Experimental Investigation on Influence of Shed Parameters on Surface Rainwater Characteristics of Large-Diameter Composite Post Insulators under Rain Conditions
Abstract
1. Introduction
2. Experiment Setup
2.1. Test Arrangement
2.2. Test Samples
2.3. Test Procedures
3. Selections of Exposure Time and Parameters of Surface Rainwater Characteristics
3.1. Selection of Exposure Time
3.2. Selection of Parameters of Surface Rainwater Characteristics
3.2.1. The Length of Water Columns at the Edge of Large Sheds (Lwc)
3.2.2. The Number of Water Columns at the Edge of Large Sheds (Nwc)
3.2.3. The Number of Water Droplets at the Edge of Large Sheds (Nwde)
3.2.4. The Number of Water Droplets in the Space between Two Adjacent Large Sheds (Nwds)
3.2.5. The Definition of Water Column and Water Droplet
4. Experimental Results and Analyses
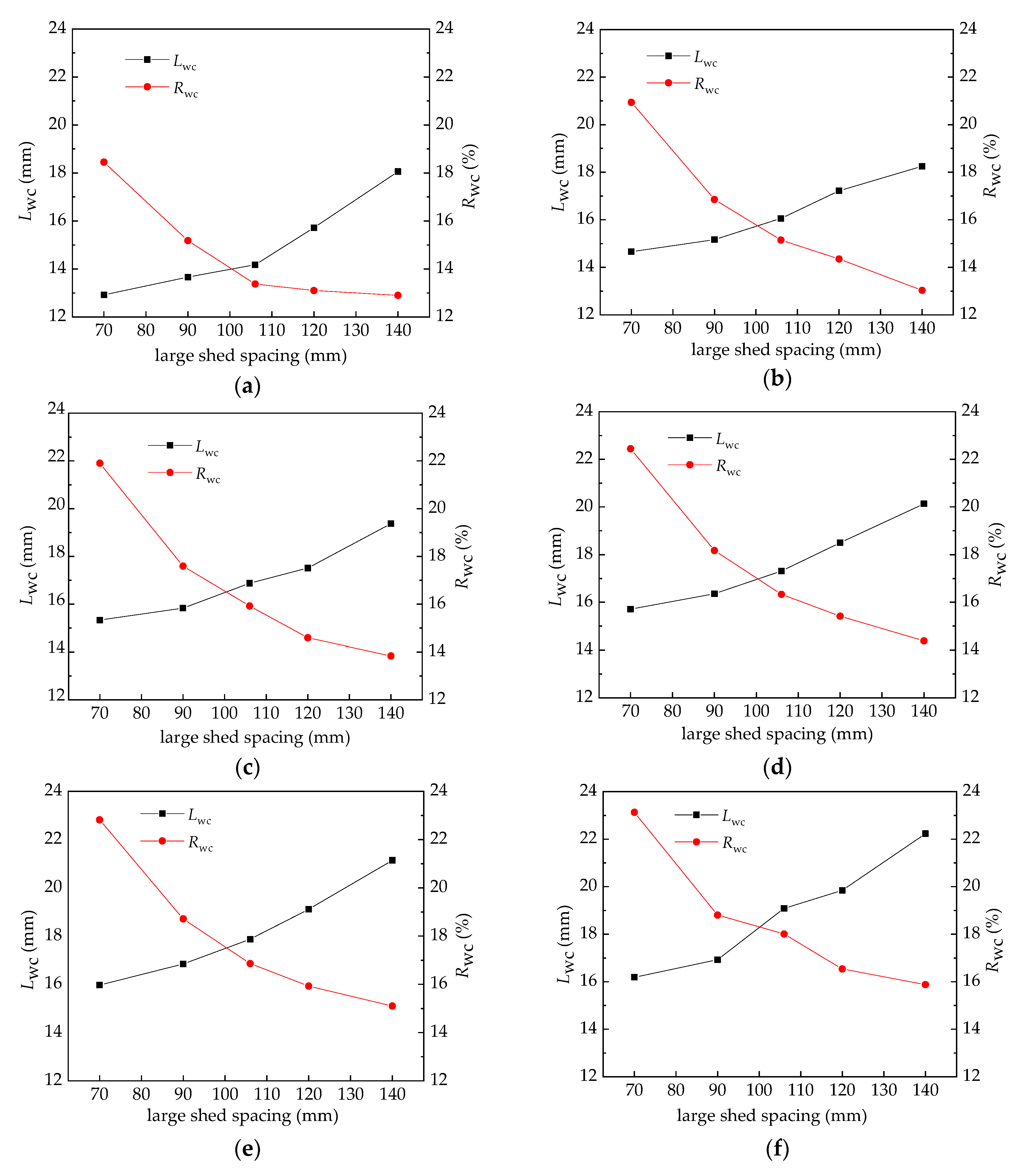
4.1. Influence of Large Shed Spacing on Parameters of Surface Rainwater Characteristics
4.2. Influence of Large Shed Overhang on Parameters of Surface Rainwater Characteristics
4.3. Influence of Rod Diameter on Parameters of Surface Rainwater Characteristics
4.4. Influence of Rainfall Intensity on Rain Flashover Voltage
5. Conclusions
- (1)
- The effect of mutual shielding between the sheds is weakened as the shed spacing increases, causing the expansion of the area of the rod and the sheds exposed to rain, leading to more rainwater gathering on the insulator surface. As a result, the lengths of water columns, the number of water columns and the number of water droplets rise. The increase in large shed spacing is greater than that of the length of the water columns and the number of water droplets in the space between two adjacent large sheds. Consequently, the ratio of the length of the water columns to large shed spacing and the number of water droplets in the space between two adjacent large sheds per unit insulation height fall with the increase in large shed spacing.
- (2)
- When large shed overhang increases, the overhang of small shed also rises, while its extension is less than that of the large shed. In general, the area of the insulator surface suffering rain expands and there is more rainwater gathering, leading to the increases in the lengths of water columns, the number of water columns and the number of water droplets.
- (3)
- With the increase in rod diameter, the area of the circular sheds exposed in the rain increases and there is more rainwater gathering. Additionally, the increase in the rod diameter leads to an increase in the circumference of sheds. Therefore, the distributions of water columns, water droplets at the edge of large sheds, and water droplets in the spacing between two adjacent large sheds are more extensive, and the number of them rises at the same time.
- (4)
- When the rainfall intensity increases, rainwater on the insulator surface will obviously increase as time goes on, resulting in the increase in all rain characteristic parameters. When the rainfall intensity increases from 8 mm/min to 10 mm/min, Nwds rises significantly, which is because the rainfall of 10 mm/min is very intense, and the rainwater will rebound when it falls on the surface of the shed and rod; thus, more discrete water drops will be formed between the large sheds.
- (5)
- The rain flashover voltage decreases with the rise in rainfall intensity. This is because the increases in the number and length of water columns make the local arcs bridge sheds easily, resulting in the lower flashover voltage.
Author Contributions
Funding
Conflicts of Interest
References
- Zhang, Z.Z.; Yang, S.H.; Jiang, X.L.; Qiao, X.H.; Xiang, Y.Z.; Zhang, D.D. DC flashover dynamic model of post insulator under non-uniform pollution between windward and leeward sides. Energies 2019, 12, 2345. [Google Scholar] [CrossRef]
- Zhang, F.Z.; Wang, L.M.; Guan, Z.C.; Mark, M. Influence of composite insulator shed design on contamination flashover performance at high altitudes. IEEE Trans. Dielectr. Electr. Insul. 2011, 18, 739–744. [Google Scholar] [CrossRef]
- Zhang, C.Y.; Wang, L.L.; Guan, Z.C.; Zhang, F.Z. Pollution flashover performance of full-scale ±800 kV converter station post insulators at high altitude area. IEEE Trans. Dielectr. Electr. Insul. 2013, 20, 717–726. [Google Scholar]
- Rizk, F.A.M. Mechanism of insulator flashover under artificial rain. Proc. Inst. Electr. Eng. 1975, 122, 449–454. [Google Scholar] [CrossRef]
- Okada, N.; Ikeda, K.; Sumi, S.; Kondo, K.; Ito, S. Contamination withstand voltage characteristics of hydrophobic polymer insulators under simulated rain conditions. In Proceedings of the 2002 IEEE International Symposium on Electrical Insulation, Boston, MA, USA, 7–10 April 2002; pp. 228–231. [Google Scholar]
- Farzaneh, M.; Kiernicki, J. Flashover performance of IEEE standard insulators under ice conditions. IEEE Trans. Power Deliv. 1997, 12, 1602–1613. [Google Scholar]
- Hu, Q.; Wang, S.J.; Shu, L.C.; Jiang, X.L.; Qiu, G.; Li, H.T. Influence of shed configuration on icing characteristics and flashover performance of 220 kV composite insulators. IEEE Trans. Dielectr. Electr. Insul. 2016, 23, 319–330. [Google Scholar] [CrossRef]
- Ohba, M.; Sugimoto, S. Differences in climate change impacts between weather patterns: Possible effects on spatial heterogeneous changes in future extreme rainfall. Clim. Dyn. 2019, 52, 4177–4191. [Google Scholar] [CrossRef]
- McDermid, W.; Black, T. Experience with Preventing External Flashovers in HVDC Converter Stations. In Proceedings of the 2008 IEEE International Symposium on Electrical Insulation, Vancouver, BC, Canada, 9–12 June 2008; pp. 81–84. [Google Scholar]
- McDermid, W.; Black, T. External flashovers, related insulation failures and corrective measures in converter stations of Nelson River bipole 1 and bipole 2. IEEE Trans. Dielectr. Electr. Insul. 2014, 21, 2406–2414. [Google Scholar] [CrossRef]
- Tan, O. Study on Heavy Rain Test Method of Composite Insulator. Master’s Thesis, South China University of Technology, Guangzhou, China, April 2019. [Google Scholar]
- Su, Z.Y. To prevent the big bushing flashover the focal point of external insulation design of the UHV transformation equipment. Electr. Power 2001, 34, 52–55. [Google Scholar]
- Chai, Z. Research on Property and Protection Measures of Contaminated Station Insulator’s Heavy Rain Flashover. Master’s Thesis, China Electric Power Research Institute, Beijing, China, April 2017. (In Chinese). [Google Scholar]
- Wei, X.X.; Li, J.P.; Chu, J.W.; Xia, G.L.; Chen, W. Application of composite insulators and analysis of rain flashover in converter stations. High Volt. Eng. 2017, 43, 3958–3963. (In Chinese) [Google Scholar]
- International Standard IEC/TS 60815. Selection and Dimensioning of High-Voltage Insulators Intended for Use in Polluted Conditions; IEC: Geneva, Switzerland, 2008. [Google Scholar]
- De la O, A.; Gorur, R.S. Flashover of contaminated nonceramic outdoor insulators in a wet atmosphere. IEEE Trans. Dielectr. Electr. Insul. 1998, 5, 814–823. [Google Scholar] [CrossRef]
- Ishiwari, M.; Ito, S.; Arakawa, K.; Nakachi, T.; Kondo, K. Various artificial contamination withstand voltage test methods and a comparison of their results on polymer and porcelain insulators. In Proceedings of the 1999 Eleventh International Symposium on High Voltage Engineering, London, UK, 27–23 August 1999. [Google Scholar]
- Lan, L.; Gorur, R.S. Computation of AC wet flashover voltage of ceramic and composite insulators. IEEE Trans. Dielectr. Electr. Insul. 2008, 15, 1346–1352. [Google Scholar] [CrossRef]
- Fan, J.B.; Su, Z.Y.; Li, W.F.; Li, P.; Zhou, J. Research on profiles of HVDC post insulator and bushing. Proc. CSEE 2007, 27, 1–6. (In Chinese) [Google Scholar]
- Zhang, C.Y.; Meng, X.B.; Zhang, F.Z.; Li, R.H.; Ma, Y.; Mei, H.W.; Wang, L.M.; Guan, Z.C. Research on the DC rain flashover mechanism of polluted post insulators. Proc. CSEE 2014, 34, 1481–1489. (In Chinese) [Google Scholar]
- Zhang, C.Y.; Wang, L.M.; Guan, Z.C. Investigation of DC discharge behavior of polluted porcelain post insulator in artificial rain. IEEE Trans. Dielectr. Electr. Insul. 2016, 23, 331–338. [Google Scholar] [CrossRef]
- Wang, G.L.; Lu, G.Q.; Li, R.H.; Han, W.Q.; Wang, B. Construction of National Engineering Laboratory for UHV Engineering Technology (Kunming). High Volt. Eng. 2009, 35, 1553–1558. (In Chinese) [Google Scholar]
- China Standard GB/T775.2. Test Method for Insulators—Part 2: Electrical Test Methods; Standards Press of China: Beijing, China, 2003. (In Chinese) [Google Scholar]
- Lu, J.Z.; Xie, P.K.; Hu, J.P. AC Flashover Performance of 10 kV Rod-Plane Air-Gapped Arresters under Rain Conditions. Energies 2018, 11, 1563. [Google Scholar] [CrossRef]
- Naito, K.; Matsuoka, R.; Ito, S.; Morikawa, S. An investigation of the horizontally mounted insulators for HVDC stations. IEEE Trans. Power Deliv. 1989, 4, 653–666. [Google Scholar] [CrossRef]
- Xu, Z.N.; Lv, F.C.; Li, H.M. Influence of separated globules on post insulator electric field distribution. High Volt. Eng. 2010, 36, 2278–2284. (In Chinese) [Google Scholar]
- Courant, R.; Friedrichs, K.; Lewy, H. On the Partial Difference Equations of Mathematical Physics. IBM J. Res. Dev. 1967, 11, 215–234. [Google Scholar]
- Yang, L.; Sun, Y.J.; Liao, Y.F.; Kuang, Z.Q.; Hao, Y.P.; Li, L.C.; Zhang, F.Z. Dynamic Deformation of Pendant Drops on theEdge of High-Voltage Bushing Sheds Under Extreme Rainfall. IEEE Access 2020, 8, 118101–118113. [Google Scholar] [CrossRef]















| Specimen | S1/mm | S2/mm | P1/mm | P2/mm | l/mm | h/mm | D/mm | Cf |
|---|---|---|---|---|---|---|---|---|
| A1 | 90 | 45 | 65 | 50 | 3913 | 1250 | 280 | 3.13 |
| A2 | 90 | 45 | 80 | 60 | 4563 | 1250 | 280 | 3.65 |
| A3 | 90 | 45 | 105 | 75 | 5564 | 1250 | 280 | 4.45 |
| A4 | 90 | 45 | 120 | 80 | 6150 | 1250 | 280 | 4.92 |
| A5 | 90 | 45 | 135 | 90 | 6800 | 1250 | 280 | 5.44 |
| A6 | 70 | 35 | 105 | 75 | 7000 | 1250 | 280 | 5.60 |
| A7 | 106 | 53 | 105 | 75 | 5000 | 1250 | 280 | 4.00 |
| A8 | 120 | 60 | 105 | 75 | 4650 | 1250 | 280 | 3.72 |
| A9 | 140 | 70 | 105 | 75 | 4120 | 1250 | 280 | 3.30 |
| A10 | 90 | 45 | 105 | 75 | 5564 | 1250 | 380 | 4.45 |
| A11 | 90 | 45 | 105 | 75 | 5930 | 1250 | 445 | 4.72 |
| A12 | 90 | 45 | 105 | 75 | 5930 | 1250 | 506 | 4.72 |
| A13 | 90 | 45 | 105 | 75 | 5780 | 1250 | 625 | 4.62 |
© 2020 by the authors. Licensee MDPI, Basel, Switzerland. This article is an open access article distributed under the terms and conditions of the Creative Commons Attribution (CC BY) license (http://creativecommons.org/licenses/by/4.0/).
Share and Cite
Hao, Y.; Liao, Y.; Kuang, Z.; Sun, Y.; Shang, G.; Zhang, W.; Mao, G.; Yang, L.; Zhang, F.; Li, L. Experimental Investigation on Influence of Shed Parameters on Surface Rainwater Characteristics of Large-Diameter Composite Post Insulators under Rain Conditions. Energies 2020, 13, 5011. https://doi.org/10.3390/en13195011
Hao Y, Liao Y, Kuang Z, Sun Y, Shang G, Zhang W, Mao G, Yang L, Zhang F, Li L. Experimental Investigation on Influence of Shed Parameters on Surface Rainwater Characteristics of Large-Diameter Composite Post Insulators under Rain Conditions. Energies. 2020; 13(19):5011. https://doi.org/10.3390/en13195011
Chicago/Turabian StyleHao, Yanpeng, Yifan Liao, Zhiqiang Kuang, Yijie Sun, Gaofeng Shang, Weixun Zhang, Guiyun Mao, Lin Yang, Fuzeng Zhang, and Licheng Li. 2020. "Experimental Investigation on Influence of Shed Parameters on Surface Rainwater Characteristics of Large-Diameter Composite Post Insulators under Rain Conditions" Energies 13, no. 19: 5011. https://doi.org/10.3390/en13195011
APA StyleHao, Y., Liao, Y., Kuang, Z., Sun, Y., Shang, G., Zhang, W., Mao, G., Yang, L., Zhang, F., & Li, L. (2020). Experimental Investigation on Influence of Shed Parameters on Surface Rainwater Characteristics of Large-Diameter Composite Post Insulators under Rain Conditions. Energies, 13(19), 5011. https://doi.org/10.3390/en13195011

