PCB-Based Current Sensor Design for Sensing Switch Current of a Nonmodular GaN Power Semiconductor
Abstract
1. Introduction
2. Analysis of Current Sensor Coil
2.1. Current Sensor Using Faraday’s Law Principle
2.2. Pickup Coil Model Built in PCB
3. Design of the Proposed Pick-Up Coil
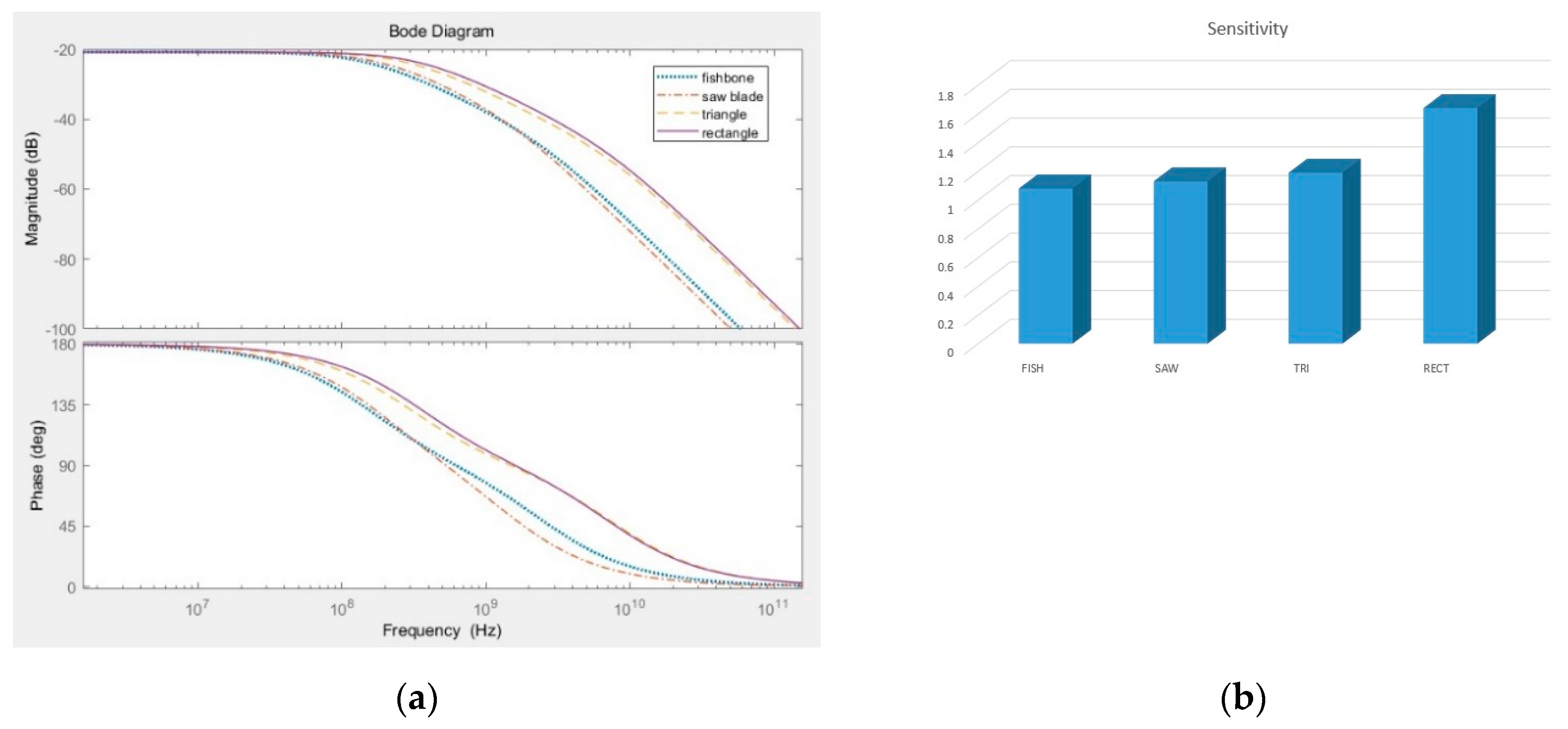
3.1. Basic Structure of the Rectangular Pick-Up Coil
3.2. Single-layer Rectangular Pick-Up Coil
3.3. Multilayer Rectangular Pick-Up Coil
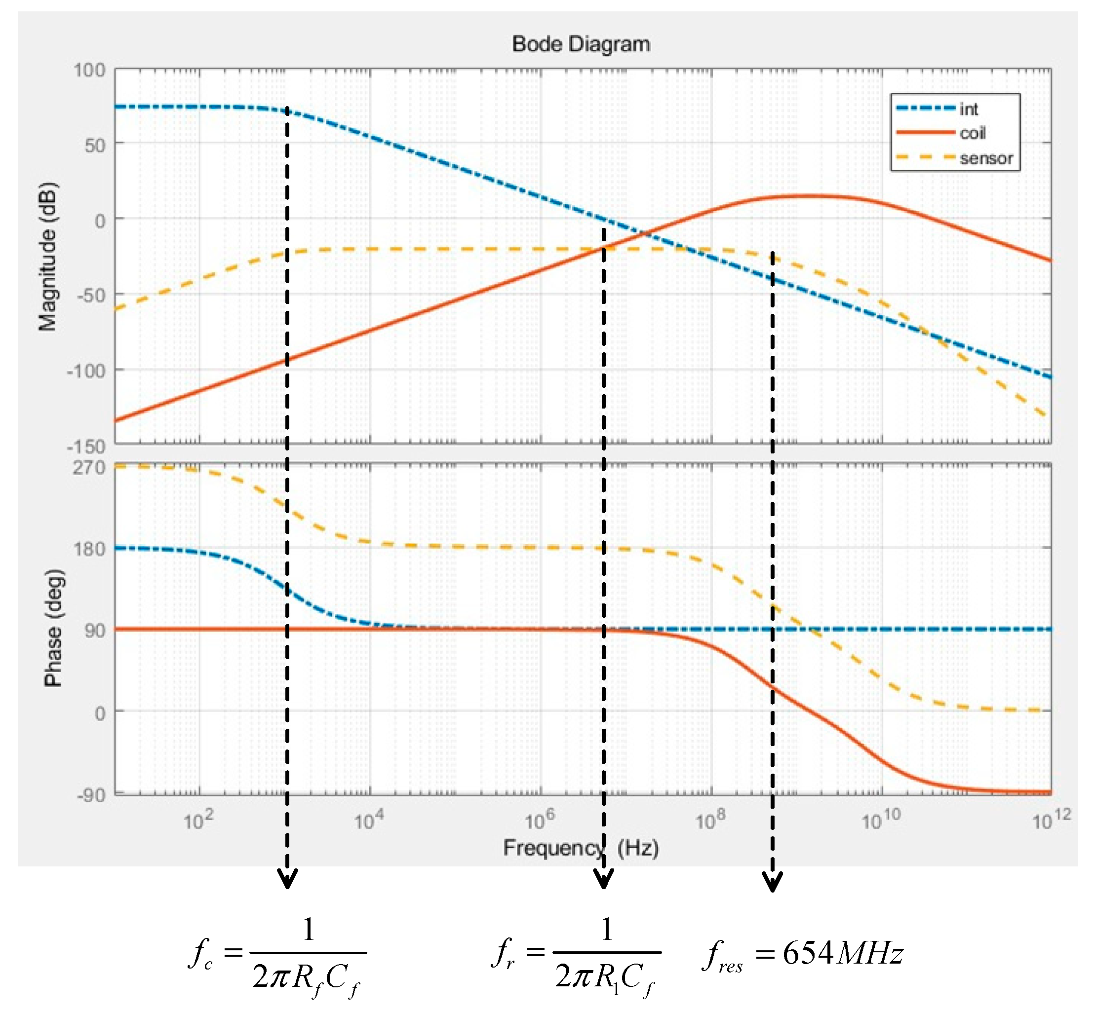
3.4. Parameter Selection for Sensor Design
4. Experimental Verification
5. Conclusions
Author Contributions
Funding
Conflicts of Interest
References
- Sandler, S. Faster-Switching GaN: Presenting a number of interesting measurement challenges. IEEE Power Electron. Mag. 2015, 2, 24–31. [Google Scholar] [CrossRef]
- Lidow, A.; De Rooij, M.; Strydom, J.; Reusch, D.; Glaser, J. GaN Transistors for Efficient Power Conversion; Wiley: Hoboken, NJ, USA, 2019. [Google Scholar]
- Iwaki, T.; Ishiwaki, S.; Sawada, T.; Yamamoto, M. An analysis of false turn-on phenomenon of GaN HEMT with parasitic components. In Proceedings of the 2017 IEEE International Telecommunications Energy Conference (INTELEC), Broadbeach, QLD, Australia, 22–26 October 2017; pp. 347–350. [Google Scholar]
- Vitanov, S.; Palankovski, V.; Maroldt, S.; Quay, R. High-temperature modeling of AlGaN/GaN HEMTs. Solid-State Electron. 2010, 54, 1105–1112. [Google Scholar] [CrossRef]
- Wang, K.; Yang, X.; Wang, L.; Jain, P. Instability analysis and oscillation suppression of enhancement-mode GaN devices in half-bridge circuits. IEEE Trans. Power Electron. 2018, 33, 1585–1596. [Google Scholar] [CrossRef]
- Li, K.; Videt, A.; Idir, N. Using current surface probe to measure the current of the fast power semiconductors. IEEE Trans. Power Electron. 2014, 30, 2911–2917. [Google Scholar] [CrossRef]
- Danilovic, M.; Chen, Z.; Wang, R.; Luo, F.; Boroyevich, D.; Mattavelli, P. Evaluation of the switching characteristics of a gallium-nitride transistor. In Proceedings of the 2011 IEEE Energy Conversion Congress and Exposition, Phoenix, AZ, USA, 17–22 September 2011; pp. 2681–2688. [Google Scholar]
- Pacha, M.; Varecha, P.; Sumega, M. HW issues of current sensing by DC-link shunt resistor. In Proceedings of the 2018 ELEKTRO, Mikulov, Czech Republic, 21–23 May 2018; pp. 1–5. [Google Scholar] [CrossRef]
- Tiwari, S.; Midtgard, O.M.; Undeland, T.M. Experimental performance evaluation of two commercially available, 1.2 kV half-bridge SiC MOSFET modules. In Proceedings of the IECON 2016—42nd Annual Conference of the IEEE Industrial Electronics Society, Florence, Italy, 23–26 October 2016; pp. 1106–1111. [Google Scholar]
- Ferreira, J.; Cronje, W.; Relihan, W. Integration of high frequency current shunts in power electronic circuits. IEEE Trans. Power Electron. 1995, 10, 32–37. [Google Scholar] [CrossRef]
- Nibir, S.J.; Biglarbegian, M.; Parkhideh, B. A non-invasive DC-10-MHz wideband current sensor for ultra-fast current sensing in high-frequency power electronic converters. IEEE Trans. Power Electron. 2019, 34, 9095–9104. [Google Scholar] [CrossRef]
- Singh, R.P.; Khambadkone, A.M. Giant magneto resistive (GMR) effect based current sensing technique for low voltage/high current voltage regulator modules. IEEE Trans. Power Electron. 2008, 23, 915–925. [Google Scholar] [CrossRef]
- Parkhideh, B.; Nibir, S.J. Hybrid magnetoresistor-planar Rogowski current sensing scheme with folded trace magnetic field concentration technique. IEEE Sens. J. 2017, 17, 1. [Google Scholar] [CrossRef]
- Dalessandro, L.; Karrer, N.; Kolar, J.W. High-performance planar isolated current sensor for power electronics applications. IEEE Trans. Power Electron. 2007, 22, 1682–1692. [Google Scholar] [CrossRef]
- Ziegler, S.; Woodward, R.C.; Iu, H.H.C.; Borle, L.J. Current sensing techniques: A review. IEEE Sens. J. 2009, 9, 354–376. [Google Scholar] [CrossRef]
- Rosa, E.B. Calculation of the self-inductance of single-layer coils. Bull. Bur. Stand. 1906, 2, 161. [Google Scholar] [CrossRef]
- Mills, M.K. Inductive loop system equivalent circuit model. In Proceedings of the IEEE 39th Vehicular Technology Conference, San Francisco, CA, USA, 1–3 May 1989. [Google Scholar]
- Zhu, M.; Perreault, D.; Caliskan, V.; Neugebauer, T.; Guttowski, S.; Kassakian, J. Design and evaluation of feedforward active ripple filters. IEEE Trans. Power Electron. 2005, 20, 276–285. [Google Scholar] [CrossRef]
- Round, S.; Heldwein, M.; Kolář, J.; Hofsajer, I.; Friedrichs, P. A SiC JFET driver for a 5 kW, 150 kHz three-phase PWM converter. In Proceedings of the Fourtieth IAS Annual Meeting, Conference Record of the 2005 Industry Applications Conference, 2005, Kowloon, Hong Kong, China, 2–6 October 2005. [Google Scholar]
- Wang, J.; Shen, Z.; Burgos, R.; Boroyevich, D. Design of a high-bandwidth Rogowski current sensor for gate-drive shortcircuit protection of 1.7 kV SiC MOSFET power modules. In Proceedings of the 2015 IEEE 3rd Workshop on Wide Bandgap Power Devices and Applications (WiPDA), Blacksburg, VA, USA, 2–4 November 2015; pp. 104–107. [Google Scholar]
- Samimi, M.H.; Mahari, A.; Farahnakian, M.A.; Mohseni, H. The Rogowski coil principles and applications: A review. IEEE Sens. J. 2014, 15, 651–658. [Google Scholar] [CrossRef]
- Shafiq, M.; Kutt, L.; Lehtonen, M.; Nieminen, T.; Hashmi, M. Parameters identification and modeling of high-frequency current transducer for partial discharge measurements. IEEE Sens. J. 2012, 13, 1081–1091. [Google Scholar] [CrossRef]
- Robles, G.; Argüeso, M.; Sanz-Feito, J.; Giannetti, R.; Tellini, B. Identification of parameters in a Rogowski coil used for the measurement of partial discharges. In Proceedings of the 2007 IEEE Instrumentation & Measurement Technology Conference IMTC 2007, Warsaw, Poland, 1–3 May 2007; pp. 1–4. [Google Scholar]
- Zhang, Y.; Liu, J.; Bai, G.; Feng, J. Analysis of damping resistor’s effects on pulse response of self-integrating Rogowski coil with magnetic core. Measurement 2012, 45, 1277–1285. [Google Scholar] [CrossRef]
- Jiao, C.; Zhang, J.; Zhao, Z.; Zhang, Z.; Fan, Y. Research on small square PCB Rogowski coil measuring transient current in the power electronics devices. Sensors 2019, 19, 4176. [Google Scholar] [CrossRef]
- Tao, T.; Zhao, Z.; Ma, W.; Pan, Q.; Hu, A. design of PCB Rogowski coil and analysis of anti-interference property. IEEE Trans. Electromagn. Compat. 2016, 58, 344–355. [Google Scholar] [CrossRef]
- Bortis, D.; Biela, J.; Kolar, J. Active gate control for current balancing of parallel-connected IGBT modules in solid-state modulators. IEEE Trans. Plasma Sci. 2008, 36, 2632–2637. [Google Scholar] [CrossRef]
- Tsukuda, M.; Koga, M.; Nakashima, K.; Omura, I. Micro PCB Rogowski coil for current monitoring and protection of high voltage power modules. Microelectron. Reliab. 2016, 64, 479–483. [Google Scholar] [CrossRef]
- Zhao, L.; Van Wyk, J.; Odendaal, W. Planar embedded pick-up coil sensor for integrated power electronic modules. In Proceedings of the Nineteenth Annual IEEE Applied Power Electronics Conference and Exposition, 2004, APEC ’04, Anaheim, CA, USA, 22–26 February 2004. [Google Scholar]
- Xue, Y.; Lu, J.; Wang, Z.; Tolbert, L.M.; Blalock, B.J.; Wang, F. A compact planar Rogowski coil current sensor for active current balancing of parallel-connected Silicon Carbide MOSFETs. In Proceedings of the 2014 IEEE Energy Conversion Congress and Exposition (ECCE), Pittsburgh, PA, USA, 14–18 September 2014; pp. 4685–4690. [Google Scholar] [CrossRef]
- Wang, K.; Yang, X.; Li, H.; Wang, L.; Jain, P. A high-bandwidth integrated current measurement for detecting switching current of fast GaN devices. IEEE Trans. Power Electron. 2018, 33, 6199–6210. [Google Scholar] [CrossRef]
- Ray, W.F. Rogowski transducers for high bandwidth high current measurement. In Proceedings of the IEE Colloquium on Low Frequency Power Measurement and Analysis (Digest No. 1994/203), London, UK, 2 November 1994. [Google Scholar]
- Ray, W.; Hewson, C. High performance Rogowski current transducers. In Proceedings of the Conference Record of the 2000 IEEE Industry Applications Conference. Thirty-Fifth IAS Annual Meeting and World Conference on Industrial Applications of Electrical Energy (Cat. No.00CH37129), Rome, Italy, 8–12 October 2002. [Google Scholar] [CrossRef]
- Li, W.; Yin, X.; Chen, D.; Chen, W.; Zhang, Z.; Xia, Y. The Study of Transient Performance of Current Sensor Based on Rogowski Coil and Its Application in Dynamic Simulation Experiment. In Proceedings of the 2006 International Conference on Power System Technology, Institute of Electrical and Electronics Engineers (IEEE), Chongqing, China, 22–26 October 2006; pp. 1–6. [Google Scholar]
- Liu, Y.; Lin, F.; Zhang, Q.; Zhong, H. Design and construction of a Rogowski coil for measuring wide pulsed current. IEEE Sens. J. 2010, 11, 123–130. [Google Scholar] [CrossRef]
















| Pattern Structure | Fishbone | Saw Blade | Triangle | Rectangle |
|---|---|---|---|---|
| Skeleton | ![]() | ![]() | ![]() | ![]() |
| PCB Layout | ![]() | ![]() | ![]() | ![]() |
| Mutual Inductance (M) | 1.15 nH | 1.15 nH | 1.15 nH | 1.15 nH |
| Self Inductance (Ls) | 20.14 nH | 19.23 nH | 19.14 nH | 12.65 nH |
| Ls/M | 17.5 | 16.7 | 16.6 | 11 |
| Parameter | Values (Unit) |
|---|---|
| Mutual Inductance | 3.49 nH |
| Self-Inductance | 21.32 nH |
| Self-Capacitance | 0.7 pF |
| Self-Resistance | 0.034 Ω |
| Damping Resistance | 120 Ω |
| Integrator Resistance | 72 Ω |
| Integrator Capacitance | 470 pF |
© 2020 by the authors. Licensee MDPI, Basel, Switzerland. This article is an open access article distributed under the terms and conditions of the Creative Commons Attribution (CC BY) license (http://creativecommons.org/licenses/by/4.0/).
Share and Cite
Kim, U.-J.; Song, M.-S.; Kim, R.-Y. PCB-Based Current Sensor Design for Sensing Switch Current of a Nonmodular GaN Power Semiconductor. Energies 2020, 13, 5161. https://doi.org/10.3390/en13195161
Kim U-J, Song M-S, Kim R-Y. PCB-Based Current Sensor Design for Sensing Switch Current of a Nonmodular GaN Power Semiconductor. Energies. 2020; 13(19):5161. https://doi.org/10.3390/en13195161
Chicago/Turabian StyleKim, Ui-Jin, Min-Soo Song, and Rae-Young Kim. 2020. "PCB-Based Current Sensor Design for Sensing Switch Current of a Nonmodular GaN Power Semiconductor" Energies 13, no. 19: 5161. https://doi.org/10.3390/en13195161
APA StyleKim, U.-J., Song, M.-S., & Kim, R.-Y. (2020). PCB-Based Current Sensor Design for Sensing Switch Current of a Nonmodular GaN Power Semiconductor. Energies, 13(19), 5161. https://doi.org/10.3390/en13195161









