Impact of the DFIG-Based Wind Farm Connection on the Fault Component-Based Directional Relay and a Mitigation Countermeasure
Abstract
1. Introduction
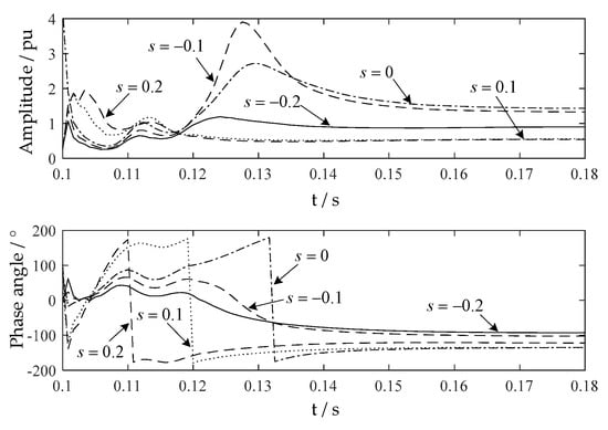
- The expressions of positive- and negative-sequence superimposed impedance of DFIG when crowbar protection inputs are deduced and their characteristics are analyzed in detail from three stages: the fault initial stage, the fault transient stage, and the fault steady stage. The results indicate that the positive-sequence superimposed impedance of DFIG has an obvious transient process, and its amplitude is large and fluctuates evidently after the fault. More importantly, its phase angle gradually increases or decreases from the initial phase angle and finally stabilizes at −90° to −180°. As for the negative-sequence superimposed impedance of DFIG, its amplitude is relatively small, and its phase angle is between 0° and 90°.
- Based on the working principle of FCBDR, it is pointed out that the wide range variation of the phase angle of the superimposed impedance (especially the positive-sequence superimposed impedance) may result in the sensitivity decline or misjudgment of the related FCBDRs.
- To enhance the adaptability FCBDRs in the DFIG-based wind farm connection scenario, a mitigation countermeasure based on the distinctive amplitude and phase angle features of the superimposed impedance of DFIG is proposed. To enhance the adaptability FCBDRs in the DFIG-based wind farm connection scenario, a mitigation countermeasure making use of the significantly different features of the superimposed impedance between DFIG and SG is proposed.
2. Principle of FCBDR
- Positive-sequence FCBDR: , .
- Negative-sequence FCBDR: , .
- Zero-sequence directional relay: , .
- Phasor FCBDR: , ( A, B, C).
- Phasor difference FCBDR: , ( AB, BC, CA).
3. Definition and Calculation of the Superimposed Impedance of DFIG
3.1. Definition of the Superimposed Impedance of DFIG
3.2. Calculation of the Superimposed Impedance of DFIG
3.2.1. Positive- and Negative-Sequence Fault Currents of DFIG
- 1.
- Positive-sequence Fault Current of DFIG
- 2.
- Negative-sequence Fault Current of DFIG
3.2.2. Positive- and Negative-Sequence Superimposed Impedance of DFIG
- 1.
- Positive-Sequence Superimposed Impedance of DFIG
- 2.
- Negative-Sequence Superimposed Impedance of DFIG
4. Characteristic Analysis of the Superimposed Impedance of DFIG and Its Impact on FCBDR
4.1. Characteristic Analysis of the Superimposed Impedance of DFIG
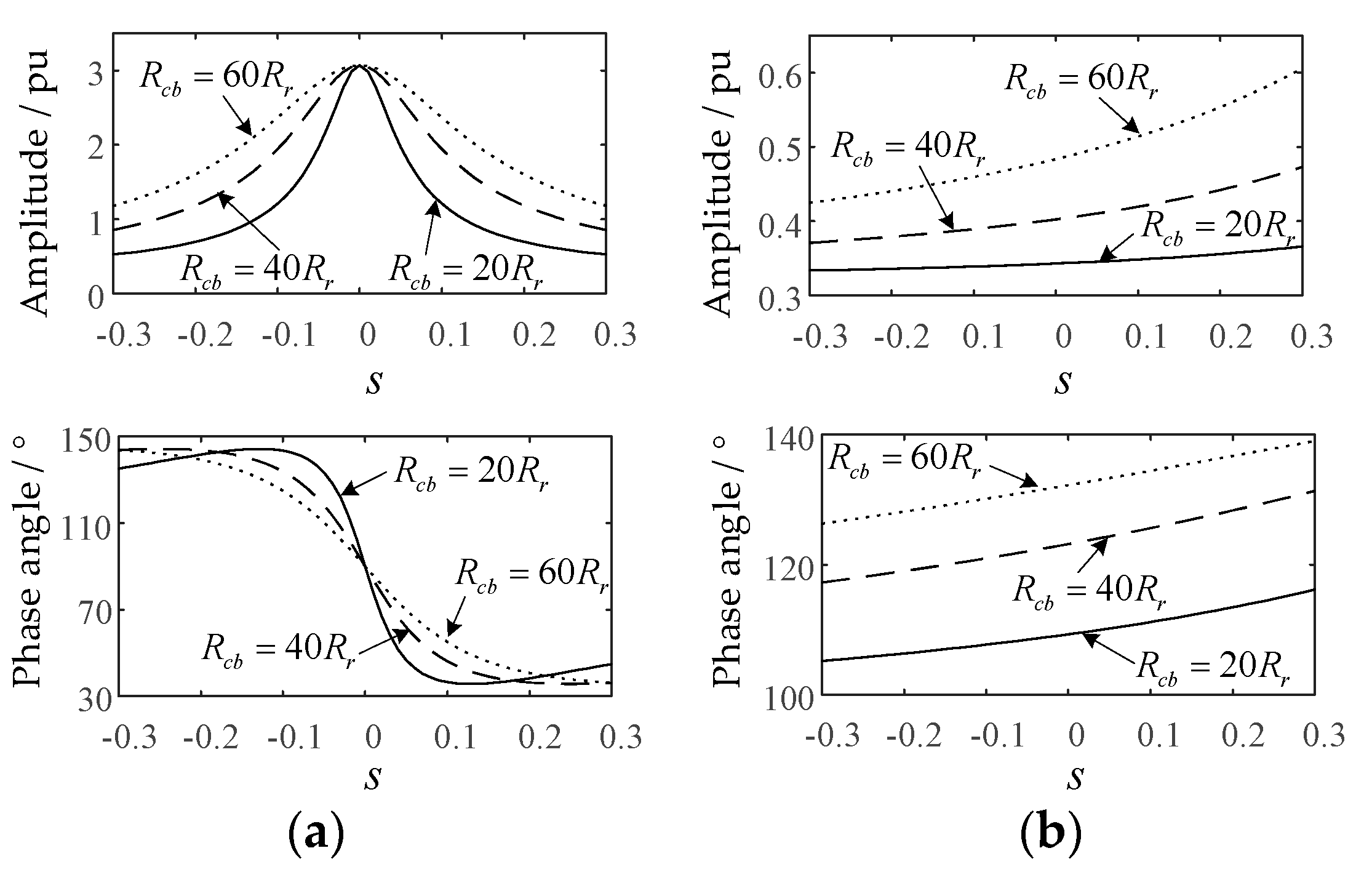
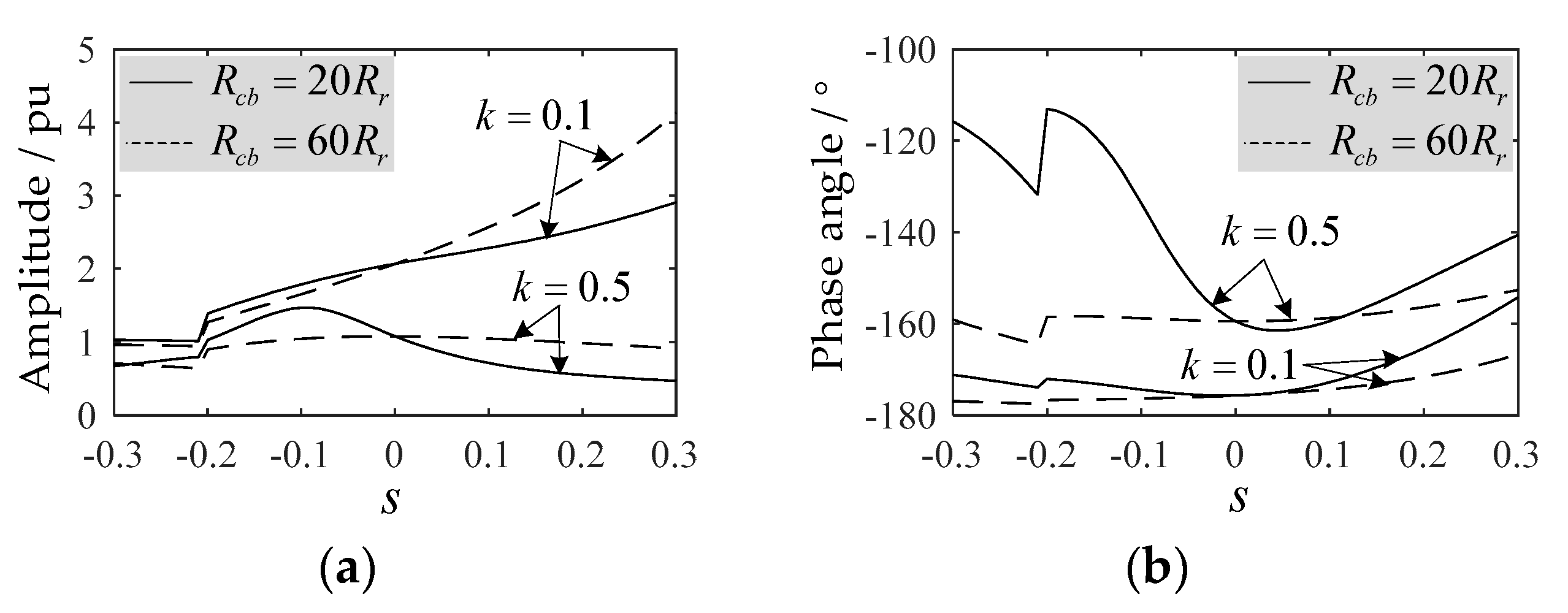
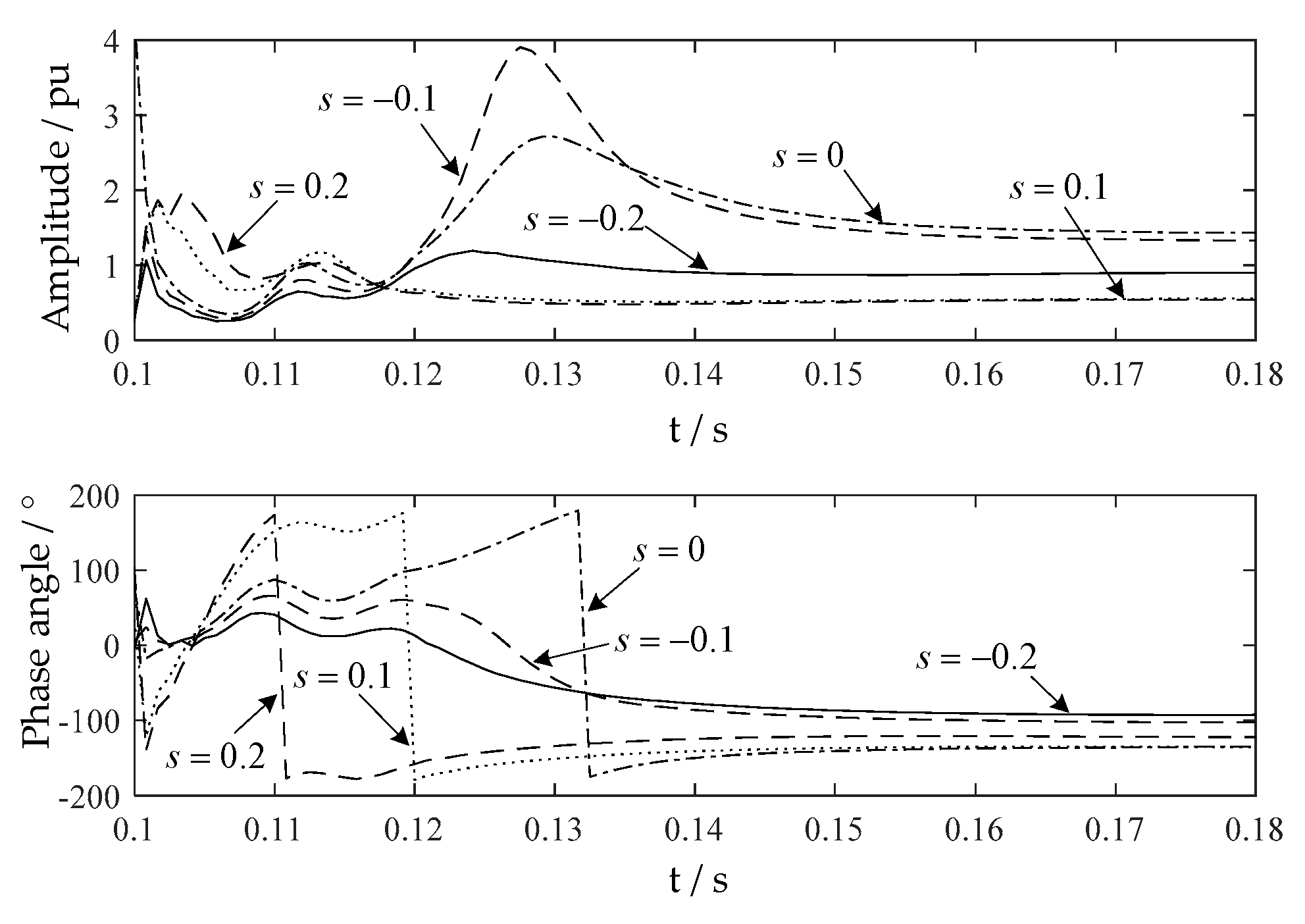
4.1.1. Positive-sequence Superimposed Impedance of DFIG
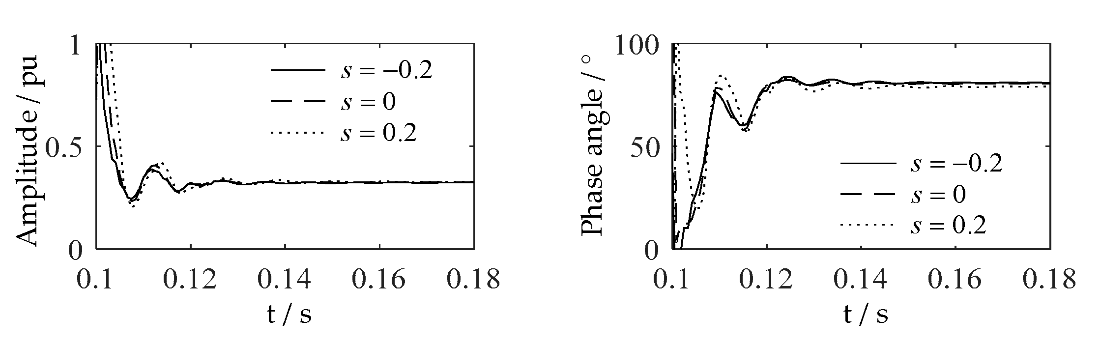
4.1.2. Negative-Sequence Superimposed Impedance of DFIG
4.1.3. Summary
- Amplitude: The amplitude of is much larger than that of . During the fault transient stage, the amplitude of fluctuates evidently, while the amplitude of is basically stable.
- Phase angle: The phase angle of has an evident change process during the fault transient stage and finally reaches the steady value between −90° and −180°, while the phase angle of is always between 0° and 90°.
4.2. Impact of the DFIG-Based Wind Farm Connection on the FCBDR
- 1.
- Positive-sequence FCBDR
- 2.
- Negative-sequence FCBDR
- 3.
- Zero-sequence directional relay
- 4.
- Phasor FCBDR
- 5.
- Phasor difference FCBDR
5. Mitigation Countermeasure
5.1. Supplementary Direction Criteria
- 1.
- Criteria reflecting the difference between positive- and negative-sequence measured impedance
- 2.
- Criteria reflecting the amplitude difference of the positive-sequence measured impedance
5.2. Mitigation Countermeasure
6. Simulation and Discussion
6.1. Simulation Analysis of the Superimposed Impedance of DFIG
- 1.
- Expression verification
- 2.
- Characteristics verification
6.2. Simulation Analysis of FCBDRs and the Proposed Mitigation Countermeasure
- (1)
- Performances of the Conventional FCBDRs
- (2)
- Performances of the Proposed Mitigation Countermeasure
7. Conclusions
- The proposed mitigation countermeasure includes two supplementary direction criteria which can remedy the limitation of the conventional FCBDRs solely depending on the phase angle comparison.
- Using the significantly different features of the superimposed impedance between DFIG and SG to identify the fault direction, the influences of the fault behavior of DFIG on the FCBDR are significantly weakened.
- The adaptive operation logic of the proposed mitigation countermeasure can ensure that the conventional FCBDRs can identify the fault direction with high sensitivity at both the wind farm side and the power grid side.
Author Contributions
Funding
Conflicts of Interest
Nomenclature
| , | Stator and rotor voltage vectors. |
| , | Stator and rotor current vectors. |
| , | Stator and rotor flux linkage vectors. |
| , | Stator and rotor resistances. |
| Synchronous angular frequency. | |
| , | Laplace and differential operators. |
| Voltage sag extent. | |
| , | Stator and rotor inductances. |
| Magnetizing inductance | |
| Slip. | |
| Crowbar resistance. | |
| Imaginary unit. | |
| Fault component. | |
| Positive-sequence quantity. | |
| Negative-sequence quantity. | |
| , | Pre-fault and steady-state values. |
| Zero-sequence quantity. | |
| , | Positive and negative synchronous rotation reference frames. |
Appendix A

Appendix B
| Parameters | |||||
|---|---|---|---|---|---|
| Vaule (pu) | 0.006 | 0.008 | 3.072 | 3.055 | 2.9 |
| Parameters | |||
|---|---|---|---|
| Vaule () | 0.58 + j19.36 | 3.06 + j65.97 | 3.23 + 64.53 |
References
- Telukunta, V.; Pradhan, J.; Agrawal, A. Protection challenges under bulk penetration of renewable energy resources in power systems: A review. CSEE J. Power Energy Syst. 2017, 3, 365–379. [Google Scholar] [CrossRef]
- Ren, G.; Liu, J.; Wan, J.; Guo, Y.; Yu, D. Overview of wind power intermittency: Impacts, measurements, and mitigation solutions. Appl. Energy 2017, 204, 47–65. [Google Scholar] [CrossRef]
- Georgilakis, P.S. Technical challenges associated with the integration of wind power into power systems. Renew. Sustain. Energy Rev. 2008, 12, 852–863. [Google Scholar] [CrossRef]
- Yang, J.; Song, D.; Wu, F. Regional variations of environmental co-benefits of wind power generation in China. Appl. Energy 2017, 206, 1267–1281. [Google Scholar] [CrossRef]
- Jia, K.; Yang, Z.; Fang, Y.; Bi, T.; Sumner, M. Influence of inverter-interfaced renewable energy generators on directional relay and an improved scheme. IEEE Trans. Power Electron. 2019, 34, 11843–11855. [Google Scholar] [CrossRef]
- Tohidi, S.; Oraee, H.; Zolghadri, M.R.; Shao, S.; Tavner, P. Analysis and enhancement of low-voltage ride-through capability of brushless doubly fed induction generator. IEEE Trans. Ind. Electron. 2013, 60, 1146–1155. [Google Scholar] [CrossRef]
- Li, J.; Zheng, T.; Wang, Z.P. Short-circuit current calculation and harmonic characteristic analysis for a doubly-fed induction generator wind turbine under converter control. Energies 2019, 11, 2471. [Google Scholar] [CrossRef]
- Li, X.; Lu, Y.P. Improved amplitude differential protection scheme based on the frequency spectrum index for distribution networks with DFIG-based wind DGs. IEEE Access 2020, 8, 64225–64237. [Google Scholar] [CrossRef]
- Ouyang, J.X.; Xiong, X.F. Research on short-circuit current of doubly fed induction generator under non-deep voltage drop. Electr. Power Syst. Res. 2014, 107, 158–166. [Google Scholar] [CrossRef]
- Huang, T.; Lu, Y.P.; Cai, C. A new simulation and analysis for low voltage ride through property of wind farm. In Proceedings of the IEEE Power and Energy Society General Meeting Conference & Exposition, San Diego, CA, USA, 22–26 July 2012. [Google Scholar]
- Hooshyar, A.; Azzouz, M.A.; El-Saadany, E.F. Distance protection of lines connected to induction generator-based wind farms during balanced faults. IEEE Trans. Energy Convers. 2014, 5, 1193–1203. [Google Scholar] [CrossRef]
- Chen, Y.; Wen, M.; Yin, X.; Cai, Y.; Zheng, J. Distance protection for transmission lines of DFIG-based wind power integration system. Int. J. Elect. Power Energy Syst. 2018, 100, 438–448. [Google Scholar] [CrossRef]
- Dubey, R.; Samantaray, S.R.; Panigrahi, B.K.; Venkoparao, G.V. Adaptive distance relay setting for parallel transmission network connecting wind farms and UPFC. Int. J. Elect. Power Energy Syst. 2015, 65, 113–123. [Google Scholar] [CrossRef]
- Dubey, R.; Samantaray, S.R.; Panigrahi, B.K. Adaptive distance protection scheme for shunt-FACTS compensated line connecting wind farm. IET Gener. Transm. Distrib. 2016, 10, 247–256. [Google Scholar] [CrossRef]
- Pradhan, A.K.; Joos, G. Adaptive distance relay setting for lines connecting wind farms. IEEE Trans. Energy Convers. 2007, 22, 206–213. [Google Scholar] [CrossRef]
- Yang, G.; Dong, M.; Zhou, Z.; Zhou, C.; Du, D.; Zhan, Z.; Yang, D. The influences and countermeasures of wind farm access to transmission line differential protection. In Proceedings of the IEEE Power Electronics and Machines in Wind Applications, Denver, CO, USA, 16–18 July 2012; pp. 1–4. [Google Scholar]
- Yang, J.; Wang, B. Adaptability analysis of fault component differential protection in large capacity double-fed wind farm outgoing transmission line protection. In Proceedings of the International Conference on Smart Grid and Clean Energy Technologies, Chengdu, China, 19–22 October 2016; pp. 221–225. [Google Scholar]
- Wei, W.; Zhang, L.; Gao, B.; Tang, Y.; Chen, N.; Zhu, L. Frequency inconsistency in DFIG-based wind farm during outgoing transmission line faults and its effect on longitudinal differential protection. In Proceedings of the 4th Annual IEEE International Conference on Cyber Technology in Automation, Control and Intelligent, Hong Kong, China, 4–7 June 2014; pp. 25–30. [Google Scholar]
- Jia, K.; Li, Y.B.; Fang, Y.; Zheng, L.; Bi, T.; Yang, Q. Transient current similarity based protection for wind farm transmission lines. Appl. Energy 2018, 225, 42–51. [Google Scholar] [CrossRef]
- Chen, L.; Ling, X.N.; Li, Z.T.; Wei, F.R.; Zhao, H.; Bo, Z.Q.; Huang, J.G.; Deng, K. Similarity comparison based high-speed pilot protection for transmission line. IEEE Trans. Power Del. 2018, 33, 938–948. [Google Scholar]
- Hooshyar, A.; Iravani, R. A new directional element for microgrid protection. IEEE Trans. Smart Grid 2018, 9, 6862–6876. [Google Scholar] [CrossRef]
- Hooshyar, A.; Azzouz, M.A.; El-Saadany, E.F. Three-phase fault direction identification for distribution systems with DFIG-Based Wind DG. IEEE Trans. Sustain. Energy 2014, 5, 747–756. [Google Scholar] [CrossRef]
- Tang, J.; Song, G.; Wang, C. Adaptability analysis of directional relays in power systems with wind farms. In Proceedings of the 13th International Conference on Development in Power System Protection 2016, Edinburgh, UK, 7–10 March 2016; pp. 1–6. [Google Scholar]
- Wang, C.Q.; Song, G.B.; Zhang, J.H. A novel principle of directional relay for wind power integration based on model recognition in time-domain. In Proceedings of the 2016 IEEE PES Asia-Pacific Power and Energy Engineering Conference, Xi’an, China, 25–28 October 2016; pp. 1851–1855. [Google Scholar]
- Huang, T.; Lu, Y.P. Improved superimposed current phase selector of wind farm with crowbar system. In Proceedings of the 2014 IEEE PES General Meeting Conference & Exposition, National Harbor, MD, USA, 27–31 July 2014; pp. 1–5. [Google Scholar]
- Huang, T.; Lu, Y.P.; Cai, C. Analysis of phase angle characteristics of DFIG equivalent sequence superimposed impedances and its impact on fault components based direction relay. Proc. CSEE 2016, 14, 3929–3939. [Google Scholar]
- Ge, Y.Z. New Types of Protective Relaying and Fault Location: Their Theory and Techniques; Xi’an Jiao Tong University Press: Xi’an, China, 2007; p. 93. [Google Scholar]
- Ouyang, J.X.; Zheng, D.; Xiong, X.F.; Xiao, C.; Yu, R. Short-circuit current of doubly fed induction generator under partial and asymmetrical voltage drop. Renew. Energy 2016, 88, 1–11. [Google Scholar] [CrossRef]
- LokFu, P.; Dinavahi, V. Real-time simulation of a wind energy system based on the doubly-fed induction generator. IEEE Trans. Power Syst. 2009, 24, 1301–1309. [Google Scholar] [CrossRef]
- Trefethen, L.N.; Bau, D. Numerical Linear Algebra III; SIAM: Philadelphia, PA, USA, 1997; pp. 83–84. [Google Scholar]






















© 2020 by the authors. Licensee MDPI, Basel, Switzerland. This article is an open access article distributed under the terms and conditions of the Creative Commons Attribution (CC BY) license (http://creativecommons.org/licenses/by/4.0/).
Share and Cite
Li, X.; Lu, Y.; Huang, T. Impact of the DFIG-Based Wind Farm Connection on the Fault Component-Based Directional Relay and a Mitigation Countermeasure. Energies 2020, 13, 4414. https://doi.org/10.3390/en13174414
Li X, Lu Y, Huang T. Impact of the DFIG-Based Wind Farm Connection on the Fault Component-Based Directional Relay and a Mitigation Countermeasure. Energies. 2020; 13(17):4414. https://doi.org/10.3390/en13174414
Chicago/Turabian StyleLi, Xu, Yuping Lu, and Tao Huang. 2020. "Impact of the DFIG-Based Wind Farm Connection on the Fault Component-Based Directional Relay and a Mitigation Countermeasure" Energies 13, no. 17: 4414. https://doi.org/10.3390/en13174414
APA StyleLi, X., Lu, Y., & Huang, T. (2020). Impact of the DFIG-Based Wind Farm Connection on the Fault Component-Based Directional Relay and a Mitigation Countermeasure. Energies, 13(17), 4414. https://doi.org/10.3390/en13174414

