LMCJ | 92% | 96% | 88% | 88% | 96% | 91% |
| LMCJ-M | 88% | 96% | 88% | 92% | 92% | 91% |
Publisher’s Note: MDPI stays neutral with regard to jurisdictional claims in published maps and institutional affiliations. |
© 2020 by the authors. Licensee MDPI, Basel, Switzerland. This article is an open access article distributed under the terms and conditions of the Creative Commons Attribution (CC BY) license (http://creativecommons.org/licenses/by/4.0/).
Share and Cite
Andersson, H.; Kabanshi, A.; Cehlin, M.; Moshfegh, B. On the Ventilation Performance of Low Momentum Confluent Jets Supply Device in a Classroom. Energies 2020, 13, 5415. https://doi.org/10.3390/en13205415
Andersson H, Kabanshi A, Cehlin M, Moshfegh B. On the Ventilation Performance of Low Momentum Confluent Jets Supply Device in a Classroom. Energies. 2020; 13(20):5415. https://doi.org/10.3390/en13205415
Chicago/Turabian StyleAndersson, Harald, Alan Kabanshi, Mathias Cehlin, and Bahram Moshfegh. 2020. "On the Ventilation Performance of Low Momentum Confluent Jets Supply Device in a Classroom" Energies 13, no. 20: 5415. https://doi.org/10.3390/en13205415
APA StyleAndersson, H., Kabanshi, A., Cehlin, M., & Moshfegh, B. (2020). On the Ventilation Performance of Low Momentum Confluent Jets Supply Device in a Classroom. Energies, 13(20), 5415. https://doi.org/10.3390/en13205415

