Degradation Mechanism Due to Water Ingress Effect on the Top Contact of Cu(In,Ga)Se2 Solar Cells
Abstract
:1. Introduction
2. Materials and Methods
3. Results and Discussion
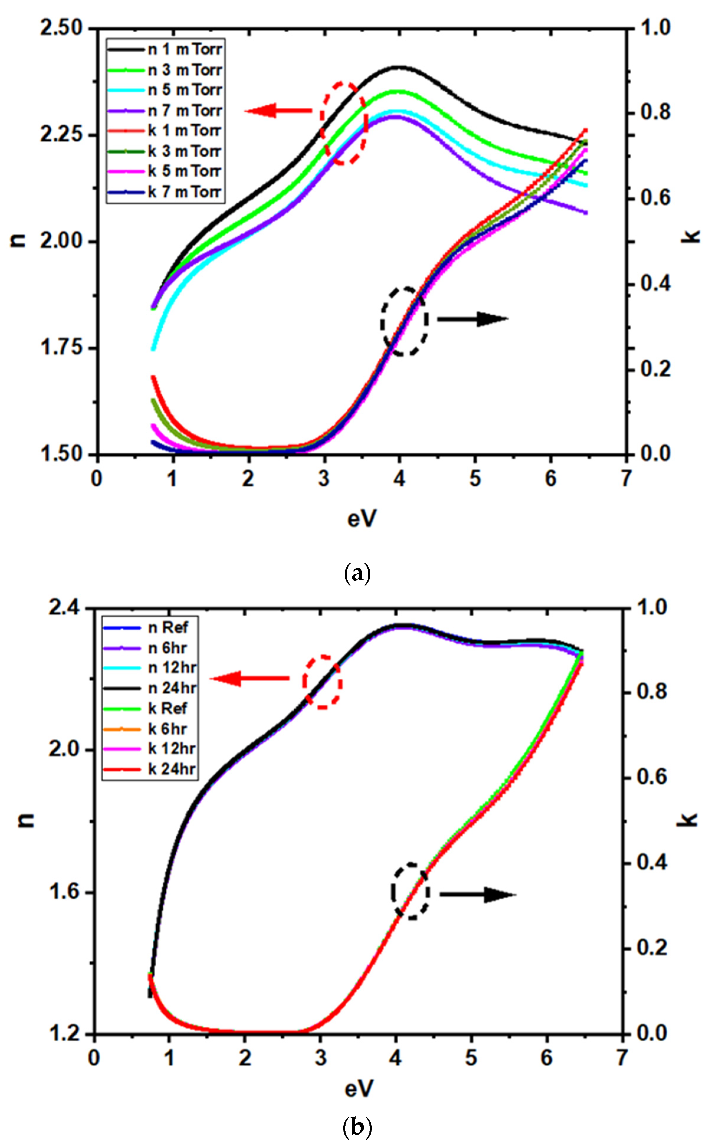
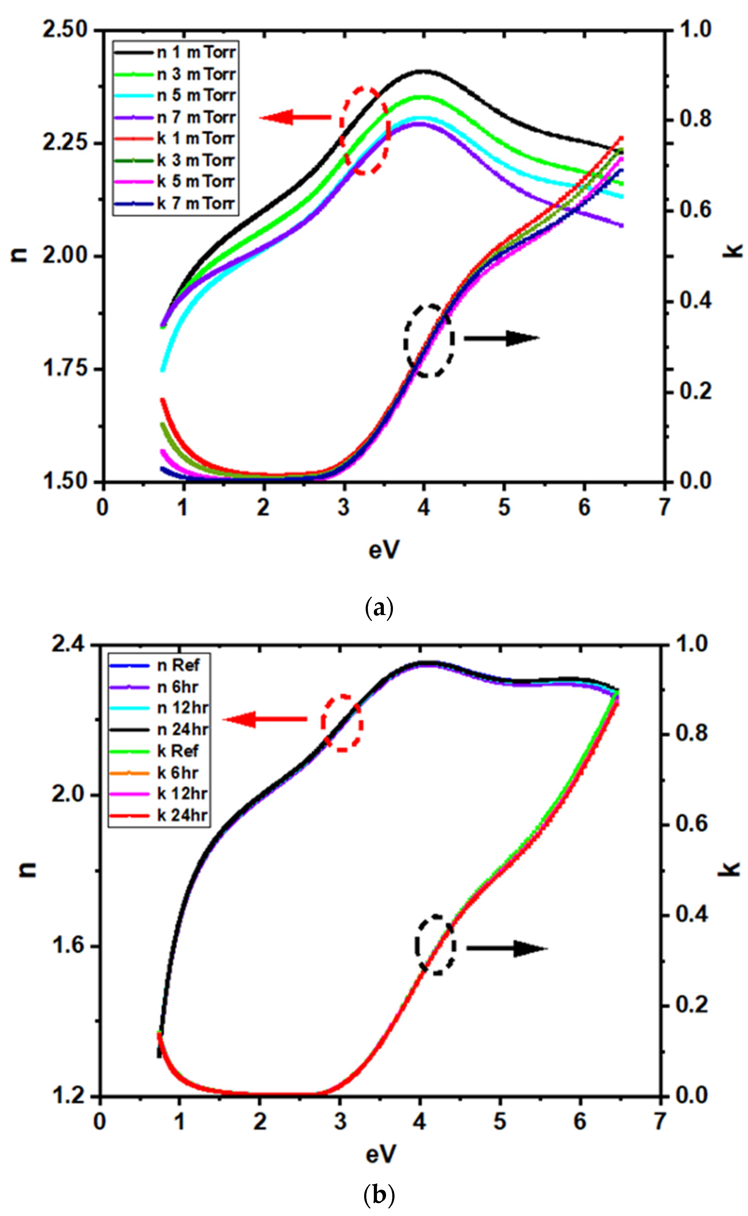
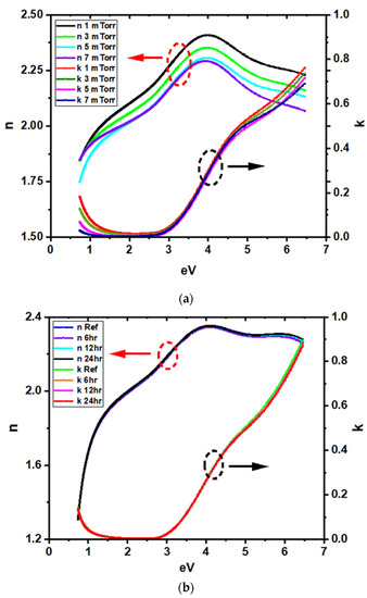
3.1. Effect of Water Ingress on the Window Layer
3.2. Effect of Water Soaking on Devices
4. Conclusions
Author Contributions
Funding
Conflicts of Interest
References
- Theelen, M.; Daume, F. Stability of Cu (In, Ga) Se2 solar cells: A literature review. Sol. Energy 2016, 133, 586–627. [Google Scholar] [CrossRef]
- Igalson, M.; Wimbor, M.; Wennerberg, J. The change of the electronic properties of CIGS devices induced by the ‘damp heat’treatment. Thin Solid Films 2002, 403, 320–324. [Google Scholar] [CrossRef]
- Lee, D.W.; Cho, W.J.; Song, J.K.; Kwon, O.Y.; Lee, W.H.; Park, C.H.; Park, K.E.; Lee, H.; Kim, Y.N. Failure analysis of Cu (In, Ga) Se2 photovoltaic modules: Degradation mechanism of Cu (In, Ga) Se2 solar cells under harsh environmental conditions. Prog. Photovolt. Res. Appl. 2015, 23, 829–837. [Google Scholar] [CrossRef]
- Guillen, C.; Herrero, J. Stability of sputtered ITO thin films to the damp-heat test. Surf. Coat. Technol. 2006, 201, 309–312. [Google Scholar] [CrossRef]
- Sundaramoorthy, R.; Pern, F.; DeHart, C.; Gennett, T.; Meng, F.; Contreras, M.; Gessert, T. Stability of TCO window layers for thin-film CIGS solar cells upon damp heat exposures: Part II, reliability of photovoltaic cells, modules, components, and systems II. Int. Soc. Opt. Photon. 2009, 7412, 74120J. [Google Scholar]
- Karki, S.; Paul, P.; Deitz, J.I.; Poudel, D.; Rajan, G.; Belfore, B.; Danilov, E.O.; Castellano, F.N.; Grassman, T.J.; Arehart, A. Degradation mechanism in Cu (In, Ga) Se 2 material and solar cells due to moisture and heat treatment of the absorber layer. IEEE J. Photovolt. 2019, 9, 1138–1143. [Google Scholar] [CrossRef]
- Karki, S.; Deitz, J.I.; Rajan, G.; Soltanmohammad, S.; Poudel, D.; Belfore, B.; Bhandari, G.; Grassman, T.J.; Rockett, A.; Marsillac, S. Impact of water ingress on molybdenum thin films and its effect on Cu (In, Ga) Se 2 Solar Cells. IEEE J. Photovolt. 2019, 10, 696–702. [Google Scholar] [CrossRef]
- Wennerberg, J.; Kessler, J.; Stolt, L. Cu (In, Ga) Se2-based thin-film photovoltaic modules optimized for long-term performance. Solar Energy Mater. Sol. Cells 2003, 75, 47–55. [Google Scholar] [CrossRef]
- Lee, D.-W.; Cho, W.-J.; Jang, C.-I.; Song, J.-K.; Park, C.-H.; Park, K.-E.; Ryu, J.-S.; Lee, H.; Kim, Y.-N. Damp heat and thermal cycling-induced degradation mechanism of AZO and CIGS films in Cu (In, Ga) Se2 photovoltaic modules. Curr. Appl. Phys. 2015, 15, 285–291. [Google Scholar] [CrossRef]
- Feist, R.; Rozeveld, S.; Mushrush, M.; Haley, R.; Lemon, B.; Gerbi, J.; Nichols, B.; Nilsson, R.; Richardson, T.; Sprague, S. Examination of lifetime-limiting failure mechanisms in CIGSS-based PV minimodules under environmental stress. In Proceedings of the 2008 33rd IEEE Photovoltaic Specialists Conference, San Diego, CA, USA, 11–16 May 2008; pp. 1–5. [Google Scholar]
- Osterwald, C.R. Terrestrial Photovoltaic Module Accelerated Test-to-Failure Protocol; National Renewable Energy Lab. (NREL): Golden, CO, USA, 2008. [Google Scholar]
- Thompson, C.P.; Hegedus, S.; Carcia, P.; McLean, R.S. The effects of device geometry and TCO/Buffer layers on damp heat accelerated lifetime testing of Cu (In, Ga)Se2 Solar Cells. IEEE J. Photovolt. 2012, 3, 494–499. [Google Scholar] [CrossRef]
- Daume, F.; Puttnins, S.; Scheit, C.; Zachmann, H.; Rahm, A.; Braun, A.; Grundmann, M. Damp heat treatment of Cu (In, Ga) Se2 solar cells with different sodium content. Materials 2013, 6, 5478–5489. [Google Scholar] [CrossRef] [PubMed]
- Malmström, J.; Wennerberg, J.; Stolt, L. A study of the influence of the Ga content on the long-term stability of Cu (In, Ga) Se2 thin film solar cells. Thin Solid Films 2003, 431, 436–442. [Google Scholar] [CrossRef]
- Schmidt, M.; Braunger, D.; Schäffler, R.; Schock, H.; Rau, U. Influence of damp heat on the electrical properties of Cu (In, Ga) Se2 solar cells. Thin Solid Films 2000, 361, 283–287. [Google Scholar] [CrossRef]
- Noufi, R.; Gabor, A.M.; Tuttle, J.R.; Tennant, A.L.; Contreras, M.A.; Albin, D.S.; Carapella, J.J. Method of Fabricating High-Efficiency Cu (In, Ga)(SeS)2 Thin Films for Solar Cells. Google Patents U.S. 5,441,897, 15 August 1995. [Google Scholar]
- Fujiwara, H. Spectroscopic Ellipsometry: Principles and Applications; John Wiley & Sons: Hoboken, NJ, USA, 2007. [Google Scholar]
- Tseng, K.-S.; Lo, Y.-L. Effect of sputtering parameters on optical and electrical properties of ITO films on PET substrates. Appl. Surf. Sci. 2013, 285, 157–166. [Google Scholar] [CrossRef]
- Tosun, B.S.; Feist, R.K.; Gunawan, A.; Mkhoyan, K.A.; Campbell, S.A.; Aydil, E.S. Improving the damp-heat stability of copper indium gallium diselenide solar cells with a semicrystalline tin dioxide overlayer. Sol. Energy Mater. Sol. Cells 2012, 101, 270–276. [Google Scholar] [CrossRef]
- Theelen, M.; Hendrikx, R.; Barreau, N.; Steijvers, H.; Böttger, A. The effect of damp heat-illumination exposure on CIGS solar cells: A combined XRD and electrical characterization study. Solar Energy Mater. Sol. Cells 2016, 157, 943–952. [Google Scholar] [CrossRef]
- Theelen, M.; Beyeler, K.; Steijvers, H.; Barreau, N. Stability of CIGS solar cells under illumination with damp heat and dry heat: A comparison. Sol. Energy Mater. Solar Cells 2017, 166, 262–268. [Google Scholar] [CrossRef]
- Westin, P.-O.; Neretnieks, P.; Edoff, M. Damp heat degradation of CIGS-based PV modules. In Proceedings of the 21st European Photovoltaic Solar Energy Conference, Dresden, Germany, 4–8 September 2006; pp. 2470–2473. [Google Scholar]












| Sample | VOC (V) | JSC (mA/cm2) | JSC (QE) (mA/cm2) | FF (%) | η (%) | |
|---|---|---|---|---|---|---|
| 3 mTorr | Ref | 0.66 | 32.7 | 32.6 | 74.4 | 16.0 |
| 12 h WS | 0.66 | 32.6 | 32.6 | 74.3 | 16.0 | |
| 24 h WS | 0.66 | 32.3 | 32.4 | 74.2 | 15.8 | |
| 5 mTorr | Ref | 0.65 | 33.1 | 33.0 | 73.0 | 15.6 |
| 12 h WS | 0.64 | 32.9 | 32.9 | 72.8 | 15.3 | |
| 24 h WS | 0.64 | 30.5 | 30.6 | 62.0 | 12.1 |
| Sample | J0 (mA/cm2) | Diode Factor (A) | RSH (kΩ·cm2) | RS (Ω·cm2) | |
|---|---|---|---|---|---|
| 3 mTorr | Ref | 2.5 × 10−9 | 1.8 | 1.2 × 104 | 0.4 |
| 12 h WS | 4.0 × 10−9 | 1.8 | 1.3 × 104 | 0.5 | |
| 24 h WS | 5.0 × 10−9 | 1.9 | 2.4 × 104 | 0.5 | |
| 5 mTorr | Ref | 2.5 × 10−9 | 1.7 | 7.5 × 103 | 0.4 |
| 12 h WS | 8.0 × 10−9 | 1.8 | 8.0 × 103 | 0.5 | |
| 24 h WS | 8.0 × 10−9 | 2.0 | 1.4 × 103 | 0.6 |
© 2020 by the authors. Licensee MDPI, Basel, Switzerland. This article is an open access article distributed under the terms and conditions of the Creative Commons Attribution (CC BY) license (http://creativecommons.org/licenses/by/4.0/).
Share and Cite
Poudel, D.; Karki, S.; Belfore, B.; Rajan, G.; Atluri, S.S.; Soltanmohammad, S.; Rockett, A.; Marsillac, S. Degradation Mechanism Due to Water Ingress Effect on the Top Contact of Cu(In,Ga)Se2 Solar Cells. Energies 2020, 13, 4545. https://doi.org/10.3390/en13174545
Poudel D, Karki S, Belfore B, Rajan G, Atluri SS, Soltanmohammad S, Rockett A, Marsillac S. Degradation Mechanism Due to Water Ingress Effect on the Top Contact of Cu(In,Ga)Se2 Solar Cells. Energies. 2020; 13(17):4545. https://doi.org/10.3390/en13174545
Chicago/Turabian StylePoudel, Deewakar, Shankar Karki, Benjamin Belfore, Grace Rajan, Sushma Swaraj Atluri, Sina Soltanmohammad, Angus Rockett, and Sylvain Marsillac. 2020. "Degradation Mechanism Due to Water Ingress Effect on the Top Contact of Cu(In,Ga)Se2 Solar Cells" Energies 13, no. 17: 4545. https://doi.org/10.3390/en13174545
APA StylePoudel, D., Karki, S., Belfore, B., Rajan, G., Atluri, S. S., Soltanmohammad, S., Rockett, A., & Marsillac, S. (2020). Degradation Mechanism Due to Water Ingress Effect on the Top Contact of Cu(In,Ga)Se2 Solar Cells. Energies, 13(17), 4545. https://doi.org/10.3390/en13174545

