Next Article in Journal
Life Cycle Assessment of Electricity Generation from an Array of Subsea Tidal Kite Prototypes
Previous Article in Journal
Energetic and Environmental Aspects of Individual Heat Generation for Sustainable Development at a Local Scale—A Case Study from Poland
 
 
Font Type:
Arial Georgia Verdana
Font Size:
Aa Aa Aa
Line Spacing:
Column Width:
Background:
Article

Relaxor Phase Evolution of (Bi0.5Na0.5-xKx)TiO3 Ceramics due to K Ion Substitution and Their Corresponding Electrical Properties

1
Department of Physics, Research Institute of Physics and Chemistry, Jeonbuk National University, Jeonju 54896, Korea
2
School of Materials Science and Engineering, Chonnam National University, Gwangju 61186, Korea
3
Thin Film Materials Research Center, Korea Research Institute of Chemical Technology (KRICT), Daejeon 34114, Korea
4
Department of Energy Conversion and Storage, Technical University of Denmark, 2800 Kgs. Lyngby, Denmark
5
Department of Materials Science and Engineering, University of Wisconsin-Madison, Madison, WI 53706, USA
*
Author to whom correspondence should be addressed.
Energies 2020, 13(2), 455; https://doi.org/10.3390/en13020455
Submission received: 24 November 2019 / Revised: 9 January 2020 / Accepted: 15 January 2020 / Published: 17 January 2020
(This article belongs to the Section B: Energy and Environment)

Abstract

We synthesized lead-free piezoelectric (Bi0.5Na0.5-xKx)TiO3 (BNKT) ceramics using a conventional solid-state reaction method. We have investigated the structural and electrical properties of the materials with x = 0.05 to 0.40. The X-ray diffraction (XRD) analysis suggests that the BNKT ceramics show the transition from rhombohedral to tetragonal structure. The ratio of the tetragonal structure increased continuously in accordance with the increasing composition of x. The sample of x = 0.10 showed a similar ratio between the tetragonal and rhombohedral structures. Frequency-dependent dielectric measurements showed a sort of relaxor properties emerged with increasing x composition, this effect may be interpreted in terms of the formation of polar nano-regions (PNRs) in samples. The value of remnant polarization (Pr) decreases rapidly as x increases beyond the point of x = 0.10 from 25.3 μC/cm2 to 5.9 μC/cm2. On the contrary, as for inverse piezoelectric coefficient (d33*), a higher value of d33* (336 pm/V) at x = 0.10, was observed when compared with x = 0.05 (d33* = 51 pm/V). These results can be explained by the formation of PNRs and their variations with the external applied field. We here propose a possible mechanism showing the effects of dipolar defects, which can be resulted from the K ion substitution on (Bi,Na)TiO3 (BNT) ceramics.

1. Introduction

Piezoelectric materials have a property where, when under mechanical stress, they produce electric potential energy and vice versa. These materials are widely used in various applications, such as sensors, nanopositioners, actuators, ultrasonic motors, fuel injectors, and nanogenerators [1,2]. To date, the piezoelectric material Pb(Zr,Ti)O3 (PZT) has been mostly employed in commercial applications, such as in actuator modules to be mounted on micro-electro-mechanical-system (MEMS) and in cameras/microscope lenses. However, PZT is a lead-based piezoelectric and thereby, causes serious problems in the environment and the human body. Thereby, many studies, searching for the alternatives to PZT, have been in progress. Ferroelectric/piezoelectric materials that have perovskite structure, such as (Bi,Na)TiO3 (BNT) and (K,Na)NbO3 (KNN)-based ceramics, have been investigated as possibilities as alternatives for PZT (in specific applications) [3,4].
In particular, the characteristic of a large strain induced by an external electric field in BNT-based ceramics has been spotlighted recently [3,5]. Since the possible presence of an antiferroelectric phase in (Bi,Na)TiO3-BaTiO3 (BNT-BT) systems has been reported [6], the cause of such a large strain has been suggested as being attributable to an antiferroelectric-to-ferroelectric transition. However, subsequent studies [7,8] have identified comprehensively that its paraelectric phase would be ascribable to a relaxor phase, more specifically, the ergodic state of a relaxor ferroelectric (ER). In addition, the large strain of BNT-based ceramics can result in the double polarization hysteresis. The large strain might be due to their structural evolution process induced by an external electric field. In the processes, the initial ER is the paraelectric phase, and it can transit to the ferroelectric phase by an external electric field. After the external electric field is removed, it returns to the initial paraelectric phase. Based on all these processes, a double polarization hysteresis can be observed. Furthermore, the relaxor phase, which is typically counted as a normal ferroelectric, was distinguished as the non-ergodic state of a relaxor ferroelectric (NR).
Looking at the above in further detail [9], the relaxor ferroelectrics become a paraelectric phase of the cubic crystalline structure at high temperature. As temperature decreases, electrical dipoles are formed at a temperature below the Burns temperature, and consequently becomes an ER showing an increase in electric permittivity. This characteristic of ER results from the interaction between electrical dipoles and thermal energy. As temperature decreases further, the level of thermal energy decreases steadily while the density of electrical dipoles increases continuously, thereby polar nano regions (PNRs) are formed due to an increase in correlation between electrical dipoles. It is well known that a frequency dependence on the dielectric constant apparently appears when PNRs are formed, and an NR is formed below the Vogel–Fulcher temperature. The significant differences between an ER and NR are as follows: (1) one is an NR transition into an irreversible ferroelectric phase with the release of external electric field, (2) the other is an ER easy transition into a ferroelectric phase with the release of external electric field beyond a specific level due to the dynamic characteristics of PNRs, and (3) in contrast to an NR, we note the ER returns to its initial state after the removal of the external electric field [10]. The ER causes a large strain while under an external electric field, as such previous studies have investigated how to change the characteristics of PNRs by using various dopants [11,12]. In this regard, more detailed studies have been conducted on the electric field-induced domain evolutions and phase transitions in BNT-based materials [13,14].
In this paper, we investigate how the relaxor phase evolution varies according to changes in composition by fabricating (Bi0.5Na0.5-xKx)TiO3 (BNKT) ceramics, which forms by substituting an A-site ion with a K ion in the BNT structure. We present how the ferro- and piezoelectric characteristics vary according to the composition of x. We also propose and discuss a plausible model on the domain structure of our BNKT ceramics.

2. Materials and Methods

The (Bi0.5Na0.5-xKx)TiO3 (BNKT) ceramics were fabricated by a conventional solid-solution reaction method [15]. As starting materials, Bi2O3 (99.9%, Sigma–Aldrich, St Louis, USA), Na2CO3 (99.9%, Sigma–Aldrich, St Louis, USA), K2CO3 (99.9%, Sigma–Aldrich, St Louis, USA) and TiO2 (99.9%, Sigma–Aldrich, St Louis, USA) were weighted by the stoichiometric ratio of ((Bi0.5Na0.5-xKx)TiO3. After weighing, the wet milling process was carried out for 20 h in ethanol with zirconia balls, and then the material was dried in an electric oven at 120 °C. The dried powder was calcined in a muffle furnace at 850 °C for 2 h. As a binder, a polyvinyl alcohol (PVA) solution (5 wt%) was added to the crushed fine powder that was prepared in an alumina mortar. The specimens were dried and crushed before they were sieved with a sieve of 100 μm size. The fine powders were then made into pellets with a diameter of 10 mm. After that, they were covered with the calcined powder to prevent bismuth evaporation and to avoid the pellets sticking to the alumina plate before they were finally sintered at 1050–1150 °C for 2 h. During the sintering processes, the melting of the BNKT pellets with various x components was observed, and we recorded the melting temperature, as shown in Figure 1. We guessed the cause of this melting might be related to the BKT melting point of 1050 °C. Due to this, we had to find out the optimum sintering temperatures for all the compositions.
The SEM image of BNKT ceramics shows square-like grains with the size of a few microns (Figure 2a). The measured density ( ρ ) ranges from 4.9 to 6.1 g/cm3, and it tends to decrease with increasing the x composition (Figure 2b). The apparent density was calculated by the following equation:
ρ = W d r y W s a t W s u b × ρ
where W d r y is the weight of dry sample and Wsat is the weight of saturated sample and Wsub is the weight of the submerged sample, and ρ is the density of water. These results are consistent with previous studies [16].
The sintered specimens were polished to a thickness of 0.5 mm. To make electrodes, both sides of the pellets were covered with silver paste. The crystal structure of the synthesized ceramics was investigated by X-ray Diffraction (XRD) (Rigaku-RINT-2000, Tokyo, Japan) with Cu Kα radiation (X-ray source) using equipment installed in the Center for University Research Facility (CURF) at the Jeonbuk National University. The measurements were made at 40 kV and 30 mA with a step size of 0.01°. The polarization–electric field (P-E), current–electric field (I-E) and strain–electric field (S-E) were measured by using a Piezoelectric Evaluation System (PES) (aixACCT, Aachen, Germany) consisting of a T-F analyzer 2000 (aixACCT, Aachen, Germany) and a high voltage power supply (Trek 610E, New York, NY, USA) at room temperature. The electromechanical measurements were done with a frequency of 10 Hz. Temperature dependence of dielectric constant (εr) and loss tangent (tanδ) was measured at from room temperature to 500 °C with a frequency of 1, 10, and 100 kHz by using an impedance analyzer (Agilent 4294A, Bayan, Malaysia).

3. Results

Figure 3 depicts the XRD measurements of BNKT ceramics taken at room temperature. It shows the (Bi,Na)TiO3 (BNT) structure (JCPDS no. 00-036-0340) and (Bi,K)TiO3 (BKT) structure (JCPDS no. 00-036-0339) with compositions in the range of x = 0.05–0.40 (Figure 3a) [17]. The secondary phases, known to be found in the (Bi,Na,K)TiO3 system, such as BiNaTi6O14, K4Ti3O8, K2Ti8O17 and (Na,K)2Ti6O13 [18,19], were not observed in our BNKT ceramics.
The results of the XRD measurements showed a peak change from the (003)R/(021)R peak found around 40.0° to a (111)T peak found around 39.5° as the composition of x increased (Figure 3b). In addition, the (202)R peak identified around 46.5° changed to a (200)T peak identified around 46.0°, together with the formation of a (002)T peak identified around 45.0° (Figure 3c). Such results suggest the rhombohedral (R) structure turns into a tetragonal (T) structure as the composition of x increases. To identify the structural change in more detail, the (002)T, (200)T, and (202)R peaks in the range of 44° to 48° were separated (Figure 4a–c). The percentage of tetragonal structure (VT) in the separated peaks is calculated via the following equation (2) [20]:
V T   ( % )   =   [ I ( 002 ) T   +   I ( 200 ) T ]   /   [ I ( 002 ) T   +   I ( 200 ) T   +   I ( 202 ) R ]   × 100
where I is the peak intensity of the tetragonal or rhombohedral structure.
The results of the calculation of VT are shown in Figure 4d. The ratio of the tetragonal structure increased continuously in accordance with increasing composition of x. What was noticeable was the coexistence of the tetragonal structure and rhombohedral structure in similar ratios when VT = 57% at x = 0.10.
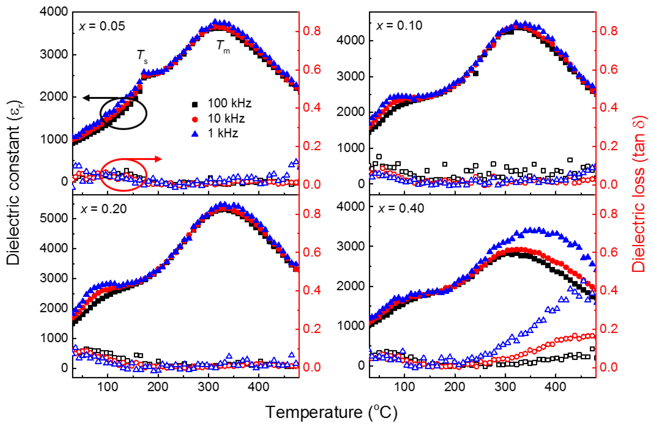
Temperature-dependent dielectric constant (εr) and loss tangent ( tan δ ) of the BNKT ceramics for frequencies of 1, 10, and 100 kHz are shown in Figure 5. Two characteristic peaks could be identified in all specimens; the frequency-dispersive shoulder (Ts) was seen from a relatively lower temperature, and the diffuse peak (Tm) was identified from a relatively higher temperature, which are characteristics of relaxor ferroelectrics. The Ts is known to arise from two events, both the depolarization (Td) and the ferroelectric-relaxor transition (Tf–r), which are thermally induced [21]. In the case of temperature rising further, rhombohedral R3c PNRs that change into tetragonal P4bm PNRs, a high temperature anomaly at Tm, have been known to occur [8,22]. This phenomena can be explained using a relaxor model assuming a two-phase mixture that is comprises the polar rhombohedral R3c clusters dispersed in the weakly polar or tetragonal P4bm matrix [8].
We here note that, for x = 0.05, the Ts peak appeared at around 170 °C, and it tended to shift at around 80 °C as the composition of x increased (For x ≥ 0.10, the Ts points are assumed to be the same as the inflection point of the dielectric dispersion). This suggests that an increase in the composition of x is closely associated with a decrease in Ts. Previous studies have identified that the shift of Tf–r together with the attainment of composition-induced large strain occurs through structural changes, such as changes in composition and/or doping. Therefore, they suggested an electric field-induced ER-to-ferroelectric transition occurring near Tf–r as the cause of large strain [5,23].
Figure 6 shows the measurements of polarization (P), current (I), and strain (S) for BNKT ceramics under 10 Hz at room temperature. For the specimen of x = 0.05, the typical shape P-E hysteresis loops from ferroelectrics could be seen together with respective values for remnant polarization (Pr), coercive field (Ec) and maximum polarization (Pmax) of 25.3 μC/cm2, 44 kV/cm, and 29.6 μC/cm2, respectively. However, the pinch-type P-E loops appeared in accordance with increasing x. Thereby the values of Pr and Ec tended to become relatively lower compared to the specimen with x = 0.05. However, Pmax remained roughly the same. The decrease in values of Pr and Ec is consistent with that reported by Iqbal et al. [24], which may be a result of a disruption of long-range ferroelectric ordering.
The two peaks, distinguished into P1 and P2, are shown in the I-E loops of Figure 6. For x = 0.05, the strong current peak appeared in the position of P1, which coincided with the position of Ec. Thus, P1 is the peak associated with the switching of ferroelectric polarization that is found in the typical ferroelectrics. By considering the results of temperature-dependent dielectric properties measurement, mentioned above, these results suggest the presence of PNRs inside the ferroelectric domains. In addition, Xu et al. [25] suggested the supporting results. They showed that the PNRs with [110]-type polarizations could be embedded in the [111]-polarized oriented relaxor Pb(Zn1/3Nb2/3)O3 single crystal. Thereafter, the P1 peak of the specimen x = 0.10 shifts to either a low electric field or near zero field and has a value different from Ec. Together with this, the PNRs can be arranged and can be formed into a long-range ferroelectric order, so P2 can appear in accordance with increasing the external electric field. That is, it can make a transition from a weakly polar (relaxor ferroelectric phase) to polar phases (ferroelectric phase) by the external electric field [18]. These results suggest a NR (x = 0.05) changes into an ER (x = 0.10) in accordance with increasing composition of x.
S-E loops showed the strain according to an electric field (we here measured by using bipolar cycle). The inverse piezoelectric coefficient (d33* = (SmaxSneg)/Emax, units of pm/V) can be calculated through this. In the specimen x = 0.05, the S–E loop showed a classical butterfly-shaped curve. However, in compositions beyond x = 0.10, it exhibited a sprout-shaped and asymmetric curves. By taking account of the experimental results mentioned above, for a composition beyond x = 0.10 suggests the ER, usually found at high temperature, might be induced at room temperature. In this context, studies focusing on the characteristics of PNRs are in progress by many researchers by using various dopants in relaxor ferroelectrics [8,12]. From such a standpoint, we can see that BNKT system can be constructed by the substitution of potassium (K) for A-site ions (Bi, Na) in a relaxor ferroelectric BNT, and this line of thinking fits well with the results of studies suggesting that pure BNT is not a typical ferroelectric but a relaxor ferroelectric [8].
In the meantime, a negative strain (Sneg) represented the volumetric shrinkage due to an external electric field, and generally, it had the highest value at the point Ec, whereon the domain switching of ferroelectrics occurred. Thereafter, Sneg decreased continuously with the decrease in the electric field (without an external electric field in the opposite direction). This suggests that Sneg originates from remnant polarization. Characteristically, the maximum value of d33* is observed at the point where the value of Pr decreases rapidly (Figure 7). Considering the motion of actuators in connection with this, actuators actually used in practice work on a unipolar cycle. Thereby, the deformation used in actuator applications can be obtained simply from the difference between the maximum strain (Smax) and Sneg. Therefore, piezoelectric characteristics are improved with increasing values of Sneg, whereas the value of strain (the value associated with the value of d33*) is decreased somewhat. That is, the improvement in strain and piezoelectric characteristics are a trade-off [26]. The values of Sneg decreased rapidly from 0.08% (x = 0.05) to 0.02% (x = 0.10). After that, it was maintained at about 0.01% (Figure 7). This reduction in Sneg may suggest the performance improvement in piezoelectric actuator applications (in other words, in the device wise, the operating performance of the actuator may be estimated by d33*).
To see the variation of P-E hysteresis loops with applied electric fields, we measured the P-E hysteresis loops. Figure 8 shows the P-E hysteresis loops according to an external electric field, measured for x = 0.05 and x = 0.10. Figure 8a shows the shape of a typical ferroelectric hysteresis loop with large values of Pr, Ec, and Pmax at 70 kV/cm. It can be seen that wide increasing width in the increasing Pr and Ec became narrow at saturation point, which is a similar trend to that reported for BNT-based materials and is close to the characteristics seen for pure BNT [27]. In Figure 8b, the loop had low Pr (5.9 μC/cm2) and Ec (8.7 kV/cm) but still had high Pmax (35.6 μC/cm2) at 70 kV/cm. In addition, as we can see, the width was narrow.
Based on Figure 8, the change in Pmax and Pr in accordance with the composition of x can be summarized as follows; the value of Pr decreased rapidly as x increased beyond the point of x = 0.10. On the contrary, Pmax remained nearly constant in the range 28.0 to 30.2 μC/cm2 for all compositions except for the x = 0.10 (35.8 μC/cm2) that had the highest value of Pmax. According to the equation W = P r P m a x E d P , the difference between Pmax and Pr (denoted as PmaxPr) is related to the energy-storage density ( W ). It suggests that our sample of x = 0.10 is a particularly promising material for use in capacitor devices as the value of PmaxPr was 28.3 µC/cm2 [28], even though ER often have high power losses, which limit their use in application, such as the higher electric field. Furthermore, a higher value of d33* (336 pm/V) was achieved at x = 0.10. We note that the inverse piezoelectric response was improved about 6.6 times compared with x = 0.05 (d33* = 51 pm/V).
Here we propose a possible mechanism showing the formation of PNRs and their variations with the external applied field. Figure 9 shows a diagram illustrating the process of the formation of PNRs according to an external electric field for x = 0.05 (NR) and x = 0.10 (ER). The formation of PNRs at x = 0.05 was possible as its phase was an NR at room temperature [9]. In its initial state (S0), the directions of polarizations in the ferroelectric (FE) domains mostly cancel each other out, and the total polarization becomes 0, and PNRs are with the FE domains. It is well known that PNRs in BNT-based samples coexist with rhombohedral R3c and tetragonal P4bm structures [8,22]. In addition, the free energy between coexisting R3c and P4bm PNRs is so small. This makes it relatively easy for the interconversion between them [8]. In accordance with an increase in external electric field, PNRs, having a weak polarization alignment with coexistence of rhombohedral and tetragonal structure, we denoted S1 at the point P1 (see Figure 6), thereby the total amount of polarization will increase after the initiation of arrangement of the FE domains along the direction of the external electric field. Thereafter, the value of polarization reached its peak (S2) at the maximum electric field (Emax) due to the arrangement of the FE domain and PNRs along the directions of the electric field. And then, PNRs were randomly aligned as in the initial state, and the polarization disappeared after the removal of the external electric field, but the residual dielectric polarization (Pr) of the FE domain remained (S3). Thus, this material exhibited similar behaviors to those seen in typical ferroelectrics. On the other hand, for x = 0.10, there was no polarization at the initial state (S0), and it had an ER at room temperature. Based on the above discussions, we assume that the initial state was a mixed state of paraelectric and PNRs. In other words, the NR had PNRs in the state of the ferroelectric phase, and the ER had PNRs in the state of the paraelectric phase. Along with an increase in the external electric field, there was polarization along the direction of the external electric field (S1) seen from P2 (see Figure 6). Thereafter, PNRs represented the peak value (S2) at Emax by their arrangement along the electric field direction. PNRs were randomly aligned, and polarization disappeared after the removal of the external electric field, and the material returned to its initial state (Polarization 0) (S3).
Let us consider the origin of the PNRs from these results in our ceramics. Ion substitution in relaxor BNT material is one of the most probable causes. That is, the distortion in the lattice structure due to the difference in ionic radius of A-site ions can induce the formation of PNRs. As a result, PNRs are an inherent property of relaxor ferroelectrics. Furthermore, there should exist a sort of lack of sites of A-site ions and oxygens, which can be formed during the sintering process at high temperature. This nonstoichiometric oxygen-deficiency is practically always observed in oxygen-octahedral ferroelectrics. A-site vacancies, caused by the high volatility of Bi3+, and alkaline earth metal, Na+ and K+, have been known to induce the distortion of the lattice structure by diminishing interactions between A-site cations and oxygen-octahedral [29]. Recently, experimental studies [28] in acceptor-doped relaxor ferroelectrics have also theorized about the use of complexes of acceptor ions and induced oxygen vacancies, called dipolar defects. It is not clearly established yet.
Thus, we note that it is important to suggest the effects of the interactions between domain motion and space charges, such as vacancies, impurities, and charged defects. Together with this, by taking account of the results of our XRD measurements, we can say that the transition from rhombohedral to tetragonal structure occurs due to the substitution of the K ion. In the process of transition, the ER at room temperature can be induced at the point where ratios of rhombohedral and tetragonal structures become similar. Thus, large strain can manifest itself even at room temperature. Thus, we present the complexes of acceptor ions and induced oxygen vacancies as one of the origins of this large strain seen in our investigated specimen.

Author Contributions

S.Y.C. and E.-Y.K. designed the experiments, analyzed the data, and wrote the paper (equal contribution). S.Y.K., T.L.P., J.K.H., D.S.S., and H.-K.J. performed experimental measurements, and K.-S.A., J.-S.L., J.L., and S.D.B. analyzed the data. S.D.B. conceived the main idea and supervised the manuscript preparation. All authors have read and agreed to the published version of the manuscript.

Funding

This research was supported by the Research Base Construction Fund Support Program funded by the Jeonbuk National University in 2019, and by the National Research Foundation of Korea (NRF) grant funded by the Korea government (MSIT) (No. NRF-2018R1A2B6006740 (S.D.B.) and No. NRF-2018R1A5A1025224 (J.-S.L.), and by a cooperation project of SI1803-01 (Development of smart chemical materials for IoT devices) by the Korea Research Institute of Chemical Technology (KRICT).

Conflicts of Interest

The authors declare no conflict of interest.

References

  1. Fan, F.R.; Tang, W.; Wang, Z.L. Flexible nanogenerators for energy harvesting and self-powered electronics. Adv. Mater. 2016, 28, 4283–4305. [Google Scholar] [CrossRef]
  2. Kim, B.H.; Yang, S.A.; Kang, S.W.; Choi, G.P.; Cho, S.Y.; Han, J.K.; Lee, G.J.; Lee, M.G.; Seog, H.J.; Kim, I.W.; et al. Change of electrical properties of (K0.5Na0.5)-(Mn0.005Nb0.995)O3 thin films induced by gamma-ray irradiation. Curr. Appl. Phys. 2016, 16, 539–544. [Google Scholar] [CrossRef]
  3. Zhang, S.T.; Kounga, A.B.; Aulbach, E. Giant strain in lead-free piezoceramics Bi0.5Na0.5TiO3-BaTiO3-K0.5Na0.5NbO3 system. Appl. Phys. Lett. 2007, 91, 112906. [Google Scholar] [CrossRef]
  4. Saito, Y.; Takao, H.; Tani, T.; Nonoyama, T.; Takatori, K.; Homma, T.; Nagaya, T.; Nakamura, M. Lead-free piezoceramics. Nature 2004, 432, 84–87. [Google Scholar] [CrossRef] [PubMed]
  5. Yin, J.; Zhao, C.; Zhang, Y.; Wu, J. Ultrahigh strain in site engineering-independent Bi0.5Na0.5TiO3-based relaxor-ferroelectrics. Acta Mater. 2018, 147, 70–77. [Google Scholar] [CrossRef]
  6. Takenaka, T.; Maruyama, K.I.; Sakata, K. (Bi1/2Na1/2) TiO3-BaTiO3 system for lead-free piezoelectric ceramics. Jpn. J. Appl. Phys. 1991, 30, 2236–2239. [Google Scholar] [CrossRef]
  7. Glazounov, A.E.; Tagantsev, A.K.; Bell, A.J. Evidence for domain-type dynamics in the ergodic phase of the PbMg1/3Nb2/3O3 relaxor ferroelectric. Phys. Rev. B 1996, 53, 11281–11284. [Google Scholar] [CrossRef]
  8. Jo, W.; Schaab, S.; Sapper, E.; Schmitt, L.A.; Kleebe, H.J.; Bell, A.J.; Rödel, J. On the phase identity and its thermal evolution of lead free (Bi1/2Na1/2) TiO3-6 mol% BaTiO3. J. Appl. Phys. 2011, 110, 074106. [Google Scholar] [CrossRef]
  9. Jo, W.; Dittmer, R.; Acosta, M.; Zang, J.; Groh, C.; Sapper, E.; Wang, K.; Rödel, J. Giant electric-field-induced strains in lead-free ceramics for actuator applications-Status and perspective. J. Electroceram. 2012, 29, 71–93. [Google Scholar] [CrossRef]
  10. Schaab, S.; Granzow, T. Temperature dependent switching mechanism of (Pb0.92La0.08) (Zr0.65Ti0.35) O3 investigated by small and large signal measurements. Appl. Phys. Lett. 2010, 97, 132902. [Google Scholar] [CrossRef]
  11. Jo, W.; Erdem, E.; Eichel, R.A.; Glaum, J.; Granzow, T.; Damjanovic, D.; Rödel, J. Effect of Nb-donor and Fe-acceptor dopants in (Bi1/2Na1/2) TiO3–BaTiO3–(K0.5Na0.5) NbO3. J. Appl. Phys. 2010, 108, 014110. [Google Scholar] [CrossRef]
  12. Wu, L.; Shen, B.; Hu, Q.; Chen, J.; Wang, Y.; Xia, Y.; Yin, J.; Liu, Z. Giant electromechanical strain response in lead-free SrTiO3-doped (Bi0.5Na0.5TiO3–BaTiO3)–LiNbO3 piezoelectric ceramics. J. Am. Ceram. Soc. 2017, 100, 4670–4679. [Google Scholar] [CrossRef]
  13. Liu, X.; Tan, X. Giant Strains in Non-Textured (Bi1/2Na1/2) TiO3-Based Lead-Free Ceramics. Adv. Mater. 2016, 28, 574–578. [Google Scholar] [CrossRef] [PubMed]
  14. Ma, C.; Guo, H.; Beckman, S.P.; Tan, X. Creation and Destruction of Morphotropic Phase Boundaries through Electrical Poling: A Case Study of Lead-Free (Bi1/2Na1/2) TiO3-BaTiO3 Piezoelectrics. Phys. Rev. Lett. 2012, 109, 107602. [Google Scholar] [CrossRef] [PubMed]
  15. Cho, S.Y.; Choi, G.P.; Kim, E.Y.; Lee, G.J.; Lee, M.K.; Bu, S.D. Gamma-ray irradiation effects on electrical properties of bismuth layer-structured ferroelectric ceramics. Ceram. Int. 2017, 43, 15694–15698. [Google Scholar] [CrossRef]
  16. Zhang, Y.R.; Li, J.F.; Zhang, B.P.; Peng, C.E. Piezoelectric and ferroelectric properties of Bi-compensated (Bi1/2Na1/2) TiO3-(Bi1/2K1/2) TiO3 lead-free piezoelectric ceramics. J. Appl. Phys. 2008, 103, 074109. [Google Scholar] [CrossRef]
  17. Yang, Z.; Liu, B.; Wei, L.; Hou, Y. Structure and electrical properties of (1-x) Bi0.5Na0.5TiO3–xBi0.5K0.5TiO3 ceramics near morphotropic phase boundary. Mater. Res. Bull. 2008, 43, 81–89. [Google Scholar] [CrossRef]
  18. Naderer, M.; Kainz, T.; Schutz, D.; Reichmann, K. The influence of Ti-nonstoichiometry in Bi0.5Na0.5TiO3. J. Eur. Ceram. Soc. 2014, 34, 663–667. [Google Scholar] [CrossRef]
  19. König, J.; Spreitzer, M.; Jančar, B.; Suvorov, D.; Samardžija, Z.; Popovič, A. The thermal decomposition of K0.5Bi0.5TiO3 ceramics. J. Eur. Ceram. Soc. 2009, 29, 1695–1701. [Google Scholar]
  20. Picht, G.; Töpfer, K.; Hennig, E. Structural properties of (Bi0.5Na0.5) 1−xBaxTiO3 lead-free piezoelectric ceramics. J. Eur. Ceram. Soc. 2010, 30, 3445–3453. [Google Scholar] [CrossRef]
  21. Viola, G.; McKinnon, R.; Koval, V.; Adomkevicius, A.; Dunn, S.; Yan, H. Lithium-Induced Phase Transitions in Lead-Free Bi0.5Na0.5TiO3 Based Ceramics. J. Phys. Chem. C 2014, 118, 8564–8570. [Google Scholar] [CrossRef]
  22. Liu, X.; Zhai, J.; Shen, B. Local phenomena in bismuth sodium titanate perovskite studied by Raman spectroscopy. J. Am. Ceram. Soc. 2018, 101, 5604–5614. [Google Scholar] [CrossRef]
  23. Dittmer, R.; Jo, W.; Rödel, J.; Kalinin, S.; Balke, N. Nanoscale insight into lead-free BNT-BT-xKNN. Adv. Funct. Mater. 2012, 22, 4208–4215. [Google Scholar] [CrossRef]
  24. Iqbal, M.J.; Ullah, A.; Rehman, I.U.; Ullah, A.; Iqbal, Y.; Kim, I.W. Dielectric, Ferroelectric and electromechanical properties of (1-x) (Bi0.5Na0.5TiO3-xBa (Ti0.8Zr0.2) O3 ceramics. J. Mater. Sci. Mater. Electron. 2019, 30, 10686–10693. [Google Scholar] [CrossRef]
  25. Xu, G.; Zhong, Z.; Bing, Y.; Ye, Z.G.; Shirane, G. Electric-field-induced redistribution of polar nano-regions in a relaxor ferroelectric. Nat. Mater. 2006, 5, 134–140. [Google Scholar] [CrossRef]
  26. Yin, D.S.; Zhao, Z.H.; Dai, Y.J.; Zhao, Z.; Zhang, X.W.; Wang, S.H. Electrical properties and relaxor phase evolution of Li-modified BNT-BKT-BT lead-free ceramics. J. Am. Ceram. Soc. 2016, 99, 2354–2360. [Google Scholar] [CrossRef]
  27. Fernandez-Benavides, D.A.; Gutierrez-Perez, A.I.; Benitez-Castro, A.M.; Ayala-Ayala, M.T.; Moreno-Murguia, B.; Muñoz-Saldaña, J. Comparative Study of Ferroelectric and Piezoelectric properties of BNT-BKT-BT Ceramics near the Phase Transition Zone. Materials 2018, 11, 316. [Google Scholar] [CrossRef]
  28. Cao, W.; Li, W.; Feng, Y.; Bai, T.; Qiao, Y.; Hou, Y.; Zhang, T.; Yu, Y.; Fei, W. Defect dipole induced large recoverable strain and high energy-storage density in lead free Na0.5Bi0.5TiO3-based systems. Appl. Phys. Lett. 2016, 108, 202902. [Google Scholar] [CrossRef]
  29. Ni, F.; Luo, L.; Li, W.; Chen, H. A-site vacancy-induced giant strain and the electrical properties in non-stoichiometric ceramics Bi0.5+x(Na1−yKy)0.5−3xTiO3. J. Phys. D Appl. Phys. 2012, 45, 415103. [Google Scholar] [CrossRef]
Figure 1. The variation of sintering temperature depending on x composition. We can see differences in the covered shapes in terms of their meting degree from not melting to little melting then completely melting.
Figure 1. The variation of sintering temperature depending on x composition. We can see differences in the covered shapes in terms of their meting degree from not melting to little melting then completely melting.
Energies 13 00455 g001
Figure 2. (a) Surface morphology at x = 0.10 and (b) the apparent density change with x composition of (Bi0.5Na0.5-xKx)TiO3 (BNKT) ceramics.
Figure 2. (a) Surface morphology at x = 0.10 and (b) the apparent density change with x composition of (Bi0.5Na0.5-xKx)TiO3 (BNKT) ceramics.
Energies 13 00455 g002
Figure 3. X-ray diffraction patterns of (a) BNKT ceramics, their magnification in (b) 2θ range of 38° to 41°, (c) 2θ range of 44° to 48°.
Figure 3. X-ray diffraction patterns of (a) BNKT ceramics, their magnification in (b) 2θ range of 38° to 41°, (c) 2θ range of 44° to 48°.
Energies 13 00455 g003
Figure 4. X-ray diffraction patterns of BNKT ceramics, their fitting results for (a) x = 0.10, (b) x = 0.20, and (c) x = 0.40 in the BNKT ceramics in the 2θ range of 44° to 48° to distinguish the rhombohedral and tetragonal phase; and (d) the percentage of tetragonal phase (VT) for the synthesized BNKT ceramics.
Figure 4. X-ray diffraction patterns of BNKT ceramics, their fitting results for (a) x = 0.10, (b) x = 0.20, and (c) x = 0.40 in the BNKT ceramics in the 2θ range of 44° to 48° to distinguish the rhombohedral and tetragonal phase; and (d) the percentage of tetragonal phase (VT) for the synthesized BNKT ceramics.
Energies 13 00455 g004
Figure 5. Temperature-dependent dielectric constant (εr) and loss tangent ( tan δ ) of BNKT ceramics for measuring frequencies of 1, 10, and 100 kHz.
Figure 5. Temperature-dependent dielectric constant (εr) and loss tangent ( tan δ ) of BNKT ceramics for measuring frequencies of 1, 10, and 100 kHz.
Energies 13 00455 g005
Figure 6. Polarization (P), current (I), and strain (S) vs. electric (E)-field loops of BNKT ceramics (x = 0.1, 0.2, 0.3, 0.4, and 0.8) at 60 kV/cm, frequency 10 Hz at room temperature.
Figure 6. Polarization (P), current (I), and strain (S) vs. electric (E)-field loops of BNKT ceramics (x = 0.1, 0.2, 0.3, 0.4, and 0.8) at 60 kV/cm, frequency 10 Hz at room temperature.
Energies 13 00455 g006
Figure 7. Results for remnant polarization (Pr), negative strain (Sneg), and inverse piezoelectric coefficient (d33*) as a function of x represented by black quadrangle, blue triangle, and red circle shapes, respectively.
Figure 7. Results for remnant polarization (Pr), negative strain (Sneg), and inverse piezoelectric coefficient (d33*) as a function of x represented by black quadrangle, blue triangle, and red circle shapes, respectively.
Energies 13 00455 g007
Figure 8. Polarization–electric field (P-E) hysteresis loops of for (a) x = 0.05 and (b) 0.10 at different E-field.
Figure 8. Polarization–electric field (P-E) hysteresis loops of for (a) x = 0.05 and (b) 0.10 at different E-field.
Energies 13 00455 g008
Figure 9. A proposed schematic diagram of polar nano-regions (PNRs) formation in BNKT ceramics with P-E and current–electric field (I-E) loops for x = 0.05 (NR) and x = 0.10 (ER).
Figure 9. A proposed schematic diagram of polar nano-regions (PNRs) formation in BNKT ceramics with P-E and current–electric field (I-E) loops for x = 0.05 (NR) and x = 0.10 (ER).
Energies 13 00455 g009

Share and Cite

MDPI and ACS Style

Cho, S.Y.; Kim, E.-Y.; Kim, S.Y.; Pham, T.L.; Han, J.K.; Song, D.S.; Jung, H.-K.; Lee, J.-S.; An, K.-S.; Lim, J.; et al. Relaxor Phase Evolution of (Bi0.5Na0.5-xKx)TiO3 Ceramics due to K Ion Substitution and Their Corresponding Electrical Properties. Energies 2020, 13, 455. https://doi.org/10.3390/en13020455

AMA Style

Cho SY, Kim E-Y, Kim SY, Pham TL, Han JK, Song DS, Jung H-K, Lee J-S, An K-S, Lim J, et al. Relaxor Phase Evolution of (Bi0.5Na0.5-xKx)TiO3 Ceramics due to K Ion Substitution and Their Corresponding Electrical Properties. Energies. 2020; 13(2):455. https://doi.org/10.3390/en13020455

Chicago/Turabian Style

Cho, Sam Yeon, Eun-Young Kim, Sun Yong Kim, Thuy Linh Pham, Jin Kyu Han, Da Som Song, Ha-Kyun Jung, Jong-Sook Lee, Ki-Seok An, Jongsun Lim, and et al. 2020. "Relaxor Phase Evolution of (Bi0.5Na0.5-xKx)TiO3 Ceramics due to K Ion Substitution and Their Corresponding Electrical Properties" Energies 13, no. 2: 455. https://doi.org/10.3390/en13020455

APA Style

Cho, S. Y., Kim, E.-Y., Kim, S. Y., Pham, T. L., Han, J. K., Song, D. S., Jung, H.-K., Lee, J.-S., An, K.-S., Lim, J., & Bu, S. D. (2020). Relaxor Phase Evolution of (Bi0.5Na0.5-xKx)TiO3 Ceramics due to K Ion Substitution and Their Corresponding Electrical Properties. Energies, 13(2), 455. https://doi.org/10.3390/en13020455

Note that from the first issue of 2016, this journal uses article numbers instead of page numbers. See further details here.

Article Metrics

Back to TopTop