Energy Performance and Radial Force of Vertical Axis Darrieus Turbine for Ocean Energy
Abstract
1. Introduction
2. Numerical Methodology
2.1. Geometry and Computational Domain of Darrieus Turbine
2.2. Characteristic Parameter
2.3. Numerical Method
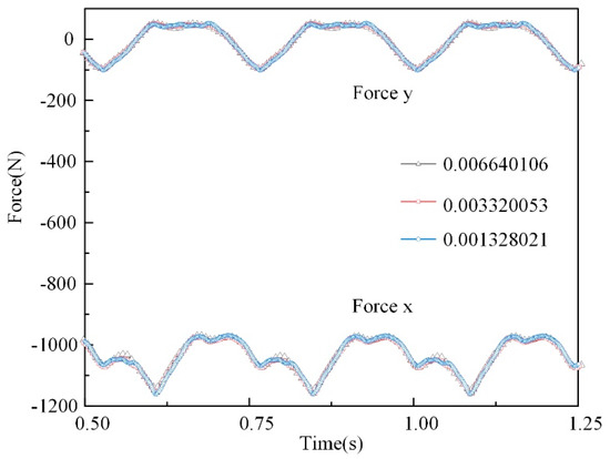
2.4. Independence Test of Mesh Number
2.5. Independence Test of Time Step
3. Result and Discussion
3.1. Validation of Numerical Simulations
3.2. Energy Performance
3.3. Vortex Analysis
3.3.1. Blade Tip Vortex
3.3.2. Blade Surface Vortex
3.3.3. Vorticity Transport Equation
3.4. Radial Force of Turbine
4. Conclusions
- (1)
- The power generation of a Darrieus turbine in a revolution is uneven due to the variable blade attack angle, and the power coefficient increases with the increase in the tip speed ratio λ.
- (2)
- There are two main vortices around the turbine including the blade tip vortex and blade surface vortex. The blade tip vortex increases with the increase in the tip speed ratio, which is mainly driven by RVS and CORF. The blade surface vortex is mainly related to the blade phase angle, and the intensity and volume of the vortex weaken as the blade tip speed ratio increases.
- (3)
- The radial force of a Darrieus turbine is symmetrical, which gradually increases with the increase in tip speed ratio because the vortex intensity and interaction increase.
Author Contributions
Funding
Conflicts of Interest
References
- Han, Y.; Tan, L. Dynamic mode decomposition and reconstruction of tip leakage vortex in a mixed flow pump as turbine at pump mode. Renew. Energy 2020, 155, 725–732. [Google Scholar] [CrossRef]
- Liu, M.; Tan, L.; Cao, S. Method of dynamic mode decomposition and reconstruction with application to a three-stage multiphase pump. Energy 2020, 208, 118343. [Google Scholar] [CrossRef]
- Guillaud, N.; Balarac, G.; Goncalves, E.; Zanette, J. Large Eddy Simulations on Vertical Axis Hydrokinetic Turbines -Power coefficient analysis for various solidities. Renew. Energy 2020, 147, 473–486. [Google Scholar] [CrossRef]
- Kiho, S.; Shiono, M.; Suzuki, K. The power generation from tidal currents by darrieus turbine. Renew. Energy 1996, 9, 1242–1245. [Google Scholar] [CrossRef]
- Daisuke, M.; Kusuo, O.; Satoshi, W.; Furukawa, A. Simplified Structure of Ducted Darrieus-Type Hydro Turbine with Narrow Intake for Extra-Low Head Hydropower Utilization. J. Fluid Sci. Technol. 2008, 3, 387–397. [Google Scholar]
- Dai, Y.M.; Lan, W.H. Numerical study of straight-bladed Darrieus-type tidal turbine. Energy 2009, 162, 67–76. [Google Scholar] [CrossRef]
- Furukawa, A.; Watanabe, S.; Matsushita, D.; Okuma, K. Development of ducted Darrieus turbine for low head hydropower utilization. Curr. Appl. Phys. 2010, 10, S128–S132. [Google Scholar] [CrossRef]
- Furukawa, A.; Watanabe, S.; Okuma, K. Research on Darrieus-type hydraulic turbine for extra-low head hydropower utilization. IOP Conf. Ser. Earth Environ. Sci. 2012, 15, 2003. [Google Scholar] [CrossRef]
- Shimokawa, K.; Furukawa, A.; Okuma, K.; Matsushita, D.; Watanabe, S. Experimental study on simplification of Darrieus-type hydro turbine with inlet nozzle for extra-low head hydropower utilization. Renew. Energy 2012, 41, 376–382. [Google Scholar] [CrossRef]
- Benzerdjeb, A.; Abed, B.; Achache, H.; Hamidou, M.K.; Gorlov, A.M. Experimental study on blade pitch angle effect on the performance of a three-bladed vertical-axis Darrieus hydro turbine. Int. J. Energy Res. 2019, 43, 2123–2134. [Google Scholar] [CrossRef]
- Roa, A.M.; Aumelas, V.; MaîTre, T.; Pellone, C. Numerical and experimental analysis of a darrieus-type cross flow water turbine in bare and shrouded configurations. IOP Conf. Ser. Earth Environ. Sci. 2010, 12, 012113. [Google Scholar] [CrossRef]
- Zhen, L.; Hengliang, Q.; Hongda, S. Numerical Study on Self-Starting Performance of Darrieus Vertical Axis Turbine for Tidal Stream Energy Conversion. Energies 2016, 9, 789. [Google Scholar]
- Marsh, P.; Ranmuthugala, D.; Penesis, I.; Thomas, G. Numerical investigation of the influence of blade helicity on the performance characteristics of vertical axis tidal turbines. Renew. Energy 2015, 81, 926–935. [Google Scholar] [CrossRef]
- Marsh, P.; Ranmuthugala, D.; Penesis, I.; Thomas, G. Numerical simulation of the loading characteristics of straight and helical-bladed vertical axis tidal turbines. Renew. Energy 2016, 94, 418–428. [Google Scholar] [CrossRef][Green Version]
- Marsh, P.; Ranmuthugala, D.; Penesis, I.; Thomas, G. Three-dimensional numerical simulations of straight-bladed vertical axis tidal turbines investigating power output, torque ripple and mounting forces. Renew. Energy 2015, 83, 67–77. [Google Scholar] [CrossRef]
- Khanjanpour, M.H.; Javadi, A.A. Experimental and CFD Analysis of Impact of Surface Roughness on Hydrodynamic Performance of a Darrieus Hydro (DH) Turbine. Energies 2020, 13, 928. [Google Scholar] [CrossRef]
- Maganga, F.; Germain, G.; King, J.; Pinon, G.; Rivoalen, E. Experimental characterisation of flow effects on marine current turbine behaviour and on its wake properties. IET Renew. Power Gener. 2010, 4, 498–509. [Google Scholar] [CrossRef]
- Mercier, G.; Maitre, T.; Pellone, C. Experimental caracterization of the wake of a cross flow water turbine with LDV measurement. In Proceedings of the 17th International Symposium on Apllications of Laser Techniques to Fluid Mechanics, Lisbon, Portugal, 7–10 July 2014. [Google Scholar]
- Li, Y.; Calisal, S.M. Three-dimensional effects and arm effects on modeling a vertical axis tidal current turbine. Renew. Energy 2010, 35, 2325–2334. [Google Scholar] [CrossRef]
- Gorle, J.M.; Chatellier, L.; Pons, F.; Ba, M. Flow and Performance analysis of H-Darrieus hydro turbine in a confined flow: A computational and experimental study. J. Fluids Struct. 2016, 66, 382–402. [Google Scholar] [CrossRef]
- Ouro, P.; Stoesser, T. An immersed boundary-based large-eddy simulation approach to predict the performance of vertical axis tidal turbines. Comput. Fluids 2017, 152, 74–87. [Google Scholar] [CrossRef]
- Ouro, P.; Runge, S.; Luo, Q.; Stoesser, T. Three-dimensionality of the wake recovery behind a vertical axis turbine. Renew. Energy 2019, 133, 1066–1077. [Google Scholar] [CrossRef]
- Pellone, C.; Maître, T.; Amet, E. 3D RANS modeling of a cross flow water turbine. In Proceedings of the Symhydro, New Trends in Simulation—Hydroinformatics and 3D Modeling, Singapore, 12–14 September 2012. [Google Scholar]
- Matre, T.; Amet, E.; Pellone, C. Modeling of the flow in a Darrieus water tutbine: Wall grid refinement and comparison with experiments. Renew. Energy 2013, 51, 497–512. [Google Scholar] [CrossRef]
- Marsh, P.; Ranmuthugala, D.; Penesis, I.; Thomas, G. The influence of turbulence model and two and three-dimensional domain selection on the simulated performance characteristics of vertical axis tidal turbines. Renew. Energy 2017, 105, 106–116. [Google Scholar] [CrossRef]
- Mejia, O.D.L.; Quiñones, J.J.; Laín, S. RANS and hybrid RANS-LES simulations of an H-type darrieus vertical axis water turbine. Energies 2018, 11, 2348. [Google Scholar] [CrossRef]
- Laín, S.; Cortes, P.; Lopez, O.D. Numerical Simulation of the Flow around a Straight Blade Darrieus Water Turbine. Energies 2020, 13, 27. [Google Scholar] [CrossRef]
- Hao, Y.; Tan, L. Symmetrical and unsymmetrical tip clearances on cavitation performance and radial force of a mixed flow pump as turbine at pump mode. Renew. Energy 2018, 127, 368–376. [Google Scholar] [CrossRef]
- Paraschivoiu, I. Wind Turbine Design with Emphasis on Darrieus Concept; Polytechnic International Press: Montreal, QC, Canada, 2002. [Google Scholar]
- Scheurich, F.; Fletcher, T.M.; Brown, R. Simulating the aerodynamic performance and wake dynamics of a vertical-axis wind turbine. Wind Energy 2010, 14, 159–177. [Google Scholar] [CrossRef]
- Huang, R.; Ji, B.; Luo, X.; Zhai, Z.; Zhou, J. Numerical investigation of cavitation-vortex interaction in a mixed-flow waterjet pump. J. Mech. Sci. Technol. 2015, 29, 3707–3716. [Google Scholar] [CrossRef]
- Sun, W.; Tan, L. Cavitation-Vortex-Pressure Fluctuation Interaction in a Centrifugal Pump Using Bubble Rotation Modified Cavitation Model Under Partial Load. J. Fluids Eng. 2020, 142, 051206. [Google Scholar] [CrossRef]
- Liu, Y.; Tan, L. Tip clearance on pressure fluctuation intensity and vortex characteristic of a mixed flow pump as turbine at pump mode. Renew. Energy 2018, 129, 606–615. [Google Scholar] [CrossRef]
















Publisher’s Note: MDPI stays neutral with regard to jurisdictional claims in published maps and institutional affiliations. |
© 2020 by the authors. Licensee MDPI, Basel, Switzerland. This article is an open access article distributed under the terms and conditions of the Creative Commons Attribution (CC BY) license (http://creativecommons.org/licenses/by/4.0/).
Share and Cite
Zhang, R.; Huang, Z.; Tan, L.; Wang, Y.; Wang, E. Energy Performance and Radial Force of Vertical Axis Darrieus Turbine for Ocean Energy. Energies 2020, 13, 5412. https://doi.org/10.3390/en13205412
Zhang R, Huang Z, Tan L, Wang Y, Wang E. Energy Performance and Radial Force of Vertical Axis Darrieus Turbine for Ocean Energy. Energies. 2020; 13(20):5412. https://doi.org/10.3390/en13205412
Chicago/Turabian StyleZhang, Runqiang, Zhenwei Huang, Lei Tan, Yuchuan Wang, and Erqi Wang. 2020. "Energy Performance and Radial Force of Vertical Axis Darrieus Turbine for Ocean Energy" Energies 13, no. 20: 5412. https://doi.org/10.3390/en13205412
APA StyleZhang, R., Huang, Z., Tan, L., Wang, Y., & Wang, E. (2020). Energy Performance and Radial Force of Vertical Axis Darrieus Turbine for Ocean Energy. Energies, 13(20), 5412. https://doi.org/10.3390/en13205412

