Controls on Pore Structures and Permeability of Tight Gas Reservoirs in the Xujiaweizi Rift, Northern Songliao Basin
Abstract
1. Introduction
2. Geological Setting
3. Experimental Works
3.1. Sample Collection
3.2. Experimental Methods
3.2.1. RMIP
3.2.2. N2GA
3.2.3. XRD, SEM, Porosity, and Permeability
4. Results
4.1. Mineralogical and Petrophysical Properties
4.2. Storage Spaces
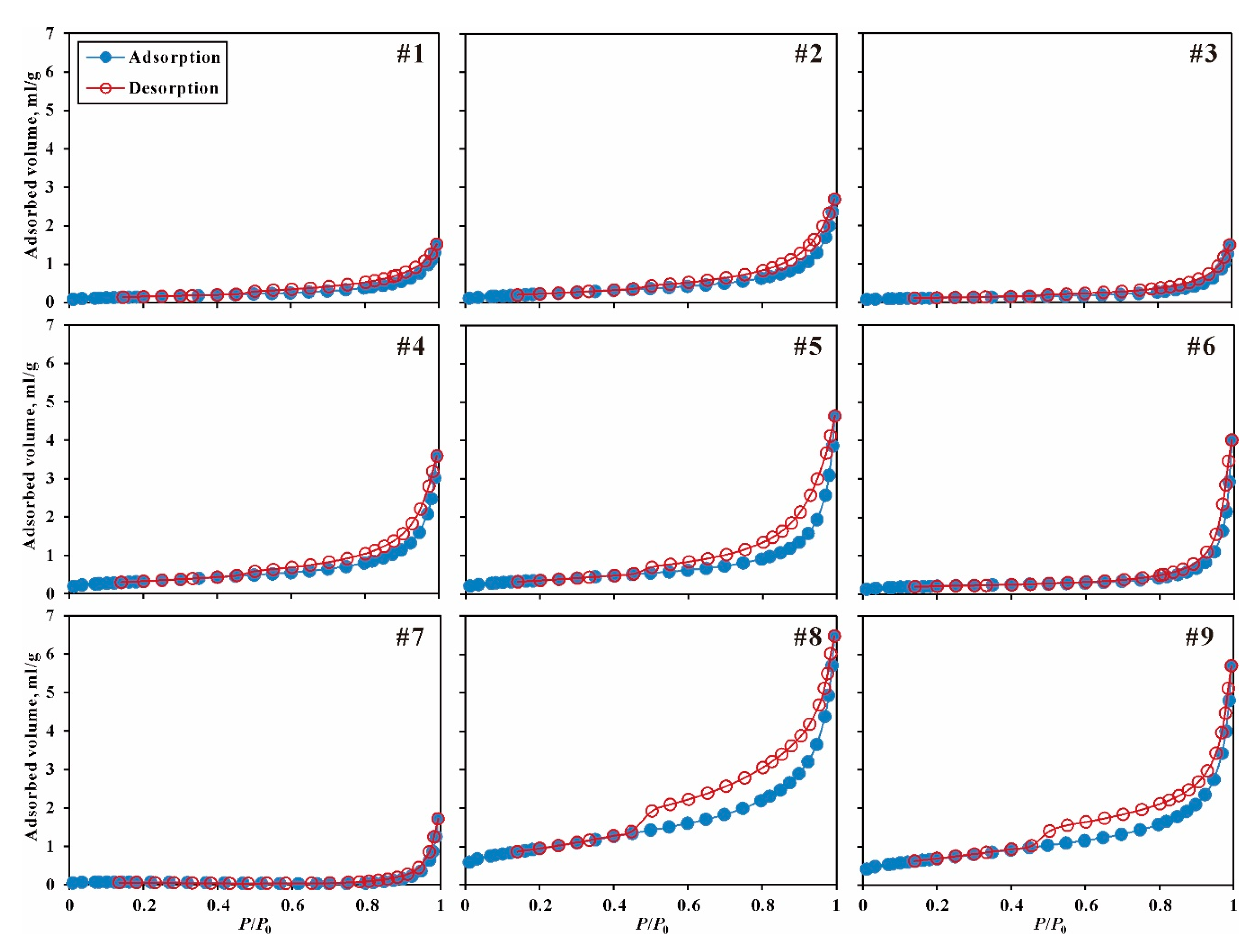
4.3. Pore Structure Derived from N2GA and RMIP Analyses
5. Discussions
5.1. Classification of Pore Networks Based on Fractal Theory
5.2. Effect of Clay Minerals on Pore Structure Properties
5.3. Effect of Clay Minerals on Permeability
6. Conclusions
- (1)
- Pore networks in tight gas reservoirs can be divided into intergranular-dominant and intragranular-dominant pore networks, based on surface fractal theory and mercury intrusion features. Intergranular-dominant pore networks correspond to the conventional pore-throat structure model that large pores are connected by wide throats, while intragranular-dominant pore networks are characterized by a tree-like pore structure that the narrower throats are connected to the upper-level wider throats like tree branches, and there is no significant difference between pores and throats.
- (2)
- Clay minerals are the primary contributor to total specific surface area (SSA) of tight gas reservoirs, among which I/S (mixed-layer illite/smectite) contributes to the most, followed by chlorite and illite, and the contribution of framework minerals is the least. Different types of clay minerals exert diverse degrees of influence on pore structures of tight gas reservoirs due to their dispersed model and morphology, and chlorite has the most evident effect on the reduction of the throat radius of tight rocks.
- (3)
- For tight gas reservoirs, intragranular-dominant pore networks contribute more to the total pore space, while intergranular-dominant pore networks control permeability. Clay minerals, especially authigenic chlorite, can effectively promote the evolution of intergranular-dominant to intragranular-dominant pore networks. Although the above process has little effect on the total pore space, it can significantly decrease the absolute value of permeability.
Author Contributions
Funding
Conflicts of Interest
References
- Higgs, K.E.; Zwingmann, H.; Reyes, A.G.; Funnell, R.H. Diagenesis, Porosity Evolution, and Petroleum Emplacement in Tight Gas Reservoirs, Taranaki Basin, New Zealand. J. Sediment. Res. 2007, 77, 1003–1025. [Google Scholar] [CrossRef]
- Dai, J.; Ni, Y.; Wu, X. Tight gas in China and its significance in exploration and exploitation. Pet. Explor. Dev. 2012, 39, 277–284. [Google Scholar] [CrossRef]
- Zou, C.; Zhu, R.; Liu, K.; Su, L.; Bai, B.; Zhang, X.; Yuan, X.; Wang, J. Tight gas sandstone reservoirs in China: Characteristics and recognition criteria. J. Pet. Sci. Eng. 2012, 88, 82–91. [Google Scholar] [CrossRef]
- Zhang, L.; Xiao, D.; Lu, S.; Jiang, S.; Chen, L.; Guo, T.; Wu, L. Pore development of the Lower Longmaxi shale in the southeastern Sichuan Basin and its adjacent areas: Insights from lithofacies identification and organic matter. Mar. Pet. Geol. 2020, 104662, 104662. [Google Scholar] [CrossRef]
- Schmitt, M.; Fernandes, C.; Wolf, F.G.; Neto, J.A.B.D.C.; Rahner, C.P.; Dos Santos, V.S.S.; Rahner, M.S. Characterization of Brazilian tight gas sandstones relating permeability and Angstrom-to micron-scale pore structures. J. Nat. Gas Sci. Eng. 2015, 27, 785–807. [Google Scholar] [CrossRef]
- Nelson, P.H. Pore-throat sizes in sandstones, tight sandstones, and shales. AAPG Bull. 2009, 93, 329–340. [Google Scholar] [CrossRef]
- Desbois, G.; Urai, J.L.; Kukla, P.A.; Konstanty, J.; Baerle, C. High-resolution 3D fabric and porosity model in a tight gas sandstone reservoir:A new approach to investigate microstructures from mm- to nm-scale combining argon beam cross-sectioning and SEM imaging. J. Pet. Sci. Eng. 2011, 78, 243–257. [Google Scholar] [CrossRef]
- Rezaee, M.; Saeedi, A.; Clennell, B. Tight gas sands permeability estimation from mercury injection capillary pressure and nuclear magnetic resonance data. J. Pet. Sci. Eng. 2012, 88, 92–99. [Google Scholar] [CrossRef]
- Xiao, D.; Jiang, S.; Thul, D.; Lu, S.; Zhang, L.; Li, B. Impacts of clay on pore structure, storage and percolation of tight sandstones from the Songliao Basin, China: Implications for genetic classification of tight sandstone reservoirs. Fuel 2018, 211, 390–404. [Google Scholar] [CrossRef]
- Lai, J.; Wang, G.; Wang, Z.; Chen, J.; Pang, X.; Wang, S.; Zhou, Z.; He, Z.; Qin, Z.; Fan, X. A review on pore structure characterization in tight sandstones. Earth-Sci. Rev. 2018, 177, 436–457. [Google Scholar] [CrossRef]
- Clarkson, C.; Solano, N.; Bustin, R.; Bustin, A.; Chalmers, G.R.; He, L.; Melnichenko, Y.; Radlinski, A.; Blach, T. Pore structure characterization of North American shale gas reservoirs using USANS/SANS, gas adsorption, and mercury intrusion. Fuel 2013, 103, 606–616. [Google Scholar] [CrossRef]
- Xi, K.; Cao, Y.; Haile, B.G.; Zhu, R.; Jahren, J.; Bjørlykke, K.; Zhang, X.; Hellevang, H. How does the pore-throat size control the reservoir quality and oiliness of tight sandstones? The case of the Lower Cretaceous Quantou Formation in the southern Songliao Basin, China. Mar. Pet. Geol. 2016, 76, 1–15. [Google Scholar] [CrossRef]
- Zhao, H.; Ning, Z.; Wang, Q.; Zhang, R.; Zhao, T.; Niu, T.; Zeng, Y. Petrophysical characterization of tight oil reservoirs using pressure-controlled porosimetry combined with rate-controlled porosimetry. Fuel 2015, 154, 233–242. [Google Scholar] [CrossRef]
- Zhang, L.; Li, B.; Jiang, S.; Xiao, D.; Lu, S.; Zhang, Y.; Gong, C.; Chen, L. Heterogeneity characterization of the lower Silurian Longmaxi marine shale in the Pengshui area, South China. Int. J. Coal Geol. 2018, 195, 250–266. [Google Scholar] [CrossRef]
- Zhang, L.; Lu, S.; Jiang, S.; Xiao, D.; Chen, L.; Liu, Y.; Zhang, Y.; Li, B.; Gong, C. Effect of Shale Lithofacies on Pore Structure of the Wufeng–Longmaxi Shale in Southeast Chongqing, China. Energy Fuels 2018, 32, 6603–6618. [Google Scholar] [CrossRef]
- Chen, L.; Jiang, Z.; Liu, K.; Tan, J.; Gao, F.; Wang, P. Pore structure characterization for organic-rich Lower Silurian shale in the Upper Yangtze Platform, South China: A possible mechanism for pore development. J. Nat. Gas Sci. Eng. 2017, 46, 1–15. [Google Scholar] [CrossRef]
- Chen, S.; Han, Y.; Fu, C.; Zhang, H.; Zhu, Y.; Zuo, Z.; Shangbin, C.; Yufu, H.; Changqin, F.; Han, Z.; et al. Micro and nano-size pores of clay minerals in shale reservoirs: Implication for the accumulation of shale gas. Sediment. Geol. 2016, 342, 180–190. [Google Scholar] [CrossRef]
- Ola, P.S.; Aidi, A.K.; Bankole, O.M. Clay mineral diagenesis and source rock assessment in the Bornu Basin, Nigeria: Implications for thermal maturity and source rock potential. Mar. Pet. Geol. 2018, 89, 653–664. [Google Scholar] [CrossRef]
- Ross, D.J.; Bustin, R.M. The importance of shale composition and pore structure upon gas storage potential of shale gas reservoirs. Mar. Pet. Geol. 2009, 26, 916–927. [Google Scholar] [CrossRef]
- Passey, Q.R.; Bohacs, K.; Esch, W.L.; Klimentidis, R.; Sinha, S. From oil-prone source rock to gas-producing shale reservoir-geologic and petrophysical characterization of unconventional shale gas reservoirs. In Proceedings of the International Oil and Gas Conference and Exhibition, Beijing, China, 8–10 June 2010. [Google Scholar]
- Neasham, J.W. The morphology of dispersed clay in sandstone reservoirs and its effect on sandstone shaliness, pore space and fluid flow properties. In Proceedings of the Annual Fall Technical Conference and Exhibition, Denver, CO, USA, 9–12 October 1977. [Google Scholar]
- Rahman, M.J.J.; Worden, R.H. Diagenesis and its impact on the reservoir quality of Miocene sandstones (Surma Group) from the Bengal Basin, Bangladesh. Mar. Pet. Geol. 2016, 77, 898–915. [Google Scholar] [CrossRef]
- Ji, L.; Zhang, T.; Milliken, K.L.; Qu, J.; Zhang, X. Experimental investigation of main controls to methane adsorption in clay-rich rocks. Appl. Geochem. 2012, 27, 2533–2545. [Google Scholar] [CrossRef]
- Cao, Z.; Liu, G.; Zhan, H.; Li, C.; You, Y.; Yang, C.; Jiang, H. Pore structure characterization of Chang-7 tight sandstone using MICP combined with N2GA techniques and its geological control factors. Sci. Rep. 2016, 6, 36919. [Google Scholar] [CrossRef] [PubMed]
- Yang, F.; Ning, Z.F.; Zhang, S.D.; Hu, C.P.; Du, L.H.; Liu, H.Q. Characterization of pore structures in shales through nitrogen adsorption experiment. Nat. Gas Ind. 2013, 33, 135–140. [Google Scholar]
- Feng, Z.; Yin, C.; Lu, J.; Zhu, Y. Formation and accumulation of tight sandy conglomerate gas: A case from the Lower Cretaceous Yingcheng Formation of Xujiaweizi fault depression, Songliao Basin. Pet. Explor. Dev. 2013, 40, 696–703. [Google Scholar] [CrossRef]
- Zhao, Z.; Xu, S.; Jiang, X.; Lin, C.; Cheng, H.; Cui, J.; Jia, L. Deep strata geologic structure and tight sandy conglomerate gas exploration in Songliao Basin, East China. Pet. Explor. Dev. 2016, 43, 13–25. [Google Scholar] [CrossRef]
- Zhang, E.H.; Jiang, C.J.; Zhang, Y.G.; Li, Z.A.; Feng, X.Y.; Wu, J. Study on the formation and evolution of deep structure of Xujiaweizi fault depression. Acta Petrol. Sin. 2010, 26, 149–157, (In Chinese with English abstract). [Google Scholar]
- Fu, G.; Wu, W.; Li, N. Controlling effect of three major faults on gas accumulation in the Xujiaweizi faulted depression, Songliao Basin. Nat. Gas Ind. B 2014, 1, 159–164. [Google Scholar] [CrossRef]
- Cai, Q.; Hu, M.; Ngia, N.R.; Hu, Z. Sequence stratigraphy, sedimentary systems and implica-tions for hydrocarbon exploration in the northern Xujiaweizi Fault Depression, Songliao Basin, NE China. J. Pet. Sci. Eng. 2017, 152, 471–494. [Google Scholar] [CrossRef]
- Liu, C.; Yin, C.; Lu, J.; Sun, L.; Wang, Y.; Hu, B.; Li, J. Pore structure and physical properties of sandy conglomerate reservoirs in the Xujiaweizi depression, northern Songliao Basin, China. J. Pet. Sci. Eng. 2020, 192, 107217. [Google Scholar] [CrossRef]
- Lu, S.F.; Gu, M.W.; Zhang, F.F.; Zhang, L.C.; Xiao, D.S. Hydrocarbon accumulation stages and type division of Shahezi Fm. tight glutenite gas reservoirs in the Xujiaweizi Fault Depression, Songliao Basin. Nat. Gas Ind. 2017, 37, 12–21. [Google Scholar]
- Li, R.F.; Yang, Y.Q.; Zhang, G.X.; Ruan, X.F. Systematic restoration of eroded thickness by unconformity in Cretaceous of Xujiaweizi in the north of Songliao Basin. Earth Sci. 2012, 37, 47–54, (In Chinese with English abstract). [Google Scholar]
- Feng, Z.; Cheng-Zao, J.; Xi-Nong, X.; Shun, Z.; Zi-Hui, F.; Cross, T.A. Tectonostratigraphic units and stratigraphic sequences of the nonmarine Songliao basin, northeast China. Basin Res. 2010, 22, 79–95. [Google Scholar] [CrossRef]
- Zhang, P.; Lee, Y.I.; Zhang, J. Diagenesis of tight-gas sandstones in the lower cretaceous denglouku formation, songliao basin, ne china: Implications for reservoir quality. J. Pet. Geol. 2014, 38, 99–114. [Google Scholar] [CrossRef]
- Washburn, E.W. The Dynamics of Capillary Flow. Phys. Rev. 1921, 17, 273–283. [Google Scholar] [CrossRef]
- Yuan, H.H.; Swanson, B.F. Resolving pore-space characteristics by rate-controlled po-rosimetry. SPE Form. Eval. 1989, 4, 17–24. [Google Scholar] [CrossRef]
- He, S.L.; Jiao, C.Y.; Wang, J.G.; Luo, F.P.; Zou, L. Discussion on the differences between constant-speed mercury injection and conventional mercury injection techniques. Fault-Block Oil Gas Field 2011, 18, 235–237, (In Chinese with English abstract). [Google Scholar]
- Gregg, S.J.; Sing, K.S.W.; Salzberg, H.W. Adsorption, Surface Area, and Porosity, 2nd ed.; Academic Press: New York, NY, USA, 1982. [Google Scholar]
- Barrett, E.P.; Joyner, L.G.; Halenda, P.P. The determination of pore volume and area distributions in porous substances. I. Computations from nitrogen isotherms. J. Am. Chem. Soc. 1951, 73, 373–380. [Google Scholar] [CrossRef]
- Hoffman, J.; Hower, J.; Scholle, P.A.; Schluger, P.R. Clay mineral assemblages as low grade metamorphic geothermometers: application to the thrust faulted disturbed belt of montana, U.S.A. SEPM Spec. Publ. 1979, 26, 55–79. [Google Scholar] [CrossRef]
- Pollastro, R.M. Considerations and Applications of the Illite/Smectite Geothermometer in Hydrocarbon-Bearing Rocks of Miocene to Mississippian Age. Clays Clay Miner. 1993, 41, 119–133. [Google Scholar] [CrossRef]
- Bjorkum, N.G.P.A. An Isochemical Model for Formation of Authigenic Kaolinite, K-Feldspar and Illite in Sediments. J. Sediment. Res. 1988, 58. [Google Scholar] [CrossRef]
- Ehrenberg, S.N.; Nadeau, P.H. Formation of Diagenetic Illite in Sandstones of the Garn Formation, Haltenbanken Area, Mid-Norwegian Continental Shelf. Clay Miner. 1989, 24, 233–253. [Google Scholar] [CrossRef]
- Zhou, Q.; Feng, Z.; Men, G. Present geothermal characteristics and their relationship with natural gas generation in the Xujiaweizi Rift of the northern Songliao Basin. Sci. China Earth Sci. 2007, 37, 177–188. [Google Scholar]
- Yuan, G.; Gluyas, J.; Cao, Y.; Oxtoby, N.H.; Jia, Z.; Wang, Y.; Xi, K.; Li, X. Diagenesis and reservoir quality evolution of the Eocene sandstones in the northern Dongying Sag, Bohai Bay Basin, East China. Mar. Pet. Geol. 2015, 62, 77–89. [Google Scholar] [CrossRef]
- Aagaard, P.; Jahren, J.S.; Harstad, A.O.; Nilsen, O.; Ramm, M. Formation of grain-coating chlorite in sandstones. Laboratory synthesized vs. natural occurrences. Clay Miner. 2000, 35, 261–269. [Google Scholar] [CrossRef]
- Pang, X.J.; Wang, Q.B.; Feng, C.; Zhao, M.; Liu, Z.B. Differences and Genesis of High-quality Reservoirs in Es1+2 at the Northern Margin of the Huanghekou Sag, Bohai Sea. Acta Sedimentol. Sin. 2020. (In Chinese with English abstract). [Google Scholar] [CrossRef]
- Brunauer, S.; Deming, L.S.; Deming, W.E.; Teller, E. On a Theory of the van der Waals Adsorption of Gases. J. Am. Chem. Soc. 1940, 62, 1723–1732. [Google Scholar] [CrossRef]
- Sing, K.S.; Everett, D.H.; Haul, R.A.W.; Moscou, L.; Pierotti, R.A.; Rouquerol, J.; Siemieniewsha, T. Reporting physisorption data for gas/solid systems with special reference to the determination of surface area and porosity (Recommendations 1984). Pure Appl. Chem. 1985, 57, 603–619. [Google Scholar] [CrossRef]
- Yao, Y.; Liu, D.; Tang, D.; Tang, S.; Huang, W.; Liu, Z.; Che, Y. Fractal characterization of seepage-pores of coals from China: An investigation on permeability of coals. Comput. Geosci. 2009, 35, 1159–1166. [Google Scholar] [CrossRef]
- Wang, H.; Liu, Y.; Song, Y.; Zhao, Y.; Zhao, J.; Wang, D. Fractal analysis and its impact factors on pore structure of artificial cores based on the images obtained using magnetic resonance imaging. J. Appl. Geophys. 2012, 86, 70–81. [Google Scholar] [CrossRef]
- Lai, J.; Wang, G. Fractal analysis of tight gas sandstones using high-pressure mercury intrusion techniques. J. Nat. Gas Sci. Eng. 2015, 24, 185–196. [Google Scholar] [CrossRef]
- Pfeifer, P.; Avnir, D. Chemistry in non integer dimensions between 2 and 3, I: Fractal theory of heterogenous surface. J. Chem. Phys. 1983, 79, 3558–3565. [Google Scholar] [CrossRef]
- Li, K.; Horne, R.N. Fractal modeling of capillary pressure curves for The Geysers rocks. Geothermics 2006, 35, 198–207. [Google Scholar] [CrossRef]
- Sakhaee-Pour, A.; Bryant, S.L. Effect of pore structure on the producibility of tight-gas sandstones. AAPG Bull. 2014, 98, 663–694. [Google Scholar] [CrossRef]
- Yuan, G.H.; Cao, Y.C.; Xi, K.L.; Wang, Y.Z.; Li, X.Y.; Yang, T. Feldspar dissolution and its impact on physical properties of Paleogene clastic reservoirs in the northern slope zone of the Dongying Sag. Acta Pet. Sin. 2013, 34, 853–866, (In Chinese with English abstract). [Google Scholar]
- Wang, X. Characteristics of clay minerals and their effects on production capacity of the Cretaceous sandstone reservoirs of Songliao Basin, China. Sci. Géologiques Bull. Mémoires 1990, 88, 105–114. [Google Scholar]
- Wang, M.Z.; Liu, S.B.; Ren, Y.J.; Tian, H. Pore characteristics and methane adsorption of clay minerals in shale gas reservoir. Geol. Rev. 2015, 61, 207–216, (In Chinese with English abstract). [Google Scholar]
- Omotoso, O.E.; Mikula, R.J. High surface areas caused by smectitic interstratification of kaolinite and illite in athabasca oil sands. Appl. Clay Sci. 2004, 25, 37–47. [Google Scholar] [CrossRef]
- Boles, S.G.F.J.R. Clay Diagenesis in Wilcox Sandstones of Southwest Texas: Implications of Smectite Diagenesis on Sandstone Cementation. J. Sediment. Res. 1979, 49. [Google Scholar] [CrossRef]
- Wang, Y.; Dong, D.; Yang, H.; He, L.; Wang, S.; Huang, J.; Pu, B.; Wang, S. Quantitative characterization of reservoir space in the Lower Silurian Longmaxi Shale, southern Sichuan, China. Sci. China Earth Sci. 2013, 57, 313–322. [Google Scholar] [CrossRef]
- Mbia, E.N.; Fabricius, I.L.; Krogsbøll, A.; Frykman, P.; Dalhoff, F. Permeability, compressibility and porosity of Jurassic shale from the Norwegian–Danish Basin. Pet. Geosci. 2014, 20, 257–281. [Google Scholar] [CrossRef]
- Purcell, W. Capillary Pressures—Their Measurement Using Mercury and the Calculation of Permeability Therefrom. J. Pet. Technol. 1949, 1, 39–48. [Google Scholar] [CrossRef]
- Katz, A.J.; Thompson, A.H. Quantitative prediction of permeability in porous rock. Phys. Rev. B 1986, 34, 8179–8181. [Google Scholar] [CrossRef]
- Daigle, H.; Johnson, A. Combining Mercury Intrusion and Nuclear Magnetic Resonance Measurements Using Percolation Theory. Transp. Porous Media 2015, 111, 669–679. [Google Scholar] [CrossRef]
- Nadeau, P.H.; Peacor, D.R.; Yan, J.; Hillier, S. IS precipitation in pore space as the cause of geopressuring in Mesozoic mudstones, Egersund Basin, Norwegian continental shelf. Am. Miner. 2002, 87, 1580–1589. [Google Scholar] [CrossRef]
- Pittman, E.D. Relationship of Porosity and Permeability to Various Parameters Derived from Mercury Injection-Capillary Pressure Curves for Sandstone (1). AAPG Bull. 1992, 76, 191–198. [Google Scholar] [CrossRef]
- Coates, G.R.; Xiao, L.; Prammer, M.G. NMR Logging Principles and Applications, Halliburton Energy Services Publication H02308; Halliburton: Houston, TX, USA, 1999. [Google Scholar]
- Xiao, L.; Mao, Z.-Q.; Wang, Z.-N.; Jin, Y. Application of NMR logs in tight gas reservoirs for formation evaluation: A case study of Sichuan basin in China. J. Pet. Sci. Eng. 2012, 81, 182–195. [Google Scholar] [CrossRef]




















| Sample ID | Formation | Well ID | Depth (m) | Porosity (%) | Permeability (×10−15 m2) | Mineral Compositions Obtained from XRD (wt.%) | ||||||||
|---|---|---|---|---|---|---|---|---|---|---|---|---|---|---|
| Clay Minerals | Chlorite | Illite | I/S | %S | Quartz | Feldspar | Siderite | Calcite | ||||||
| #1 | Denglouku | W1 | 2872.48 | 6.99 | 0.93 | 2 | 0.26 | 0.40 | 1.34 | 15 | 63 | 31 | 4 | 0 |
| #2 | Denglouku | W2 | 3012.47 | 10.0 | 2.35 | 4 | 1.16 | 0.64 | 2.20 | 15 | 45 | 45 | 6 | 0 |
| #3 | Denglouku | W2 | 3029.14 | 6.3 | 0.31 | 4 | 1.16 | 0.80 | 2.04 | 15 | 50 | 38 | 8 | 0 |
| #4 | Denglouku | W3 | 3079.47 | 8.8 | 0.26 | 8 | 2.88 | 1.44 | 3.68 | 15 | 54 | 38 | 0 | 0 |
| #5 | Denglouku | W3 | 3085.06 | 6.5 | 0.22 | 16 | 4.48 | 2.88 | 8.64 | 15 | 46 | 38 | 0 | 0 |
| #6 | Shahezi | W4 | 3938.31 | 8.7 | 0.13 | 6 | 4.50 | 0.78 | 0.72 | 10 | 30 | 64 | 0 | 0 |
| #7 | Shahezi | W5 | 4529.42 | 7.9 | 0.09 | 3 | 2.76 | 0.24 | 0.00 | 0 | 41 | 56 | 0 | 0 |
| #8 | Shahezi | W6 | 2772.21 | 8.8 | 0.05 | 24 | 4.08 | 3.36 | 16.56 | 15 | 54 | 19 | 0 | 3 |
| #9 | Shahezi | W7 | 3414.61 | 6.1 | 0.0352 | 22 | 5.50 | 3.08 | 13.42 | 20 | 60 | 13 | 0 | 5 |
| Sample ID | N2GA Experiment | RMIP Experiment | ||||||||
|---|---|---|---|---|---|---|---|---|---|---|
| SSA, m2/g | Pore Volume, mL/g | Stotal, % | Spore, % | Sthroat, % | RPTa | ra, μm | rd, μm | rm, μm | Pd, MPa | |
| #1 | 0.5460 | 0.002369 | 65.70 | 25.44 | 40.26 | 86.78 | 2.179 | 2.682 | 1.011 | 0.274 |
| #2 | 0.8351 | 0.004179 | 59.96 | 17.36 | 42.61 | 94.00 | 1.931 | 2.822 | 1.693 | 0.260 |
| #3 | 0.4111 | 0.002324 | 63.73 | 9.46 | 54.27 | 81.10 | 1.918 | 2.913 | 0.121 | 0.252 |
| #4 | 1.1573 | 0.005595 | 65.08 | 28.13 | 36.95 | 199.09 | 0.854 | 1.032 | 0.322 | 0.712 |
| #5 | 1.3059 | 0.007224 | 49.77 | 8.02 | 41.75 | 235.40 | 0.671 | 0.658 | 0.276 | 1.118 |
| #6 | 0.7477 | 0.006175 | 45.67 | 8.94 | 36.73 | 203.90 | 1.077 | 0.913 | 0.015 | 0.805 |
| #7 | 0.2132 | 0.002652 | 54.77 | 19.11 | 35.66 | 296.64 | 0.560 | 0.766 | 0.235 | 0.959 |
| #8 | 3.4067 | 0.010213 | 43.11 | 7.26 | 35.85 | 332.32 | 0.555 | 0.633 | 0.016 | 1.161 |
| #9 | 2.4681 | 0.008955 | 26.25 | 1.65 | 24.60 | 178.56 | 0.611 | 0.307 | 0.021 | 2.396 |
| Sample ID | rip, μm | Contribution of InterG.-dominant Pores to Pore Space, % | Contribution of InterG.-dominant Pores to Permeability, % | Measured SSA, m2/g | Calculated SSA, m2/g | Contributions of Various Compositions to SSA, % | |||
|---|---|---|---|---|---|---|---|---|---|
| Illite | Chlorite | I/S | FM | ||||||
| #1 | 0.768 | 42.21 | 88.14 | 0.5460 | 0.2578 | 9.53 | 7.48 | 80.67 | 2.32 |
| #2 | 0.718 | 33.99 | 89.63 | 0.8351 | 0.4726 | 8.32 | 18.19 | 72.25 | 1.24 |
| #3 | 0.634 | 35.07 | 93.40 | 0.4111 | 0.4576 | 10.74 | 18.79 | 69.19 | 1.28 |
| #4 | 0.457 | 33.90 | 70.21 | 1.1573 | 0.8787 | 10.07 | 24.29 | 65.00 | 0.64 |
| #5 | 0.467 | 21.96 | 62.73 | 1.3059 | 1.8550 | 9.54 | 17.90 | 72.29 | 0.28 |
| #6 | 0.419 | 21.47 | 69.71 | 0.7477 | 0.4989 | 9.60 | 66.85 | 22.40 | 1.15 |
| #7 | 0.305 | 29.90 | 75.19 | 0.2132 | 0.2252 | 6.55 | 90.83 | 0.00 | 2.63 |
| #8 | 0.326 | 19.08 | 67.91 | 3.4067 | 3.0836 | 6.69 | 9.81 | 83.35 | 0.15 |
| #9 | 0.307 | 9.44 | 14.45 | 2.4681 | 2.6844 | 7.05 | 15.19 | 77.59 | 0.18 |
© 2020 by the authors. Licensee MDPI, Basel, Switzerland. This article is an open access article distributed under the terms and conditions of the Creative Commons Attribution (CC BY) license (http://creativecommons.org/licenses/by/4.0/).
Share and Cite
Zhang, L.; Jiang, S.; Xiao, D.; Lu, S.; Zhang, R.; Chen, G.; Qin, Y.; Sun, Y. Controls on Pore Structures and Permeability of Tight Gas Reservoirs in the Xujiaweizi Rift, Northern Songliao Basin. Energies 2020, 13, 5184. https://doi.org/10.3390/en13195184
Zhang L, Jiang S, Xiao D, Lu S, Zhang R, Chen G, Qin Y, Sun Y. Controls on Pore Structures and Permeability of Tight Gas Reservoirs in the Xujiaweizi Rift, Northern Songliao Basin. Energies. 2020; 13(19):5184. https://doi.org/10.3390/en13195184
Chicago/Turabian StyleZhang, Luchuan, Shu Jiang, Dianshi Xiao, Shuangfang Lu, Ren Zhang, Guohui Chen, Yinglun Qin, and Yonghe Sun. 2020. "Controls on Pore Structures and Permeability of Tight Gas Reservoirs in the Xujiaweizi Rift, Northern Songliao Basin" Energies 13, no. 19: 5184. https://doi.org/10.3390/en13195184
APA StyleZhang, L., Jiang, S., Xiao, D., Lu, S., Zhang, R., Chen, G., Qin, Y., & Sun, Y. (2020). Controls on Pore Structures and Permeability of Tight Gas Reservoirs in the Xujiaweizi Rift, Northern Songliao Basin. Energies, 13(19), 5184. https://doi.org/10.3390/en13195184
