Formic Acid as a Hydrogen Donor for Catalytic Transformations of Tar
Abstract
1. Introduction
2. Materials and Methods
3. Results and Discussion
3.1. Thermal Transformations of Tar
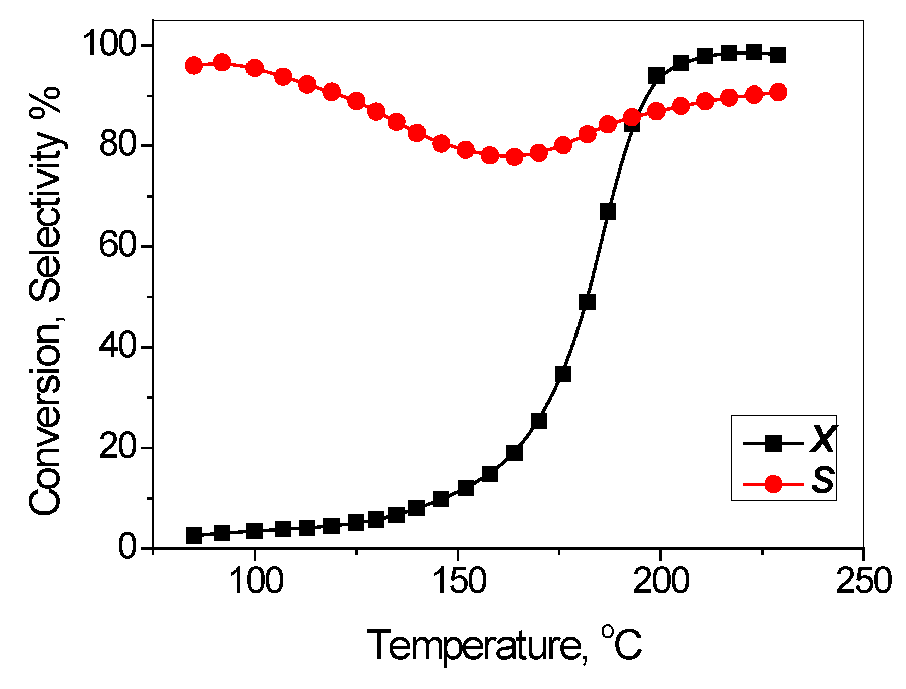
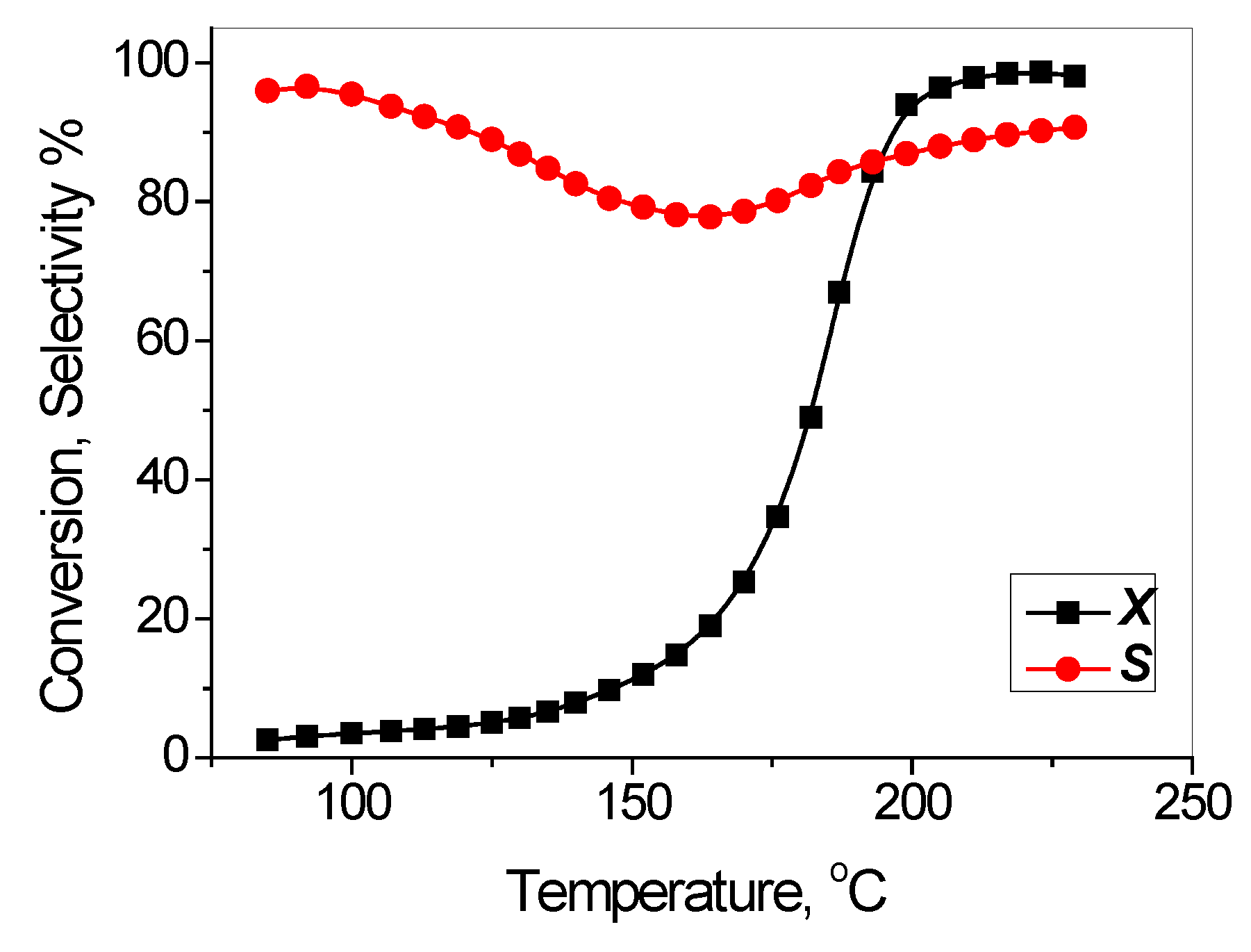
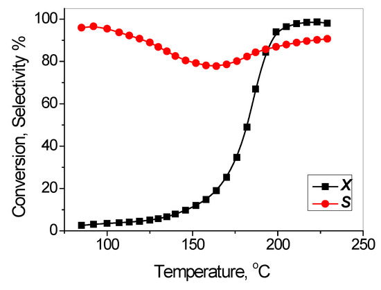
3.2. Catalytic Decomposition of Formic Acid
3.3. Effect of Formic Acid on the Catalytic Transformations of Tar
4. Conclusions
Author Contributions
Funding
Conflicts of Interest
Nomenclature
| HOF | heavy oil feedstock |
| HRTEM | high resolution transmission electron microscopy |
| Powder Diffraction Files | |
| ICSD | Inorganic Crystal Structure Database |
| BET | Brunauer–Emmett–Teller |
| XRD | X-ray diffraction |
| WGS | water–gas shift reaction |
References
- Ancheyta, J.; Speight, J.G. Hydroprocessing of Heavy Oils and Residua; CRC Press: Boca Raton, FL, USA, 2007. [Google Scholar]
- Surkov, V.G.; Pevneva, G.S.; Golovko, A.K. Structural and chemical transformations of asphaltenes and tar resins under conditions of mechanical influence. Neftepererab. Neftekhim. 2015, 12, 6–10. [Google Scholar]
- Ruiz, J.C.S. Applied Industrial Catalysis; Archer Press: New York, NY, USA, 2017. [Google Scholar]
- Gary, J.H.; Handwerk, G.E.; Kaiser, M.J. Oil Refining: Technology and Economics, 5th ed.; CRS Press: New York, NY, USA, 2007. [Google Scholar]
- Zaikina, O.O.; Saiko, A.V.; Sosnin, G.A.; Yeletsky, P.M.; Gulyaeva, Y.K.; Klimov, O.V.; Noskov, A.S.; Yakovlev, V.A. Investigation of the properties of semisynthetic oils obtained in the presence of dispersed catalysts based on Mo and Fe-Co in the process of catalytic steam cracking of vacuum residue. J. Sib. Fed. Univ. Chem. 2019, 12, 512–521. [Google Scholar] [CrossRef]
- Eletskii, P.M.; Mironenko, O.O.; Kukushkin, R.G.; Sosnin, G.A.; Yakovlev, V.A. Catalytic steam cracking of heavy oil feedstocks: A review. Catal. Ind. 2018, 10, 185–201. [Google Scholar] [CrossRef]
- Eletskii, P.M.; Sosnin, G.A.; Zaikina, O.O.; Kukushkin, R.G.; Yakovlev, V. Heavy oil upgrading in the presence of water. J. Sib. Fed. Univ. Chem. 2018, 10, 545–572. [Google Scholar] [CrossRef]
- Reina, T.R.; Yeletsky, P.; Bermúdez, J.M.; Arcelus-Arrillaga, P.; Yakovlev, V.A.; Millan, M. Anthracene aquacracking using NiMo/SiO2 catalysts in supercritical water conditions. Fuel 2016, 182, 740–748. [Google Scholar] [CrossRef]
- Cabrales-Navarro, F.A.; Pereira-Almao, P. Catalytic steam cracking of a deasphalted vacuum residue using a Ni/K ultradispersed catalyst. Energy Fuels 2017, 31, 3121–3131. [Google Scholar] [CrossRef]
- Kukushkin, R.G.; Eletskii, P.M.; Zaikina, O.O.; Sosnin, G.A.; Bulavchenko, O.A.; Yakovlev, V.A. Studying the steam cracking of heavy oil over iron- and molybdenum-containing dispersed catalysts in a flow-type reactor. Catal. Ind. 2018, 10, 344–352. [Google Scholar] [CrossRef]
- Clark, P.D.; Kirk, M.J. Studies on the upgrading of bituminous oils with water and transition metal catalysts. Energy Fuels 1994, 8, 380–387. [Google Scholar] [CrossRef]
- Mironenko, O.O.; Sosnin, G.A.; Eletskii, P.M.; Gulyaeva, Y.K.; Bulavchenko, O.A.; Stonkus, O.A.; Rodina, V.O.; Yakovlev, V.A. A study of the catalytic steam cracking of heavy crude oil in the presence of a dispersed molybdenum-containing catalyst. Pet. Chem. 2017, 57, 618–629. [Google Scholar] [CrossRef]
- Golmohammadi, M.; Ahmadi, S.J.; Towfighi, J. Catalytic cracking of heavy petroleum residue in supercritical water: Study on the effect of different metal oxide nanoparticles. J. Supercrit. Fluids 2016, 113, 136–143. [Google Scholar] [CrossRef]
- Fedyaeva, O.N.; Antipenko, V.R.; Vostrikov, A.A. Conversion of sulfur-rich asphaltite in supercritical water and effect of metal additives. J. Supercrit. Fluids 2014, 88, 105–116. [Google Scholar] [CrossRef]
- Fumoto, E.; Sato, S.; Takanohashi, T. Characterization of an Iron-Oxide-Based Catalyst Used for Catalytic Cracking of Heavy Oil with Steam. Energy Fuels 2018, 32, 2834–2839. [Google Scholar] [CrossRef]
- Xu, L.; Liu, Y.; Li, Y.; Lin, Z.; Ma, X.; Zhang, Y.; Argyle, M.D.; Fan, M. Catalytic CH4 reforming with CO2 over activated carbon based catalysts. Appl. Catal. A Gen. 2014, 469, 387–397. [Google Scholar] [CrossRef]
- Bermúdez, J.M.; Fidalgo, B.; Arenillas, A.; Menéndez, J.A. Dry reforming of coke oven gases over activated carbon to produce syngas for methanol synthesis. Fuel 2010, 89, 2897–2902. [Google Scholar] [CrossRef]
- Bulushev, D.A.; Ross, J.R.H. Towards sustainable production of formic acid. ChemSusChem 2018, 11, 821–836. [Google Scholar] [CrossRef] [PubMed]
- Bulushev, D.A.; Ross, J.R.H. Heterogeneous Catalysts for hydrogenation of CO2 and bicarbonates to formic acid and formates. Catal. Rev. 2018, 60, 566–593. [Google Scholar] [CrossRef]
- Reichert, J.; Brunner, B.; Jess, A.; Wasserscheid, P.; Albert, J. Biomass Oxidation to Formic Acid in Aqueous Media Using Polyoxometalate Catalysts—Boosting Fa Selectivity by in-Situ Extraction. Energy Environ. Sci. 2015, 8, 2985–2990. [Google Scholar] [CrossRef]
- Cui, Q.; Zhou, Y.; Wei, Q.; Tao, X.; Yu, G.; Wang, Y.; Yang, J. Role of the Zeolite Crystallite Size on Hydrocracking of Vacuum Gas Oil over NiW/Y-ASA Catalysts. Energy Fuels 2012, 26, 4664–4670. [Google Scholar] [CrossRef]
- Landau, M.V.; Vradman, L.; Valtchev, V.; Lezervant, J.; Liubich, E.; Talianker, M. Hydrocracking of Heavy Vacuum Gas Oil with a Pt/H-beta-Al2O3 Catalyst: Effect of Zeolite Crystal Size in the Nanoscale Range. Ind. Eng. Chem. Res. 2003, 42, 2773–2782. [Google Scholar] [CrossRef]
- Camblor, M.A.; Corma, A.; Martinez, A.; Martinez-Soria, V.; Valencia, S. Mild Hydrocracking of Vacuum Gasoil over NiMo-Beta Zeolite Catalysts: The Role of the Location of the NiMo Phases and the Crystallite Size of the Zeolite. J. Catal. 1998, 179, 537–547. [Google Scholar] [CrossRef]
- Dik, P.P.; Danilova, I.G.; Golubev, I.S.; Kazakov, M.O.; Nadeina, K.A.; Budukva, S.V.; Pereyma, V.Y.; Klimov, O.V.; Prosvirin, I.P.; Gerasimov, E.Y.; et al. Hydrocracking of vacuum gas oil over NiMo/zeolite-Al2O3: Influence of zeolite properties. Fuel 2019, 237, 178–190. [Google Scholar] [CrossRef]
- Surovikin, V.F.; Plaxin, G.V.; Semikolenov, V.A.; Likholobov, V.A.; Tiunova, I.J. Porous Carbonaceous Material. U.S. Patent 4978649, 18 December 1990. [Google Scholar]
- Yermakov, Y.I.; Surovikin, V.F.; Plaxin, G.V.; Semikolenov, V.A.; Likholobov, V.A.; Chuvilin, L.V.; Bogdanov, S.V. New carbon material as support for catalysts. React. Kinet. Catal. Lett. 1987, 33, 435–440. [Google Scholar] [CrossRef]
- Wang, Q.; Tsumori, N.; Kitta, M.; Xu, Q. Fast Dehydrogenation of Formic Acid over Palladium Nanoparticles Immobilized in Nitrogen-Doped Hierarchically Porous Carbon. ACS Catal. 2018, 8, 12041–12045. [Google Scholar] [CrossRef]
- Navlani-García, M.; Mori, K.; Salinas-Torres, D.; Kuwahara, Y.; Yamashita, H. New Approaches toward the Hydrogen Production from Formic Acid Dehydrogenation over Pd-Based Heterogeneous Catalysts. Front. Mat. 2019, 6. [Google Scholar] [CrossRef]
- Podyacheva, O.; Bulushev, D.; Suboch, A.; Svintsitskiy, D.; Lisitsyn, A.; Modin, E.; Chuvilin, A.; Gerasimov, E.; Sobolev, V.; Parmon, V. Highly Stable Single-Atom Catalyst with Ionic Pd Active Sites Supported on N-Doped Carbon Nanotubes for Formic Acid Decomposition. ChemSusChem 2018, 11, 3724–3727. [Google Scholar] [CrossRef]
- Bulushev, D.A.; Zacharska, M.; Shlyakhova, E.V.; Chuvilin, A.L.; Guo, Y.; Beloshapkin, S.; Okotrub, A.V.; Bulusheva, L.G. Single Isolated Pd2+ Cations Supported on N-Doped Carbon as Active Sites for Hydrogen Production from Formic Acid Decomposition. ACS Catal. 2016, 6, 681–691. [Google Scholar] [CrossRef]
- Fujitsuka, H.; Nakagawa, K.; Hanprerakriengkrai, S.; Nakagawa, H.; Tago, T. Hydrogen Production from formic acid using Pd/C, Pt/C, and Ni/C catalysts prepared from Ion-exchange resins. J. Chem. Eng. Jpn. 2019, 52, 423–429. [Google Scholar] [CrossRef]
- Wang, S.; Yin, Q.; Guo, J.; Zhu, L. Influence of Ni Promotion on Liquid Hydrocarbon Fuel Production over Co/CNT Catalysts. Energy Fuels 2013, 27, 3961–3968. [Google Scholar] [CrossRef]
- Satterfield, C.N. Heterogeneous Catalysis in Industrial Practice, 2nd ed.; McGraw-Hill: New York, NY, USA, 1991. [Google Scholar]
- Escola, J.M.; Aguado, J.; Serrano, D.P.; Briones, L.; Díaz De Tuesta, J.L.; Calvo, R.; Fernandez, E. Conversion of polyethylene into transportation fuels by the combination of thermal cracking and catalytic hydroreforming over Ni-supported hierarchical beta zeolite. Energy Fuels 2012, 26, 3187–3195. [Google Scholar] [CrossRef]
- Akhmedov, V.M.; Al-Khowaiter, S.H.; Akhmedov, E.; Sadikhov, A. Low temperature hydrocracking of hydrocarbons on Ni-supported catalysts. Appl. Catal. A 1999, 181, 51–61. [Google Scholar] [CrossRef]
- Li, X.B.; Wang, S.R.; Cai, Q.J.; Zhu, L.J.; Yin, Q.Q.; Luo, Z.Y. Effects of preparation method on the performance of Ni/Al2O3 catalysts for hydrogen production by bio-oil steam reforming. Appl. Biochem. Biotechnol. 2012, 168, 10–20. [Google Scholar] [CrossRef] [PubMed]
- De Haan, R.; Joorst, G.; Mokoena, E.; Nicolaides, C.P. Non-sulfided nickel supported on silicated alumina as catalyst for the hydrocracking of n-hexadecane and of iron-based Fischer−Tropsch wax. Appl. Catal. A 2007, 327, 247–254. [Google Scholar] [CrossRef]





| Elemental Composition | Concentration (wt.%) |
| C | 86.8 |
| H | 11.7 |
| N | 0.86 |
| S | 1.50 |
| Fraction Composition, wt.% | |
| Gasoline fractions (<200 °C) | 0 |
| Diesel fractions (200–350 °C) | 0.1 |
| Vacuum gas oil (350–500 °C) | 6.7 |
| Tar (500–700 °C) | 54.9 |
| Tar (>700 °C) | 38.2 |
| Catalyst | Phase | Description | Average Cystallite Size D, Å | Elementary Cell Parameter, Å |
|---|---|---|---|---|
| Ni-Mo/Sibunit | Ni | Ni PDF 04-0850, | 75 | Fm3m, a = 3.523 |
| Ni-Mo | Mo1,08Ni2,92 | 60 | Fm3m, a = 3.637 |
| No. | Parameter | Result |
|---|---|---|
| 1 | Na2O content normalized to the weight of the sample calcined at 650 °C, wt.% | 0.01 |
| 2 | Al2O3 content normalized to the weight of the sample calcined at 650 °C, wt.% | 5.6 |
| 3 | SiO2 content normalized to the weight of the sample calcined at 650 °C, wt.% | 90 |
| 4 | Crystallinity, % | 86 |
| 5 | SiO2/Al2O3 ratio | 27 |
| Zeolite | Vmicro, cm3/g | Vmeso, cm3/g | Vtotal, cm3/g | SBET, m2/g | Average Size of the Crystals, nm |
|---|---|---|---|---|---|
| BEA | 0.22 | 0.15 | 0.37 | 660 | 160 |
| Hydrocarbons | Temperature, °C | |||
|---|---|---|---|---|
| 350 | 400 | 450 | 500 | |
| Concentration, vol.% | ||||
| H2 | 7 | 8.0 | 15.4 | 18.5 |
| CH4 | 36 | 41.8 | 48.1 | 65 |
| C2H6 | 24.5 | 21.2 | 15.4 | 12 |
| C2H4 | 4 | 3.1 | 2.8 | 1.5 |
| C3H8 | 12 | 11.8 | 6.6 | 0.6 |
| C3H6 | 0.2 | 0.2 | 0.1 | 0 |
| iso-C4H10 | 4.5 | 4.0 | 4.0 | 0.5 |
| n-C4H10 | 2.0 | 1.0 | 0.5 | 0.1 |
| 1-butene | 4.0 | 3.9 | 2.6 | 0.4 |
| C5+ | 4.8 | 4.2 | 3.8 | 0.8 |
| C6+ | 1.0 | 0.8 | 0.7 | 0.6 |
| Conditions of Carbonization | Reaction Time, h | 1 | 2 | 3 | 5 |
|---|---|---|---|---|---|
| Tar carbonization without a catalyst | H2S content, wt.% | 1.44 | 1.58 | 0.82 | 0.61 |
| COS content, wt.% | 0.22 | 2.15 | 2.15 | 0.75 |
| Compound | Temperature, °C | ||
|---|---|---|---|
| 250 | 300 | 350 | |
| Concentration, vol.% | |||
| Methane | 0.6 | 0.8 | 0.9 |
| Hydrogen | 10–36 | 42–45 | 45–46 |
| CО | 12–13 | 7–6 | 6 |
| Pressure, atm | 4–8 | 8–13 | 14 |
| Sample | Loading | Mass, g | The Products Composition, wt.% | ||
|---|---|---|---|---|---|
| Gas * | Liquid Hydrocarbons | Unconverted Tar ** | |||
| 1 | Tar | 16 | 8 | 15 | 77 |
| 2 | Tar FA | 16 9 | 11 | 43 | 46 |
| 3 | Tar FA BEA zeolite | 16 9 0.4 | 12 | 50 | 38 |
| 4 | Tar FA Ni-Mo/Sibunit | 16 9 0.4 | 17 | 48 | 35 |
| 5 | Tar FA Ni-Mo/Sibunit BEA zeolite | 16 9 0.2 0.2 | 17 | 55 | 28 |
| Without FA | |||||
| 6 | Tar Ni-Mo/Sibunit BEA zeolite | 16 0.2 0.2 | 15 | 35 | 50 |
| Fraction | Temperature, °C | Sample | |||||
|---|---|---|---|---|---|---|---|
| 1 | 2 | 3 | 4 | 5 | 6 | ||
| Tar | Tar, FA | Tar, FA, BEA zeolite | Tar, FA, Ni-Mo/Sibunit | Tar, FA, Ni-Mo/Sibunit, BEA Zeolite | Tar, Ni-Mo/Sibunit, BEA Zeolite | ||
| Concentration, wt.% | |||||||
| Gasoline | 0–180 | 10.8 | 12 | 16 | 12.7 | 19.2 | 7.7 |
| Diesel | 180–360 | 39.1 | 52.1 | 53.9 | 56.3 | 60.2 | 73.4 |
| Vacuum gasoil | 360–550 | 35.5 | 24.3 | 20.4 | 16.1 | 14.7 | 9.8 |
| Vacuum residue | 550–720 | 8.1 | 6.6 | 4.9 | 7.9 | 3.1 | 1.7 |
| Non-eluted residue | >720 | 6.5 | 5 | 4.8 | 7.0 | 2.8 | 7.4 |
| Elements | Sample | ||||
|---|---|---|---|---|---|
| 1 | 2 | 3 | 4 | 5 | |
| Tar | Tar, FA | Tar, FA, BEA Zeolite | Tar, FA, Ni-Mo/Sibunit | Tar, FA, Ni-Mo/Sibunit, BEA Zeolite | |
| Concentration, wt.% | |||||
| Sulfur | 1.0 | 0.98 | 0.83 | 0.77 | 0.73 |
| Nitrogen | 0.39 | 0.33 | 0.22 | 0.2 | 0.18 |
© 2020 by the authors. Licensee MDPI, Basel, Switzerland. This article is an open access article distributed under the terms and conditions of the Creative Commons Attribution (CC BY) license (http://creativecommons.org/licenses/by/4.0/).
Share and Cite
Chesnokov, V.V.; Dik, P.P.; Chichkan, A.S. Formic Acid as a Hydrogen Donor for Catalytic Transformations of Tar. Energies 2020, 13, 4515. https://doi.org/10.3390/en13174515
Chesnokov VV, Dik PP, Chichkan AS. Formic Acid as a Hydrogen Donor for Catalytic Transformations of Tar. Energies. 2020; 13(17):4515. https://doi.org/10.3390/en13174515
Chicago/Turabian StyleChesnokov, Vladimir V., Pavel P. Dik, and Aleksandra S. Chichkan. 2020. "Formic Acid as a Hydrogen Donor for Catalytic Transformations of Tar" Energies 13, no. 17: 4515. https://doi.org/10.3390/en13174515
APA StyleChesnokov, V. V., Dik, P. P., & Chichkan, A. S. (2020). Formic Acid as a Hydrogen Donor for Catalytic Transformations of Tar. Energies, 13(17), 4515. https://doi.org/10.3390/en13174515

