CFD and PIV Investigation of a Liquid Flow Maldistribution across a Tube Bundle in the Shell-and-Tube Heat Exchanger with Segmental Baffles
Abstract
1. Introduction
1.1. Insights from Literature in the Field of CFD Application in Heat Exchangers
1.2. Insights from the Literature in the Field of PIV Application in Heat Exchangers
1.3. The Research Gap and the Adopted Target of the Study
2. Materials and Methods
2.1. Numerical Model and Computational Scheme
2.2. Application of Particle Image Velocimetry Technique
2.3. Assumptions and Conditions Applied in the Research
3. Results and Discussion
3.1. Analysis of Sensitivity of Computational Mesh and Validation of Research Method
3.1.1. Analysis of Sensitivity of Computational Mesh
3.1.2. Validation of Research Methods
3.2. Analysis of a Liquid Flow Maldistribution across the Tube Bundle
4. Conclusions
- The study presented a method of eliminating perspective phenomenon on the recorded image of the shell side resulting from the geometric modification involving the removal of a section of the tube bundle behind the last baffle. This procedure extends the area of the image feasible for the planar PIV analysis of the full cross-section resulting from the actual geometry of the shell side. At the same time, the variations in the hydrodynamic parameters resulting from the removal of a section of the tube bundle remain at an acceptable level. The maximum differences of the dimensionless parameters defining the velocities differ by a maximum of 3.5%, also pressure drops vary within a small range that does not exceed 3%.
- The results obtained in the validation process (in relation to the values of pressure drops obtained on the basis of experimental tests and the values of average and maximum velocities - in relation to the PIV tests) of the adopted numerical strategy allow us to conclude that, in case of the numerical calculations in the shell side of a STHE, the use of hybrid mesh with tetrahedral cells and the standard k-ε model with RANS enables reliable analysis of the flow inside the heat exchanger.
- Liquid flow maldistributions were identified in the studies. Two central streams could be distinguished, flowing in parallel on both sides of the middle row of tubes. Between the tubes in the middle row, regardless of the flow rate Q, there were cyclic areas with reduced velocity and high vortex generation potential. Their occurrence was considered unfavorable due to their negative role in forming heat transfer parameters.
- In the areas on the outer sides of the central streams there were symmetrical oblique streams, where the regions of reduced velocities did not extend to the subsequent tube rows. Oblique liquid flow in an in-line layout transforms the flow patterns toward structures specific to liquid flow into a staggered layout.
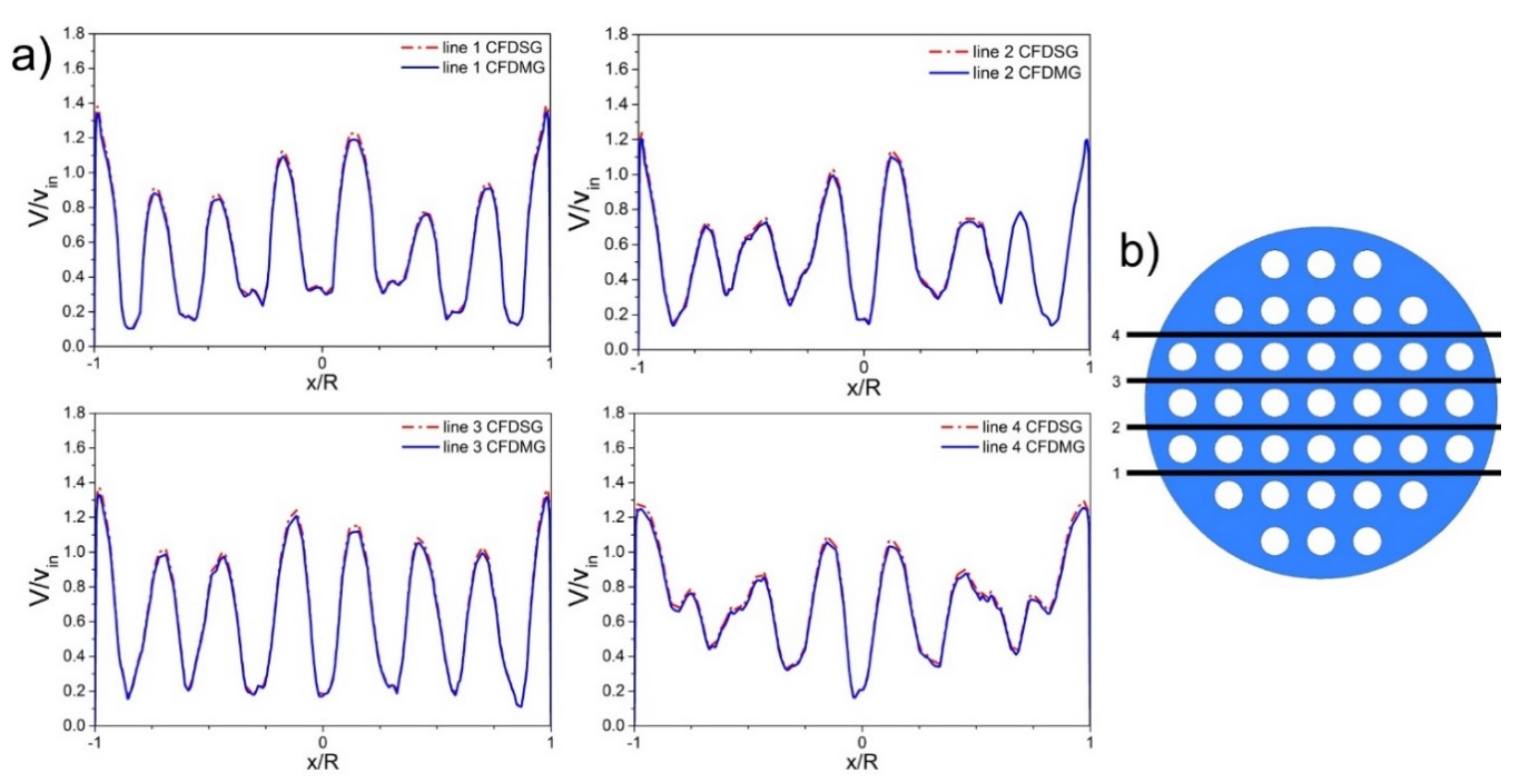
- An increase in the velocity gradient was observed with an increase in the flow rate Q for the successive tube rows. The highest velocity gradient was noted for line 1 and the lowest for line 4 located in Figure 13. On this basis, it was concluded that the evolution of velocity in the tested geometry is an important factor that should be taken into account in thermal calculations.
- The phenomenon of the displacement of vortices in the baffle window was observed. This can potentially lead to unfavorable erosive effects on tubes within the vortex zone. Structural elements in the form of bars in the lower part of the exchanger shell may prevent the displacement of vortices in the baffle window. Such modifications are likely to extend the effective service life of the heat exchanger.
Author Contributions
Funding
Conflicts of Interest
References
- Bhutta, M.M.A.; Hayat, N.; Bashir, M.H.; Khan, A.R.; Ahmad, K.N.; Khan, S. CFD applications in various heat exchangers design: A review. Appl. Therm. Eng. 2012, 32, 1–12. [Google Scholar] [CrossRef]
- Zhang, Z.; Li, Y. CFD simulation on inlet configuration of plate-fin heat exchangers. Cryogenics 2003, 43, 673–678. [Google Scholar] [CrossRef]
- Yataghene, M.; Pruvost, J.; Fayolle, F.; Legrand, J. CFD analysis of the flow pattern and local shear rate in a scraped surface heat exchanger. Chem. Eng. Process. Process. Intensif. 2008, 47, 1550–1561. [Google Scholar] [CrossRef]
- Zhang, L.-Z. Flow maldistribution and thermal performance deterioration in a cross-flow air to air heat exchanger with plate-fin cores. Int. J. Heat Mass Transf. 2009, 52, 4500–4509. [Google Scholar] [CrossRef]
- Kim, M.I.; Lee, Y.; Kim, B.W.; Lee, D.H.; Song, W.S. CFD modeling of shell-and-tube heat exchanger header for uniform distribution among tubes. Korean J. Chem. Eng. 2009, 26, 359–363. [Google Scholar] [CrossRef]
- Ozden, E.; Tari, I. Shell side CFD analysis of a small shell-and-tube heat exchanger. Energy Convers. Manag. 2010, 51, 1004–1014. [Google Scholar] [CrossRef]
- Wang, Q.Y.; Dong, M.L. Characteristics of fluid flow and heat transfer in shell side of heat exchangers with longitudinal flow of shell side fluid with different supporting structures. In Proceedings of the International Conference on Power Engineering, Singapore, 3–6 December 2007. [Google Scholar]
- Wang, Q.; Chen, Q.; Chen, G.; Zeng, M. Numerical investigation on combined multiple shell-pass shell-and-tube heat exchanger with continuous helical baffles. Int. J. Heat Mass Transf. 2009, 52, 1214–1222. [Google Scholar] [CrossRef]
- Mohammadi, K.; Heidemann, W.; Muller-Steinhagen, H. Numerical investigation of the effect of baffle orientation on heat transfer and pressure drop in a shell and tube heat exchanger with leakage flows. Heat Transf. Eng. 2009, 30, 1123–1135. [Google Scholar] [CrossRef]
- Raj, V.A.A.; Velraj, R. Heat transfer and pressure drop studies on a PCM-heat exchanger module for free cooling applications. Int. J. Therm. Sci. 2011, 50, 1573–1582. [Google Scholar] [CrossRef]
- Sun, Y.; Wang, X.; Long, R.; Yuan, F.; Yang, K. Numerical investigation and optimization on shell side performance of a shell and tube heat exchanger with inclined trefoil-hole baffles. Energies 2019, 12, 4138. [Google Scholar] [CrossRef]
- Jun, S.; Puri, V.M. 3D milk-fouling model of plate heat exchangers using computational fluid dynamics. Int. J. Dairy Technol. 2005, 58, 214–224. [Google Scholar] [CrossRef]
- de Bonis, M.V.; Ruocco, G. Conjugate fluid flow and kinetics modeling for heat exchanger fouling simulation. Int. J. Therm. Sci. 2009, 48, 2006–2012. [Google Scholar] [CrossRef]
- Iwaki, C.; Cheong, K.-H.; Monji, H.; Matsui, G. PIV measurement of the vertical cross-flow structure over tube bundles. Exp. Fluids 2004, 37, 350–363. [Google Scholar] [CrossRef]
- Iwaki, C.; Cheong, K.-H.; Monji, H.; Matsui, G. Vertical, bubbly, cross-flow characteristics over tube bundles. Exp. Fluids 2005, 39, 1024–1039. [Google Scholar] [CrossRef]
- Zhang, X.; Daghrah, M.; Wang, Z.; Liu, Q.; Jarman, P.; Negro, M. Experimental verification of dimensional analysis results on flow distribution and pressure drop for disc-type windings in OD cooling modes. IEEE Trans. Power Deliv. 2017, 33, 1647–1656. [Google Scholar] [CrossRef]
- Talapatra, S.; Farrell, K. Planar PIV experiments inside a transparent shell-and-tube exchanger. SME Int. Mech. Eng. Congr. Expo. Proc. 2014, 7. [Google Scholar] [CrossRef]
- Bouhairie, S.; Talapatra, S.; Farrell, K. Turbulent flow in a no-tube-in-window shell-and-tube heat exchanger: CFD vs PIV. ASME Int. Mech. Eng. Congr. Expo. Proc. 2014, 7. [Google Scholar] [CrossRef]
- Talapatra, S.; Farrell, K. Two-phase flow regimes in exchangers and piping: Part 1. ASME Int. Mech. Eng. Congr. Expo. Proc 2015, 57465. [Google Scholar] [CrossRef]
- Wang, K.; Zhang, Z.; Liu, Q.; Tu, X.; Kim, H.-B. PIV measurement of tube-side in a shell and tube heat exchanger. Pol. J. Chem. Technol. 2018, 20, 60–66. [Google Scholar] [CrossRef]
- Liu, P.; Zheng, N.; Rui, L.; Shan, F.; Liu, Z.; Liu, W. PIV measurement of flow structures in a circular heat exchange tube with central slant rod inserts. Energy Procedia 2017, 142, 3793–3798. [Google Scholar] [CrossRef]
- Lee, S.; Delgado, M.; Hassan, Y.; Lee, S.J. Experimental investigation of the isothermal flow field across slant 5-tube bundles in helically coiled steam generator geometry using PIV. Nucl. Eng. Des. 2018, 338, 261–268. [Google Scholar] [CrossRef]
- Delgado, M.; Lee, S.; Hassan, Y.; Anand, N.K. Flow visualization study at the interface of alternating pitch tube bundles in a model helical coil steam generator using particle image velocimetry. Int. J. Heat Mass Transf. 2018, 122, 614–628. [Google Scholar] [CrossRef]
- Delgado, M.; Hassan, Y.; Anand, N.K. Experimental flow visualization study using particle image velocimetry in a helical coil steam generator with changing lateral pitch geometry. Int. J. Heat Mass Transf. 2019, 133, 756–768. [Google Scholar] [CrossRef]
- Im, S.; Kim, H.T.; Rhee, B.W.; Sung, H.J. PIV measurements of the flow patterns in a CANDU-6 model. Ann. Nucl. Energy 2016, 98, 1–11. [Google Scholar] [CrossRef]
- Chang, T.-H.; Lee, C.-H.; Lee, H.-S.; Lee, K.-S. Velocity profiles between two baffles in a shell and tube heat exchanger. J. Therm. Sci. 2015, 24, 356–363. [Google Scholar] [CrossRef]
- Wen, J.; Yang, H.; Wang, S.; Gu, X. PIV experimental investigation on shell-side flow patterns of shell and tube heat exchanger with different helical baffles. Int. J. Heat Mass Transf. 2017, 104, 247–259. [Google Scholar] [CrossRef]
- Fluent Inc. In FLUENT 6.3 User s Guide. Options; Fluent Inc. Centerra Resource Park 10 Cavendish Court: Lebanon, NH, USA, 2006.
- Yang, J.; Liu, W. Numerical investigation on a novel shell-and-tube heat exchanger with plate baffles and experimental validation. Energy Convers. Manag. 2015, 101, 689–696. [Google Scholar] [CrossRef]
- Shahril, S.; Quadir, G.; Amin, N.; Badruddin, I.A. Thermo hydraulic performance analysis of a shell-and-double concentric tube heat exchanger using CFD. Int. J. Heat Mass Transf. 2017, 105, 781–798. [Google Scholar] [CrossRef]
- el Maakoul, A.; Laknizi, A.; Saadeddine, S.; el Metoui, M.; Zaite, A.; Meziane, M.; Ben-Abdellah, A. Numerical comparison of shell-side performance for shell and tube heat exchangers with trefoil-hole, helical and segmental baffles. Appl. Therm. Eng. 2016, 109, 175–185. [Google Scholar] [CrossRef]
- Pal, E.; Kumar, I.; Joshi, J.; Maheshwari, N. CFD simulations of shell-side flow in a shell-and-tube type heat exchanger with and without baffles. Chem. Eng. Sci. 2016, 143, 314–340. [Google Scholar] [CrossRef]
- You, Y.; Chen, Y.; Xie, M.; Luo, X.; Jiao, L.; Huang, S. Numerical simulation and performance improvement for a small size shell-and-tube heat exchanger with trefoil-hole baffles. Appl. Therm. Eng. 2015, 89, 220–228. [Google Scholar] [CrossRef]
- Leoni, G.B.; Klein, T.S.; Medronho, R.D.A. Assessment with computational fluid dynamics of the effects of baffle clearances on the shell side flow in a shell and tube heat exchanger. Appl. Therm. Eng. 2017, 112, 497–506. [Google Scholar] [CrossRef]
- Nogueira, X.; Taylor, B.J.; Gomez, H.; Colominas, I.; Mackley, M.R. Experimental and computational modeling of oscillatory flow within a baffled tube containing periodic-tri-orifice baffle geometries. Comput. Chem. Eng. 2013, 49, 1–17. [Google Scholar] [CrossRef]
- Ambekar, A.S.; Sivakumar, R.; Anantharaman, N.; Vivekenandan, M. CFD simulation study of shell and tube heat exchangers with different baffle segment configurations. Appl. Therm. Eng. 2016, 108, 999–1007. [Google Scholar] [CrossRef]
- Versteeg, H.K.; Malalasekera, W.; Orsi, G.; Ferziger, J.H.; Date, A.W.; Anderson, J.D. An Introduction to Computational Fluid Dynamics—The Finite Volume Method; Pearson Education Limited: London, UK, 1995; ISBN 9783540594345. [Google Scholar]
- Adrian, R.J.; Westerweel, J. Particle Image Velocimetry; Cambridge University Press: New York, NY, USA, 2011; ISBN 978-0-521-44008-0. [Google Scholar]
- Tropea, C.; Yarin, A.L.; Foss, J.F. Springer Handbook of Experimental Fluid Mechanics; Springer: Berlin/Heidelberg, Germany, 2007. [Google Scholar]
- Binyet, E.M.; Chang, J.-Y.; Huang, C.-Y. Flexible plate in the wake of a square cylinder for piezoelectric energy harvesting—Parametric study using fluid–structure interaction modeling. Energies 2020, 13, 2645. [Google Scholar] [CrossRef]
- Matsubara, T.; Shima, Y.; Aono, H.; Ishikawa, H.; Segawa, T. Effects of jet induced by string-type plasma actuator on flow around three-dimensional bluff body and drag force. Energies 2020, 13, 872. [Google Scholar] [CrossRef]
- Liu, D.; Wang, Y.Z.; Shi, W.; Kim, H.-B.; Tang, A. Slit wall and heat transfer effect on the taylor vortex Flow. Energies 2015, 8, 1958–1974. [Google Scholar] [CrossRef]
- Paul, S.; Tachie, M.F.; Ormiston, S. Experimental study of turbulent cross-flow in a staggered tube bundle using particle image velocimetry. Int. J. Heat Fluid Flow 2007, 28, 441–453. [Google Scholar] [CrossRef]
- Gogolin, A.; Wasilewski, M.; Ligus, G.; Wojciechowski, S.; Gapiński, B.; Krolczyk, J.B.; Zajac, D.; Krolczyk, G. Influence of geometry and surface morphology of the U-tube on the fluid flow in the range of various velocities. Measurement 2020, 164, 108094. [Google Scholar] [CrossRef]



















| Dimension | Value, m |
|---|---|
| D | 0.244 |
| Dout | 0.1 |
| Din | 0.1 |
| S | 0.178 |
| g | 0.0035 |
| L | 2 |
| h | 0.183 |
| t | 0.030 |
| dz | 0.020 |
| L1 | 1.7665 |
| L2 | 0.0135 |
| L3 | 1.8213 |
| Parameter | Mesh 1 | Mesh 2 | Mesh 3 | Mesh 4 | Experimental Results and PIV |
|---|---|---|---|---|---|
| Total number of elements | 8,435,989 | 10,266,557 | 12,112,572 | 12,972,099 | — |
| Mean skewness | 0.25 | 0.24 | 0.23 | 0.23 | — |
| Maximum velocity [m/s] | 0.68 | 0.67 | 0.65 | 0.65 | 0.58 |
| Results compatibility [%] | 85 | 87 | 89 | 89 | — |
| Pressure drop ΔP [Pa] | 2960 | 2930 | 2900 | 2904 | 2698 |
| Results compatibility [%] | 91 | 92 | 93 | 93 | — |
| Parameter | Value | ||
|---|---|---|---|
| Volumetric Flow rate [m3/h] | 5 | 7.5 | 10 |
| Pressure drop (CFD) [Pa] | 758 | 1693 | 2900 |
| Pressure drop (exp. results) [Pa] | 746 | 1656 | 2698 |
| Results compatibility [%] | 98 | 98 | 93 |
| Maximum velocity CFD [m/s] | 0.31 | 0.5 | 0.65 |
| Maximum velocity PIV [m/s] | 0.28 | 0.45 | 0.58 |
| Results compatibility [%] | 90 | 90 | 89 |
| Mean velocity CFD [m/s] | 0.17 | 0.26 | 0.35 |
| Mean velocity PIV [m/s] | 0.16 | 0.24 | 0.32 |
| Results compatibility [%] | 94 | 92 | 91 |
© 2020 by the authors. Licensee MDPI, Basel, Switzerland. This article is an open access article distributed under the terms and conditions of the Creative Commons Attribution (CC BY) license (http://creativecommons.org/licenses/by/4.0/).
Share and Cite
Ligus, G.; Wasilewski, M.; Kołodziej, S.; Zając, D. CFD and PIV Investigation of a Liquid Flow Maldistribution across a Tube Bundle in the Shell-and-Tube Heat Exchanger with Segmental Baffles. Energies 2020, 13, 5150. https://doi.org/10.3390/en13195150
Ligus G, Wasilewski M, Kołodziej S, Zając D. CFD and PIV Investigation of a Liquid Flow Maldistribution across a Tube Bundle in the Shell-and-Tube Heat Exchanger with Segmental Baffles. Energies. 2020; 13(19):5150. https://doi.org/10.3390/en13195150
Chicago/Turabian StyleLigus, Grzegorz, Marek Wasilewski, Szymon Kołodziej, and Daniel Zając. 2020. "CFD and PIV Investigation of a Liquid Flow Maldistribution across a Tube Bundle in the Shell-and-Tube Heat Exchanger with Segmental Baffles" Energies 13, no. 19: 5150. https://doi.org/10.3390/en13195150
APA StyleLigus, G., Wasilewski, M., Kołodziej, S., & Zając, D. (2020). CFD and PIV Investigation of a Liquid Flow Maldistribution across a Tube Bundle in the Shell-and-Tube Heat Exchanger with Segmental Baffles. Energies, 13(19), 5150. https://doi.org/10.3390/en13195150

