Abstract
Direct lightning strikes on overhead phase conductors result in high overvoltage stress on the medium voltage (MV) terminals of pole-mounted transformers, which may cause considerable damage. Therefore, introducing an efficient protection strategy would be a remedy for alleviating such undesirable damages. This paper investigates the optimized protection of MV transformers against direct lightning strikes on the phase conductors. To this end, first, the impacts of grounding densities (number of grounded intermediate poles between every two successive transformer poles) on the probability of overvoltage stress on transformer terminals are investigated. Then, the implications of guy wire, as a supporting device for ungrounded intermediate poles, on reducing the overvoltage stress on transformers, are studied. Finally, the role of a surge arrester in mitigating the overvoltage stress of non-surge-arrester-protected transformer poles is scrutinized. The investigations are conducted on a sample MV network with 82 wood poles comprising 17 pole-mounted transformers protected by spark gaps. To provide in-depth analysis, two different poles, namely creosote- and arsenic-impregnated poles, are considered under wet and dry weather conditions. A sensitivity analysis is performed on grounding distances and on a combination of guy wire and grounded intermediate poles while taking into account soil ionization. The results provide a clear picture for the system operator in deciding how many grounded intermediate poles might be required for a system to reach the desired probabilities of transformers experiencing overvoltage stress and how the surge arrester and guy wires contribute to mitigating undesirable overvoltage stress.
1. Introduction
A medium voltage (MV) distribution network with overhead lines may experience high overvoltage due to direct lightning strikes. Such transient overvoltages are the primary source of damage to MV equipment, especially power transformers. They cause stress on the insulation system that gradually results in failure or severe damage [1]. The results of a survey on transformer reliability by Cigre Study Committee A2.37 [2] show that the largest numbers of failures are caused by natural disasters. In this report, since all the transformers were protected by surge arresters, the failure rate due to lightning was around 3%. Furthermore, the highest failure rate can be attributed to design, manufacturing and aging, with 32%, while 29% of causes remained unknown. This high unknown failure rate and even the failure rate corresponding to the aging category might be the result of the accumulation of prior small damages due to transient overvoltages [1,3].
The protection level of MV transformers in a network depends on several factors, such as insulation level [4,5], protection devices (e.g., spark gap, surge arrester, etc.) [6,7], and grounding conditions [8], among others. More often than not, MV transformers are protected by spark gaps against lightning overvoltage [9]. These devices are cheap; however, when triggered, they cause an interruption in the electricity supply to the consumers [10]. On the other hand, a surge arrester is considered the most appropriate device to provide adequate protection for power transformers against direct and indirect lightning phenomena [11]. Nevertheless, as concluded by experimental analyses in [12], the protective performance of surge arresters depends on the steepness of the lightning surge as well as the earthing system. In some works, the spark gaps were considered as the only protection device for MV transformers, while there exist various works that considered different combinations of the spark gap and surge arrester. In [13], first, the authors investigated the impacts of the spark gap and the surge arrester separately; then, a combination of these devices was considered on the MV side of the transformer. This work deduced that an efficient way to reduce the overvoltage might be combining the spark gap and a surge arrester with a lower rating (which is cheaper) in series to reach the desired result. In [14], another combination of spark gap and surge arrester was considered such that the spark gap was installed on the MV side of the transformer, while on the low voltage (LV) side, a surge arrester was considered. The outcome of this work was mitigating the transmitted lightning overvoltage from the MV side to the LV side and toward the low voltage electricity consumers. Unlike [14], the authors in [15] investigated the effects of installing surge arresters on the MV side of the transformer while installing a spark gap on the LV side. It was shown that installing the spark gap on the LV side limited the overvoltage stress on the MV side. Practical experiments show that one of the most efficient protection strategies for transformers against lightning overvoltages is installing surge arresters on both the medium voltage (MV) and low voltage (LV) sides [16]; however, this might be an expensive solution for MV networks. Therefore, to install limited numbers of surge arresters in optimal locations, the placement of the surge arrester has been studied in some works. Heuristic algorithms such as the genetic algorithm [6], fuzzy logic [17], etc., are the most commonly used methods to find the optimal placement for a surge arrester, while some works have proposed innovative approaches to the allocation problem. The authors in [18] proposed a novel methodology, namely direct discharge crossing (DDC), to analyze the critical condition of the network and then install surge arresters in optimal locations to prevent equipment failure. The methodology offered a lightning performance function based on two main factors, namely the amplitude of overvoltage and the number of flashovers due to direct lightning, and then recommended the locations of surge arresters to mitigate the lightning overvoltage stress. It was shown in [19] that even installing a surge arrester may not always prevent flashovers on the transformers, and this may cause minor damage in the internal circuit of the transformer, and, over time, it may cause complete failure of insulation. This is most probably due to the inherent behavior of surge arresters that minimizes the effects of the steep wavefront of lightning overvoltages, while they are not capable of eliminating the surges generated from reaching transformers [20].
Considering an appropriate model for the grounding system plays a crucial role in conducting high voltage studies and helps in obtaining more practical results. More often than not, 22 kV medium voltage networks are not supported by overhead ground wires against lightning strikes. A direct lightning strike to the phase conductor of ungrounded poles results in a multi-phase fault [21,22]. Therefore, in MV networks, for the sake of providing better protection for the transformers against external overvoltage surges, as well as due to safety requirements, the transformer poles are grounded. Direct lightning imposes a very high current that, in grounded poles, goes toward the ground and may cause soil ionization as a result of a breakdown inside the air voids existing among the soil particles [23]. Soil ionization results in decreasing the earthing resistance [24], i.e., under the ionization condition, the resistance is varied by the current. However, in most of the existing works on distribution networks, constant resistances were used to model the grounding resistance [8,25,26]. In [25], the importance of earthing resistance in the performance of surge-protecting devices installed in the LV terminal of the pole-mounted distribution transformer was investigated. In this work, different constant ground resistances were considered in order to investigate the effect of grounding resistance size on phase-to-earth overvoltage amplitude under different lightning peak currents. In [8], by considering different constant grounding resistances of surge arresters and measuring the imposed voltage and current on the LV terminals, it was concluded that the lower the resistance, the better the protective functionality of the surge arrester becomes. Experimental results also emphasize the importance of low grounding resistance for better performance of protective devices such as surge arresters [12]. However, the authors in [26], by considering different constant grounding resistances for the surge arrester installed on the MV side of the transformer in a network, concluded that, for their particular configuration, (1) increasing the grounding resistance slightly changes the protective performance of surge arresters, and (2) equipping the system with proper protective devices is much more important than decreasing the grounding resistance. Defining a suitable distance between two grounded poles is yet another critical issue. In [27], it was demonstrated that the effectiveness of a shielding wire on the mitigation of lightning-induced overvoltages depends on the value of earthing resistance, while, in [7], the authors stated that it also depends on the distance between two consecutive grounding points. Still, there is a gap in the study of the impact of grounding density between two successive grounded transformer poles on mitigating the overvoltage stress at the terminals of transformers.
According to the aforementioned literature review, and to the best of our knowledge, (a) no work so far has considered the impact of different grounding densities between two successive grounded intermediated poles (poles between two transformer poles) on the probability of different overvoltage stress levels of transformers occurring in a network, (b) the impact of guy wire on protecting the MV network against direct lightning has always been neglected, and (c) there is a gap in investigating the effects of surge arrester(s) on the overvoltage stress of adjacent non-surge-arrester-protected transformer poles as well as on the probability of overvoltage stress at the terminals of transformers.
Therefore, the main contributions of this work are as follows:
- Investigating the impact of different grounding spans (spans between two successive grounded intermediate poles) on the probability of overvoltage stress.
- Investigating the impact of guy wire, installed at the ungrounded poles, on the probability of overvoltage stress at the adjacent pole-mounted transformers.
- Modeling the transient performance of the grounding system by using a nonlinear resistance for soil ionization due to large lightning current.
- Investigating the impact of surge arrester(s), installed on the MV side of the transformers on mitigating the overvoltage stress of the adjacent non-surge-arrester-protected pole-mounted transformer.
The remainder of this paper is organized as follows. Section 2 presents the simulation setup for different components of an MV distribution network. Primary parts of the sample system are validated in Section 3. Detailed information on the case studies and the primary assumptions are provided in Section 4. Section 5 provides simulation results and in-depth analyses. Section 6 presents the concluding remarks and prospects of future works.
2. Simulation Setup
This section provides detailed information on the simulation setup related to a part of a typical 3-phase medium-voltage (MV) network. The components to be modeled in Electromagnetic Transients Program-Restructured Version (EMTP-RV) [28] are direct lightning impulse, wood poles, metallic cross arm, insulators, overhead lines, earthing system, guy wire, spark gap, and surge arrester.
2.1. Direct Lightning
In order to model the behavior of direct lightning in a software environment, a current source is used. In this paper, a Cigre current source is utilized to simulate the behavior of direct lightning [29]. The required parameters to produce the direct lightning impulse are presented in Table 1.
Table 1.
Parameters of direct lightning [13].
Figure 1 depicts the direct lightning impulse generated by using the Cigre current source available in the EMTP-RV and by applying the values presented in Table 1.
Figure 1.
Lightning current impulse.
2.2. Wood Poles and Cross Arm
Figure 2 presents the dimensions and different parts of an MV wood pole. The wood poles for 3-phase overhead distribution lines—see Figure 2a—are modeled by a parallel resistor-capacitor circuit, while the metallic cross arms—see Figure 2b—are modeled by inductors [13]. The capacitance for this 7 m pole is 5.36 pF [30], and the value per unit length of inductances (to model the cross arms) is 1 . Cross arms of grounded poles are connected to the footing resistance via a lead wire (Figure 2e), while, for ungrounded poles, the lead wire is removed. The resistance of the pole highly depends on the weather conditions [31]. In this work, poles with two different impregnation materials, namely creosote and arsenic, are studied under wet and dry weather conditions. The resistances of creosote- and arsenic-impregnated poles under wet conditions in November, are 580 and 28 , respectively, while, under dry conditions in August, both poles are considered to have similar resistances of 1400 [31]. Note that these resistances also depend on the geographical characteristics and the above values have been used due to their applicability in Finland.
Figure 2.
Dimensions and different parts of the medium voltage wood pole for a 3-phase distribution network: (a) pole, (b) cross arm, (c) insulator, (d) overhead lines, (e) lead wire (used for grounding), (f) guy wire, and (g) earthing system.
The occurrence of a flashover down the wood pole is modeled via a voltage-controlled switch. When the voltage over the pole exceeds the critical flashover voltage (CFO) of the pole, the switch is closed; otherwise, the switch remains open. Under the wet condition, the CFOs for creosote- and arsenic-impregnated wood poles are assumed to be 320 kV/m and 160 kV/m, respectively, while, under the dry condition, the CFO for both poles is assumed to be 400 kV/m. The arcing resistance for poles is set to be 80 . In high voltage studies, the CFO of two or more components in series is the summation of the CFOs of each component [21]. Therefore, in the case of grounded poles, the CFO is simply the CFO of insulators—see Section 2.3—while, in the case of the ungrounded pole, the flashover voltage depends on the combined dielectric strength of the insulator and pole connected in series, which is the summation of the CFOs. It is noteworthy to mention that, if an ungrounded pole is supported by guy wire, the total CFO is the CFO of the insulator plus the CFO of the pole corresponding to the length from cross arm to the guy wire connection point.
2.3. Modeling the Insulator
The insulators, which are located between the conductors (overhead lines) and cross arm—see Figure 2c—are modeled by considering a parallel resistor-capacitor circuit, where the values of capacitance and resistance are set to 80 pF and 25 M, respectively [22].
On the other hand, it is necessary to simulate the flashover phenomena, which may occur over the insulators by lightning strikes.
In this work, the length of the insulator is 18 cm and a time-dependent model is used to model the behavior of the insulator closer to the practical situation. To do so, the flashover voltage is approximated by (1).
where is the flashover voltage in kV, a and b are arbitrary parameters that can be adjusted via laboratory test and, in this work, these parameters are set to 400 and 700, respectively; is the insulator length in m, and is the elapsed time after lightning strike in [22,32,33].
2.4. Overhead Line
In order to simulate the behavior of the overhead lines for the sample 3-phase MV network under direct lightning conditions, J. Marti’s frequency dependent (FD) line model is used [34]. This model is available in the library of the EMTP-RV, while the technical data need to be prepared for the overhead lines. The DC resistance and outside diameter of the conductors are set to 0.509 and 0.6 , respectively. The length of each span is 80 , while, for the end points of the network, long overhead lines of 15 are considered.
2.5. Earthing System
In order to have a more practical model, the ionization of the soil needs to be taken into account—see Figure 2g. Footing resistance is nonlinearly proportional to the value of current, such that, for low currents, there will be a constant resistance, while the resistance of a ground electrode may decrease due to ionization of the soil. In this paper, the footing resistance under high impulse current is calculated by (2) [24].
where is the footing resistance at high impulse current, is the footing resistance at low current, is the current through the footing resistance, and is the current required to initiate the soil ionization gradient, . In this work, for grounded poles, is assumed to be 17 [35,36]. The limiting current is calculated by (3).
where is the soil resistivity, and is the soil breakdown gradient. In this paper, it is assumed that the soil resistivity and soil breakdown gradient are 75 () [37] and 400 [29,37], respectively.
It is noteworthy to mention that, in EMTP-RV, an existing current-controlled nonlinear resistance is used to simulate the behavior of the earthing system [28].
2.6. Guy Wire
A guy wire is a tensioned cable designed to support the poles by enhancing their stability. More often than not, guy wires are used in the dead-end, transformer poles and also in the angles of the line route. Guy wire is modeled by an equivalent constant parameter (CD) line model with a surge impedance of 450 [38,39]. Guy wire earthing system can be modeled as a constant resistance since the current conducted through this wire is relatively low and does not initiate the soil ionization [40]. However, in this work, due to considering the arsenic-impregnated pole under the wet condition, which has a relatively low resistance, the earthing system described in Section 2.5 is used. The distance of the guy wire from the metallic part of the cross arm is 2 m. It is worth mentioning that, for the guy wire earthing system, the footing resistance is considered to be 40 times higher than the pole grounding resistance [38].
2.7. Spark Gap
A spark gap, which is used to protect the transformers by limiting the overvoltage amplitude, is modeled via the disruptive effect (DE) method. When the amplitude of the voltage over the spark gap exceeds the critical flashover voltage between the terminals, it triggers [41]. In some works, a simple voltage-controlled switch is used to model the behavior of the spark gap [13,14]; however, in this paper, the DE method in (4), which presents a more precise result, is used.
where the k, , and D are an empirical constant, the onset voltage of primary ionization (kV), and the disruptive effect constant (kV µs), respectively. In this paper, kV, , and 0.01 are used to simulate the behavior of an 8 cm sphere-sphere spark gap.
2.8. Surge Arrester
In this paper, the frequency dependent behavior of the metal oxide surge arrester is modeled according to the guidelines provided by the IEEE Working Group 3.4.11 [42]. To do so, a resistor (R), inductor (L), and capacitor (C) circuit, namely RLC circuit, presented in Figure 3, is used, in which two nonlinear resistance Ao and A1 are separated by an R-L filter. The required information to simulate a surge arrester is obtained from [43] and the voltage-current (V-I) characteristics of the nonlinear resistances are derived from [42].
Figure 3.
Frequency-dependent metal oxide surge arrester [42].
2.9. Transformer
In this work, a delta–star () 22/0.4 kV transformer is modeled in the EMTP-RV environment, according to Cigre Guidelines [44]. Figure 4 shows the basic building block of a transformer for one phase in EMTP-RV, while Figure 5 presents the 3-phase transformer model in which the capacitances on the primary side, between the primary and secondary sides, and on the secondary side have been considered, which play a crucial role in high voltage transient studies.
Figure 4.
Basic building block for each phase of the transformer, EMTP-RV model.
Figure 5.
connection model of the transformer with measured capacitances.
2.10. Sample Network
The sample MV network in Figure 6 consists of 81 wood poles, and the length of the spans is 80 m. The length of the lines at both ends (e.g., FD line 1) is set to 15 km. The network has 17 pole-mounted transformers at every five spans (400 m). The first transformer is placed on pole #1, and the next on pole #6, and so on, while the direct lightnings are applied on every three spans, e.g., pole #1, pole #4, and so on.
Figure 6.
Sample medium voltage network.
3. Model Validation
This section provides adequate information and analyses to validate primary parts of the system, such as spark gap, transformer capacitances, insulator flashover, as well as surge arrester.
3.1. Spark Gap and Transformer
In the literature, several approaches have been proposed to obtain a good approximation of the DE parameters such as k, , and D. However, the best way to adjust these parameters is to have some experimental data. In this work, an 8 cm sphere-sphere spark gap, presented in Figure 7, is used [45].
Figure 7.
Adjustable sphere-sphere spark gap [45].
In order to validate the proper functionality of this spark gap, a nonstandard 125 kV overvoltage impulse is used. In Figure 8a, the green curve shows the applied impulse in a laboratory, while the blue curve stands for the applied impulse modeled in EMTP-RV.
Figure 8.
(a) Applied nonstandard 125 kV lightning impulse; (b) Measured overvoltage stress in the presence of spark gap [45].
To adjust the parameters of the DE method, more often than not, some approximation methods are used, although these methods may not always give an accurate result. As an example, in [46], these values are estimated by determining the critical flashover voltage (CFO) as , , and k = 1 that results in , . By considering these values in our work, the spark gap was not triggered under 125 kV applied impulse and the transformer experienced the overvoltage presented in Figure 8a, while the experimental measurements show that the spark gap is triggered—see Figure 8b. Therefore, in this work, first, the is estimated via the method proposed by the Cigre Group [47] (), and then a trial and error method is used to find a better agreement with the laboratory results. To this end, as suggested in [47], the is considered to be lower than 1 and then the parameter D is adjusted. Therefore, in this paper, the parameters are set as follows: kV, , and 0.01.
On the other hand, the performance and triggering of the spark gap highly depends on the characteristic of the transformer, especially the capacitances on the primary side (C1), on the secondary side (C2), and between the primary and secondary sides (C3) of the transformer—see Figure 5. To obtain these values, laboratory tests are required. Interested readers may refer to [48] to obtain a complete report on the laboratory setup and measurements of transformer winding capacitances. The extracted capacitances are as follows: , , ,
Figure 8b presents a comparison between the behavior of the spark gap against lightning overvoltages by making an experimental laboratory test [49] and the result obtained via the DE method simulated in EMTP-RV. As can be seen in Figure 8b, the result of the DE method is in very good agreement with the laboratory test. It is noteworthy to mention that the small peak after the primary peak in the applied impulse is due to the induced voltage on the standard voltage divider of the laboratory as a result of the electromagnetic fields associated with the high voltage impulse [50]. More information regarding the applied impulse and the validation of the spark gap can be found in [45].
The performance of the spark gap in a network is verified in Section 3.2 jointly with validating the behavior of the insulator.
3.2. Insulator
Whenever the voltage across the insulator is larger than the flashover voltage calculated by (1), a flashover occurs. That is, under very high overvoltage conditions, an insulator may experience frequent flashovers. Let us investigate different situations for the insulator and see its performance. To do so, the lightning is applied on phase a (see Figure 6) of an intermediate pole adjacent to the transformer pole. Figure 9a–c present the flashover occurrence across the insulators corresponding to phase a, b and c, respectively, while Figure 9d demonstrates the performance of the spark gap in protecting a pole-mounted transformer against lightning impulses. In these figures, the gaps among the bar-like overvoltages stand for the flashover occurrence, and a larger gap means a longer flashover time. Figure 9a–c shows that, by striking the lightning at a pole, frequent flashovers occur across the insulators, and the highest flashover voltage occurs across insulator a (i.e., insulator used for phase a), which is the phase that the lightning strikes. However, from Figure 9d, it can be seen that, for this phase, the spark gap is not triggered. This happens since the time of each flashover across insulator a is comparatively high (see the gaps in Figure 9a); then, the area under the overvoltage curve (which represents the integral part in Equation (4)) is not large enough to trigger the spark gap (see the red bar-like overvoltage waveform in Figure 9d). For phase 2, the spark gap is not triggered since the flashover voltage is always below the onset voltage of primary ionization, which is 112 kV in this paper—see the blue waveform in Figure 9d. However, for insulator c, the situation is different, and the area below the overvoltage curve is large enough to trigger the spark gap and protect the transformer against very high overvoltage stress.
Figure 9.
Flashover occurrence across (a) insulator a, (b) insulator b, and (c) insulator c, and (d) performance of the spark gap of the same pole against lightning impulses.
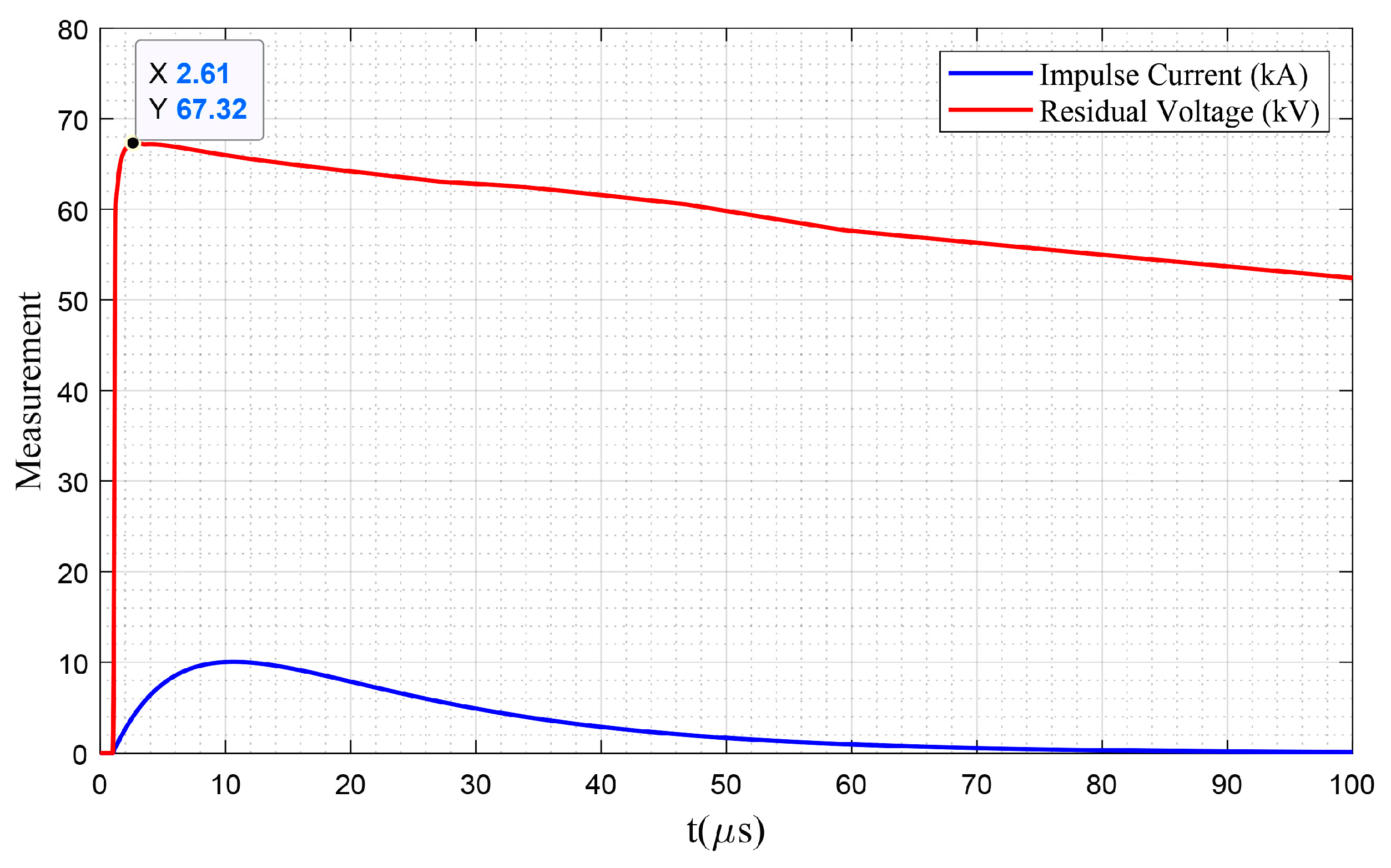
3.3. Surge Arrester
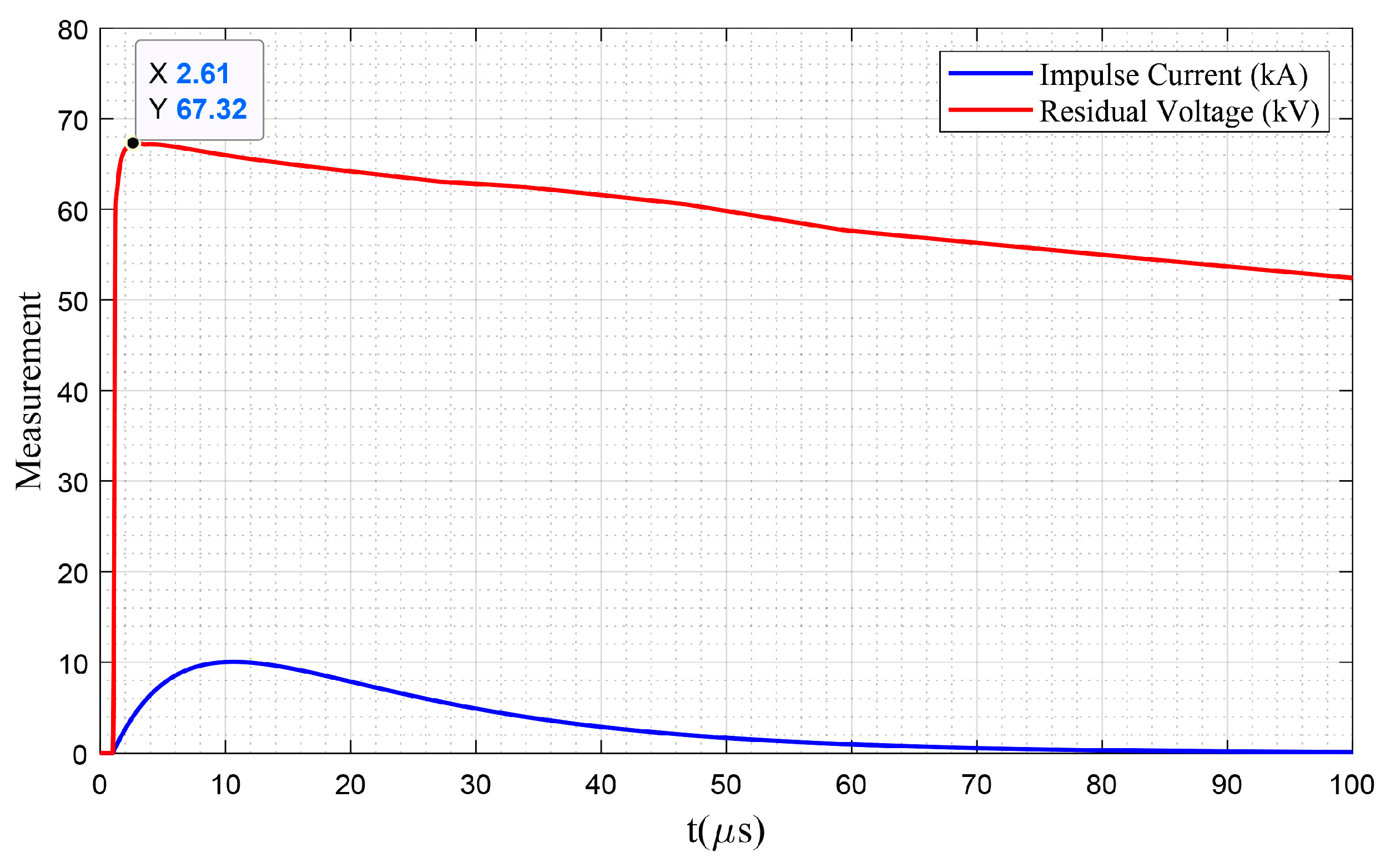
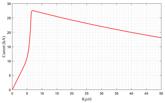
The functionality of the utilized surge arrester can be verified by applying the direct lightning and monitoring the residual voltage under the nominal current. The surge arrester model is validated by performing a simulation-based test under the standard 10 kA current impulse (8/20 μs) and comparing the results with laboratory tests, provided in [43]. The obtained result from the simulated model in EMTP-RV shows a residual voltage of 67.32 kV, see Figure 10, which is in resounding agreement with the 67.5 kV residual voltage reported in [43].
Figure 10.
Residual voltage under a 10 kA current impulse (8/20 μs).
Now, let us consider the performance of surge arresters in the sample network. To do so, first, direct lightning is applied on the intermediate pole adjacent to the transformer pole (see Figure 11a), and then direct lightning is applied on the transformer pole (Figure 11b). As can be seen in Figure 11a, the measured overvoltages for all three terminals are below the residual voltage, while, in Figure 11b, when the lightning directly struck the transformer pole, the surge arrester experienced a steep overvoltage with an amplitude of around 80.34 kV. However, immediately, it starts its proper role and the overvoltage is reduced below its residual voltage level, which is a natural behavior of surge arresters against steep lightning strikes [12]. The cases presented in Figure 11a,b verify the proper functionality of surge arresters under normal and critical overvoltage conditions, respectively.
Figure 11.
Performance of surge arrester when direct lightning is applied on (a) the intermediate pole adjacent to the transformer and (b) the transformer pole.
4. Case Studies
This section provides detailed information about the primary assumptions and case studies. To perform in-depth analyses of the protection level of pole-mounted transformers, several case studies are conducted. As mentioned before, two types of wooden poles, namely arsenic- and creosote-impregnated poles, are used for investigations. These poles have been selected since the arsenic-impregnated (AI) pole shows the greatest variations in resistance according to the weather conditions—28 k in November and around 1350 k in August—while the creosote-impregnated (CI) pole experiences the least variations in resistance—580 k in November and 1400 k in August [31]. The primary goals of the following case studies are (a) to define the effectiveness of grounding distance between two successive grounded poles, (b) revealing the role of guy wires in decreasing the amplitude of the lightning overvoltages, as well as (c) investigating the effectiveness of equipping up to two transformer poles with surge arresters on the transient condition of non-surge-arrester-protected transformer poles. In this work, the following assumptions are imposed:
- All transformers are protected with spark gaps.
- All the transformer poles are grounded, and, like practical cases, in transformer poles, the transformers and the pole have a shared earthing system.
- The position of direct lightning has been varied and applied after every three spans, and the amplitudes of the voltages on the primary side of transformers and for all the three phases are measured.
- For the sample network, three primary configurations are considered. These configurations are (1) network with wet creosote-impregnated poles, (2) network with wet arsenic-impregnated poles, and (3) network with dry creosote-/arsenic-impregnated poles. It is noteworthy to mention that, since under dry conditions, both the networks with creosote- and arsenic-impregnated poles show relatively similar resistances, only one test is accomplished for them under this weather condition.
In this work, and in order to extract the probability of MV pole-mounted transformers being subjected to overvoltage stress, the following case studies are conducted.
- Case 1
- Distribution network with grounded transformer poles while other poles are ungrounded. This case performs studies on three primary network configurations (see Section 4, assumption d) where only the transformer poles of the sample distribution network are grounded, and the transformers are protected by the spark gaps.
- Case 2
- Distribution network with grounded transformer poles and a number of grounded intermediate poles. This case provides a sensitivity analysis to investigate the relationship between the grounding density, i.e., grounding intermediate poles between every two successive transformer poles. To this end, first, only one intermediate pole between two successive transformer poles is grounded; then, the cases with two, three, and four grounded intermediate poles are studied. The primary goal of this case is to investigate the impacts of grounding densities (number of grounded intermediate poles) on mitigating the overvoltage stress on the MV terminals of transformers.
- Case 3
- Intermediate poles with a guy wire. This case investigates the impacts of considering guy wires on the probabilities of transformers experiencing different stress levels. Additionally, the impact of joint consideration of grounded intermediate poles and guy wires is studied. The setting for this sub-configuration is constructed such that all non-grounded intermediate poles are supported by guy wire.
- Case 4
- Considering surge arrester for some transformers. This case investigates the impacts of surge arresters on enhancing the protection level. In this case, two different sub-configurations are performed considering two and four surge-arrester-protected transformers.
In this work, the probability of overvoltage stress on the primary side of the transformer, i.e., the probability that the overvoltage amplitude, on at least one phase of the transformer, exceeds the critical overvoltage, is calculated by (5).
where is the probability of overvoltage stress on the primary side; is the highest voltage among the three phases measured on the primary side; is the critical voltage; is the set of poles on which the direct lightning is applied (in this paper, ); is the number of transformers in which at least one of the phases exceeds the critical voltage under applied lightning on pole i; is the total number of pole-mounted transformers (in this work, 17), and is the total number of poles under direct lightning—in this work, .
5. Simulation Results and Discussion
It is assumed that four different stress levels exist for the transformer, although the transformer is essentially under stress if the voltage at the MV side of the transformer reaches above 125 kV, which is one of the standard impulse withstand voltages used for testing the transformer insulation [51] and is applied for the understudy transformer [52]. Therefore, to provide adequate information, besides studying the probability of overvoltage amplitudes above 125 kV, the probabilities of transformers experiencing overvoltage amplitudes above 150 kV (to study the severe cases), above 85 kV, as well as above 30 kV are studied.
5.1. Case 1. Distribution Network with Grounded Transformer Poles
In the MV distribution network, to ensure electrical safety, the transformer tanks are grounded. Therefore, this case is considered as a benchmark for the sake of comparison.
Table 2, Table 3 and Table 4 present the probabilities of transformers being under four different overvoltage stress levels (above 150 kV, 125 kV, 85 kV, and 30 kV) respectively for three network configurations, namely network with wet creosote-impregnated, wet arsenic-impregnated, and dry poles.
Table 2.
Number of transformers with at least one phase reaching the critical overvoltage level. Case 1, wet creosote-impregnated poles and grounded transformer poles.
Table 3.
Number of transformers with at least one phase reaching the critical overvoltage level. Case 1, wet arsenic-impregnated poles and grounded transformer poles.
Table 4.
Number of transformers with at least one phase reaching the critical overvoltage level. Case 1, dry poles and grounded transformer poles.
Results presented in Table 2, Table 3 and Table 4 show that, although all the transformer poles are grounded, under direct lightning conditions, in several tests (applying direct lightning on different poles), one or two transformers experience very high overvoltage stress (above 150 kV) while, in all tests, at least one transformer is subjected to overvoltage stress above 30 kV. Additionally, it shows that the number of transformers under high overvoltage stress (above 125 kV) is the same as very high overvoltage stress, except for the network configuration with wet creosote-impregnated poles: when the lightning directly strikes pole #28, three transformers experience overvoltage stress above 125 kV while only two transformers experience overvoltage stress above 150 kV.
Figure 12 depicts the probabilities of transformers being subjected to different levels of overvoltage stress. As can be seen, in this case, the probabilities for the different system configurations (wet creosote, wet arsenic, and dry poles) are almost the same. The main reason is that the intermediate poles (poles between two successive transformer poles) are ungrounded, and on the other hand, the dielectric strength of 7 m pole under the wet and dry condition and with both the impregnation materials (creosote or arsenic) is large enough to prevent any flashover. That is, any lightning strike on one of the intermediate poles travels toward the nearest grounded pole (which is the transformer pole in this case), and a flashover on the insulator occurs. It can be seen from Table 2, Table 3 and Table 4 that, in some tests, only one transformer experiences low overvoltage stress (above 30 kV). This happens when the direct lightning strikes the transformer poles (i.e., poles #1, #16, #31, #46, #61, and #76), and, according to the combination of dielectric strength (see Section 2.2), flashovers on the insulators are discharged via the grounded cross arm.
Figure 12.
Comparison among the probabilities of transformer overvoltage stress, Case 1 (only transformer poles grounded).
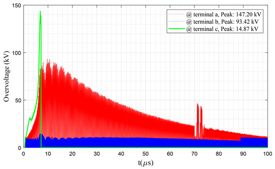
Since this case served as the benchmark, the overvoltage curves at the three terminals of the transformer mounted at pole # 36 are captured in Figure 13. In this figure, the lightning is applied on the adjacent pole of the network with dry poles. As can be seen from this figure, the overvoltage stress at terminal c is much higher than the other two terminals; therefore, for the sake of clarity and not repeating similar concluding remarks, in case 2, case 3, and case 4, only the overvoltage stress at terminal c of this transformer will be considered as the basis for providing in-depth analysis.
Figure 13.
Overvoltage stress at three terminals of transformer mounted at pole #36; Network with dry poles under a lightning strike on pole #35, Case 1.
5.2. Case 2. Distribution Network with Grounded Intermediate Poles
In this case, the three primary network configurations (see Section 4, assumption d) are investigated under several sub-configurations by considering different grounding densities as follows.
- C2.1.
- Grounding one intermediate pole between two successive grounded transformer poles, i.e., poles #3, #8, #13, and so on are grounded.
- C2.2.
- Grounding two intermediate poles between two successive grounded transformer poles, i.e., poles (#3, #4), (#8, #9), (#13, #14), and so on are grounded.
- C2.3.
- Grounding three intermediate poles between two successive grounded transformer poles, i.e., poles (#2, #3, #4), (#7, #8, #9), (#12, #13, #14), and so on are grounded.
- C2.4.
- Grounding all intermediate poles between two successive grounded transformer poles, i.e., poles (#2, #3, #4, #5), (#7, #8, #9, #10), (#12, #13, #14, #15), and so on are grounded.
This case is used to deduce the impact of grounding densities (number of grounded intermediate poles between two successive grounded poles) on the amplitude of lightning overvoltage as well as on the probabilities of transformers experiencing different overvoltage stress levels at their MV terminals.
Table 5 and Table 6 respectively stand for the results of grounding one intermediate pole between two successive transformer poles for the network with wet creosote- and wet arsenic-impregnated poles against direct lightning strikes, while Table 7 presents the results for the dry condition.
Table 5.
Number of transformers with at least one phase reaching the critical overvoltage level. Case 2, wet creosote-impregnated poles and grounding one intermediate pole between two transformer poles.
Table 6.
Number of transformers with at least one phase reaching the critical overvoltage level. Case 2, wet arsenic-impregnated poles and grounding one intermediate pole between two transformer poles.
Table 7.
Number of transformers with at least one phase reaching the critical overvoltage level. Case 2, dry poles and grounding one intermediate pole between two transformer poles.
By comparing Table 5, Table 6 and Table 7, respectively, with Table 2, Table 3 and Table 4, one significant difference is that the number of transformers under severe overvoltage stress (overvoltage with an amplitude above 125 kV and 150 kV) has been decreased. On the other hand, a comparison among Table 5, Table 6 and Table 7 shows that by applying direct lightning on different poles, the numbers of transformers experiencing an overvoltage stress level are almost the same for similar tests, which can be justified according to the large-enough dielectric strength of the 7 m wood poles under different conditions that prevents any flashover and fast overvoltage discharge to the ground. To visualize such similarities, Figure 14 depicts the probabilities of overvoltage stress on the MV terminals of transformers under different network configurations. As can be seen from this figure, the probabilities of transformers experiencing overvoltage amplitude over 150 kV, 125 kV, and 85 kV are exactly the same for all three network configurations, while, for overvoltage amplitude over 30 kV, the network with wet arsenic-impregnated poles, compared with the other two network configurations, shows slightly better performance (with 0.42% lower probability).
Figure 14.
Comparison among the probabilities of transformer overvoltage tension under three network configurations. Case 2, grounding one intermediate pole between two transformer poles.
For the other three sub-configurations (grounding two, three, and four intermediate poles between every two successive transformer poles), a similar situation occurs, i.e., the probabilities of the transformer being under different overvoltage stress levels are almost the same for each individual sub-configuration. To elaborate on the impact of grounding density on the mitigation of overvoltage stress, four overvoltage stress levels are depicted separately in Figure 15, Figure 16, Figure 17 and Figure 18.
Figure 15.
Comparison among the probabilities of transformers experiencing overvoltage stress above 150 kV under different grounding densities, Case 2.
Figure 16.
Comparison among the probabilities of transformers experiencing overvoltage stress above 125 kV under different grounding densities, Case 2.
Figure 17.
Comparison among the probabilities of transformers overvoltage stress above 85 kV under different grounding conditions, Case 2.
Figure 18.
Comparison among the probabilities of transformer overvoltage stress above 30 kV under different grounding conditions, Case 2.
Figure 15 presents a comparison among the probabilities of transformers being under overvoltage stress above 150 kV for three different network configurations (see Section 4, assumption d) due to the effects of different grounding densities, i.e., no grounded intermediate pole (only transformer poles (Only Tr) are grounded) and grounding intermediate poles with different densities (one to four poles). As can be seen in this figure, from the condition with no grounded intermediate poles to grounding only one intermediate pole between two successive grounded transformer poles, the probabilities of transformers being under very high stress (above 150 kV) are considerably decreased by around 5.46%, 5.46%, and 5.67%, respectively, for the wet creosote-impregnated, wet arsenic-impregnated, and dry poles. From one grounded intermediate pole to two grounded intermediate poles, in all configurations, the probabilities decreased by around 1.05%, while by grounding three intermediate poles, the probabilities reach zero, which is the ideal condition for operating a system located in areas with a large number of lightning strikes per year. Moreover, it can be seen that, if a system operator wants to keep the risk of very high overvoltage stress on the MV terminals of the transformers below 2%, only one intermediate pole needs to be grounded; meanwhile, to keep the risk below 1% or eliminate such overvoltage stress, two and three intermediate poles need to be grounded, respectively.
Figure 16 presents a comparison among the probabilities of overvoltage stress higher than 125 kV for three different network configurations according to the effects of different sub-configurations (grounding densities; see Section 5.2, first paragraph). Comparing Figure 16 with Figure 15 shows that there is no significant difference between the trends, where the highest risk belongs to the case in which only the transformer poles are grounded, and the best performance belongs to the case in which at least three intermediate poles are grounded. Moreover, by comparing Figure 16 with Figure 15, it can be seen that, for different network configurations in case 1 (grounding only the transformer poles) and sub-configuration C2.1, the probability of transformers being under overvoltage stress above 125 kV is slightly greater than or equal to the probability of transformers being under overvoltage stress above 150 kV. That is, for case 1, the probabilities in Figure 16 for wet creosote- and wet arsenic-impregnated poles are 0.42% and 0.21% higher than the probabilities in Figure 15, while for dry poles, the probabilities are equal. For case 2 and sub-configuration C2.1, for all network configurations, the probabilities in Figure 16 are 0.21% higher than the probabilities in Figure 15. Consequently, if a system operator is willing to keep the risk of high overvoltage stress below 2% and 1%, one and two intermediate poles need to be grounded, respectively; meanwhile, to eliminate such overvoltage stress, three intermediate poles need to be grounded.
Figure 17 compares the impacts of the grounding densities of the intermediate poles on mitigating the overvoltage stress (above 85 kV) at the MV terminals of transformers for three primary network configurations. In this figure, compared with the very high overvoltage stress and high voltage stress presented in Figure 15 and Figure 16, respectively, the probabilities of the transformer experiencing overvoltage stress are slightly higher. However, the main difference is in the mitigation trend, where, for the overvoltage stresses above 150 kV and 125 kV, by grounding one intermediate pole between every two successive transformer poles, the probability of the transformer experiencing overvoltage stress decreased below 2%, while for this overvoltage level to keep the probabilities below 2%, at least three intermediate poles need to be grounded. On the other hand, by grounding all intermediate poles, the probability of transformers experiencing overvoltage stress above 85 kV is 0%, i.e., there is no risk of such overvoltage stress at the MV terminals of the pole-mounted transformers.
Figure 18 presents a comparison among the probabilities of overvoltage stress above 30 kV for three different network configurations due to the impacts of different sub-configurations (grounding densities). As can be seen from this figure, by grounding one intermediate pole, the highest impact is for the network with arsenic-impregnated poles, which experienced around a 0.84% decrease in the probability of transformers experiencing overvoltage tension above 30 kV. Moreover, it can be seen that by grounding all intermediate poles between every two successive transformer poles, the probabilities are decreased to a great extent; for the network with wet creosote, wet arsenic, and dry poles, compared with Case 1, decrements of around 4.62%, 4.83%, and 3.78% are obtained, respectively. In Figure 18, unlike the results obtained for other overvoltage stress levels (above 150 kV in Figure 15, 125 kV in Figure 16, and 85 kV in Figure 17), grounding intermediate poles does not have a significant effect on mitigating the overvoltage stress above 30 kV. Moreover, for the configuration with four grounded intermediate poles in which no transformer experiences overvoltage stress above 85 kV (see Figure 17), still 6.3%, 5.88%, and 6.51% of transformers in the network with wet creosote, wet arsenic, and dry poles respectively experience overvoltage stress between 30 kV and 85 kV (see Figure 18). Nevertheless, it is noteworthy to mention that, due to the internal insulation of the medium voltage transformers with the basic insulation level above 125 kV [51], such overvoltage stress does not result in immediate failure and its cumulative negative effect over time may be negligible, though a concrete conclusion on this topic requires profound investigation.
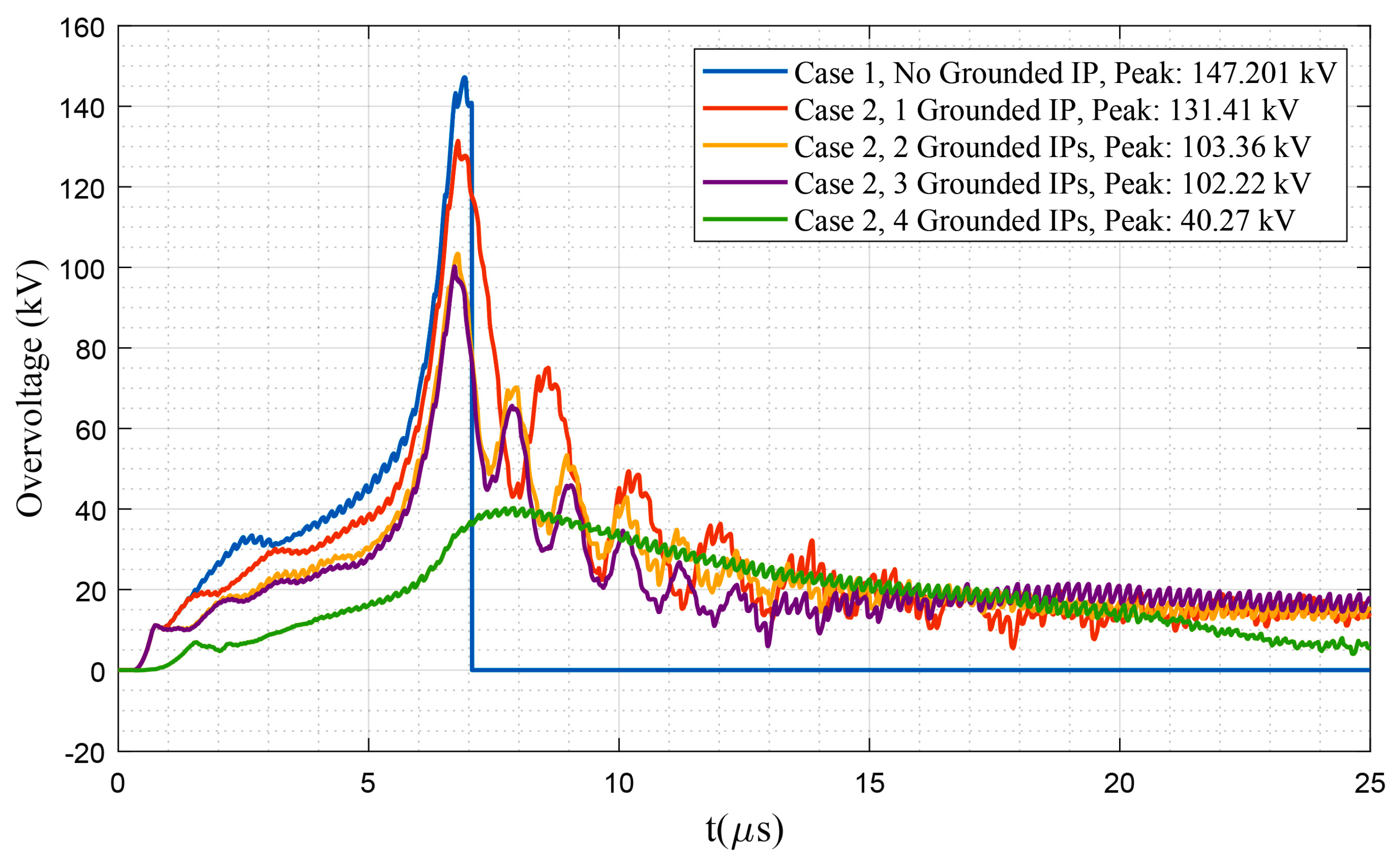
Figure 19 provides a comparison among the overvoltage stress at terminal c of the transformer, mounted at pole #36, under different grounding densities for the network with dry poles. The blue curve, which represents case 1 (only transformer poles are grounded), shows that the overvoltage is so high that the spark gap is triggered, and a service interruption occurs. By grounding only one intermediate pole, the amplitude of the overvoltage at terminal c is decreased by around 10.73% (15.79), and such unwanted service interruption is not happening anymore, while the overvoltage stress is still above 125 kV. Additionally, it can be deduced that, as the number of grounded intermediate poles increases, the amplitude of overvoltage decreases such that by grounding all intermediate poles, the overvoltage amplitude is decreased to 40.27 kV, which is a significant enhancement.
Figure 19.
Comparison among the overvoltage stress at terminal c of the transformer mounted at pole #36, network with dry poles under a lightning strike on pole #35, Case 2.
5.3. Case 3. Transformer Poles with Guy Wire
In this case, the three primary network configurations (see Section 4, assumption d) are investigated under four different sub-configurations by considering various combinations of grounding densities and guy wires. These sub-configurations are as follows.
- C3.1.
- Four guy wires (4 GWs): in this sub-configuration, all four intermediate poles between every two successive grounded transformer poles are supported by guy wires.
- C3.2.
- Three guy wires and one grounded intermediate pole (3 GWs + 1 IP): in this sub-configuration, three intermediate poles between every two successive grounded transformer poles are supported by guy wires and the other intermediate pole is grounded. That is, intermediate poles #3, #8, #13, and so on are grounded, while the non-grounded intermediate poles are supported by guy wires.
- C3.3.
- Two guy wires and two grounded intermediate poles (2 GWs + 2 IPs): in this sub-configuration, two intermediate poles between every two successive grounded transformer poles are supported by guy wires and the other two intermediate poles are grounded. That is, intermediate poles (#3, #4), (#8, #9), (#13, #14), and so on are grounded, while the non-grounded intermediate poles are supported by guy wires.
- C3.4.
- One guy wire and three grounded intermediate poles (1 GW + 3 IPs): in this sub-configuration, one intermediate pole between every two successive grounded transformer poles is supported by guy wires and the other intermediate poles are grounded. That is, intermediate poles (#2, #3, #4), (#7, #8, #9), (#12, #13, #14), and so on are grounded, while the non-grounded intermediate poles are supported by guy wires.
This case is used to evaluate the role of a guy wire on mitigating the overvoltage stress level of transformers against direct lightning phenomena. In other words, this case investigates the impact of guy wire on the amplitude of lightning overvoltage as well as on the probabilities of transformers experiencing different overvoltage stress levels on their MV terminals.
Table 8, Table 9 and Table 10 present the number of transformers experiencing overvoltage stress after striking direct lightning on different poles of the sample distribution network under three primary configurations, such as the network with wet creosote-impregnated, wet arsenic-impregnated, and dry poles, respectively, while all intermediate poles are supported by guy wires (see sub-configuration C3.1).
Table 8.
Number of transformers with at least one phase reaching the critical overvoltage level. Case 3, wet creosote-impregnated poles, sub-configuration C3.1.
Table 9.
Number of transformers with at least one phase reaching the critical overvoltage level. Case 3, wet arsenic-impregnated poles, sub-configuration C3.1.
Table 10.
Number of transformers with at least one phase reaching the critical overvoltage level. Case 3, dry poles, sub-configuration C3.1.
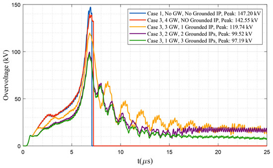
By comparing Table 8 with Table 2, it can be seen that supporting all intermediate poles by guy wires results in a reasonable decrease in the number of transformers experiencing overvoltage stress above 150 kV. When the poles are supported by guy wires and the lightning is applied on poles #13, #19, #28, #43, #49, #58, #64, #73, and #79, compared with the case without guy wires (in Table 2), the number of transformers experiencing such overvoltage stress decreases by one, while applying the lightning on pole #34 shows even better results, where no transformer experiences such overvoltage stress, which is two transformers less than the case without guy wire (in Table 2). Moreover, comparing Table 9 and Table 10 with Table 3 and Table 4 shows similar positive impacts of using guy wires on decreasing the overvoltage amplitude at the MV terminals of the transformer. To present the impacts more clearly, the probabilities of overvoltage stress on the MV terminals of transformers for sub-configuration C3.1 and under different network configurations are compared with each other in Figure 20. As can be seen from this figure, for the overvoltage stress with an amplitude above 150 kV (as the most likely stress for causing sever failure during the specified time period), when guy wires support the intermediate poles between two successive transformer poles, the probabilities for all three network configurations, i.e., wet creosote, wet arsenic, and dry poles, are decreased by around 2.52%, 2.31%, and 2.52%, respectively. Moreover, Figure 20 shows that, for other overvoltage stress levels, the guy wires provide some protection against direct lightning strikes, although this is negligible in some sub-configurations.
Figure 20.
Comparison among the probabilities of transformers experiencing four overvoltage stress levels for three configurations of the network with no guy wire (No GW) and four guy wires (Four GWs).
Another observation in this case is that the guy wires show better protective performance for overvoltage stress with an amplitude above 150 kV than the other overvoltage stress levels. The main reason for such behavior is the occurrence of flashover down the wood pole since, by installing guy wires, the total CFO, which is the combined CFO of the insulators and the wood pole corresponding to the length from cross arm to the guy wire connection point (i.e., 2 m in this paper), is lower than the CFO of the similar case without guy wire (a 7 m wood pole). This situation will be elaborated more by investigating the flashover occurrence on the intermediate poles under three network configurations and for case 1 and sub-configuration C3.1. Table 2, Table 3 and Table 4 show that when direct lightning is applied on pole #34, for all three network configurations, two transformers on poles #31 and #36 experience overvoltage stress above 150 kV. Therefore, to see the impacts of guy wires, the flashover occurrence on the intermediate poles between transformer poles #31 and #36 (i.e., poles #32, #33, #34, and #35) are studied for case 1 (no guy wire for intermediate poles) and sub-configuration C3.1 (all intermediate poles supported by guy wire). It is worth mentioning that the studies are conducted under the dry condition, in which the wood poles have the highest CFO, e.g., 400 kV/m compared with wet conditions (see Section 2.2).
As mentioned in Section 2.2, the flashover occurrence over the pole is modeled by a voltage- controlled switch. In this paper, to verify the flashover occurrence, the switch status and the current flow through this switch is monitored. In case 1, monitoring the switch status shows that the direct lightning does not result in any flashover down the wood poles, and this is due to the high CFO of the structure (combined CFO of insulators and the 7 m wood pole). However, for sub-configuration C3.1, the situation is different since the combined CFO is lower than the case without considering the guy wires, since the distance from the cross arm to the connection pint of the guy wire is 2 m. Details of flashover occurrence for the intermediate poles of the dry network configuration are depicted in Figure 21.
Figure 21.
Flashover discharge currents of four intermediate poles supported by guy wires: (a) Intermediate Pole #32, (b) Intermediate Pole #33, (c) Intermediate Pole #34, and (d) Intermediate Pole #35; Network with dry poles and direct lightning applied on pole #34.
Figure 21a–d present the current flows through the voltage-controlled switches of four intermediate poles, namely #32, #33, #34, and #35, respectively, due to flashover occurrence as a result of direct lightning strike on pole #34. As can be seen from this figure, for a short period of time, several flashovers frequently occurred down the poles toward the guy wires. It is noteworthy to mention that higher amplitudes of current flow through the switches show that the poles experienced higher overvoltages. Among the aforementioned intermediate poles, pole #34, unlike the other intermediate poles, experienced two discontinuous periods of frequent flashovers because direct lightning was applied on this pole. Moreover, the flashover discharge currents of the intermediate poles show that not only does the highest discharge current belong to pole #34 but the first period of frequent flashovers lasts longer, i.e., it starts at around 5.7 and ends at around 7.3 . Meanwhile, for pole # 33, which has the second widest frequent flashover period, it starts at around 6.2 and ends at around 7.2 . All in all, as can be seen in Figure 21, when flashover occurs from the cross arm toward the guy wire, the current associated with overvoltage is discharged via guy wires and, consequently, the transformers mounted at poles #31 and #36 in sub-configuration C3.1 experience lower overvoltage amplitude than the same transformers in case 1—see Figure 22. Figure 22 depicts the overvoltage waveform of terminal c of the transformer, i.e., the terminal which is experiencing the highest overvoltage stress, among others. As can be seen from Figure 22a,b that, considering guy wires, the overvoltage amplitudes experienced by the transformers mounted at poles #31 and #36 are 16.99% and 14.97% lower than the overvoltage amplitudes of the case without guy wires. The main reason that the spark gap is not triggered for the transformer can be found in Section 3.2.
Figure 22.
Overvoltage at terminal c of the transformer mounted on (a) pole #31, and (b) pole #36; Network with dry poles and direct lightning applied on pole #34.
Figure 23 provides a comparison among the probabilities of pole-mounted transformers experiencing four levels of overvoltage stresses before and after considering guy wires and under different grounding densities for the network with wet creosote-impregnated poles. The solid bars stand for the probabilities of under-stress transformers with different grounding densities and without considering guy wires, while the patterned bars represent the probabilities of under-stress transformers when the non-grounded intermediate poles are supported by guy wires. In this figure, for overvoltage amplitudes above 150 kV, when no intermediate pole is grounded, the guy wires show their best performance. That is, the probability of transformers experiencing such overvoltage stress when considering guy wires (blue patterned bar) is decreased by around 2.52%, compared with the similar grounding condition but without guy wires (solid blue bar). By increasing the number of grounded intermediate poles (from blue bars toward black bars), the impact of installing guy wires (at the non-grounded intermediate poles) on mitigating the overvoltage stress is decreased. For example, under overvoltage above 150 kV, when one intermediate pole between all transformer poles is grounded, considering guy wires for non-grounded intermediate poles (patterned orange bar) results in around a 0.84% decrease in the probabilities, compared with similar grounding conditions and without guy wires (solid orange bar). For other grounding conditions of overvoltage stress above 150 kV (green and black bars), the guy wire does not provide any support against lightning overvoltage. This is mainly due to the functionality of grounded poles in the mitigation of high overvoltage stress. Each lightning strike chooses the shortest path with the least dielectric strength toward the ground, and when the number of grounded intermediate poles increases, the discharges occur more easily through grounded poles; this means that the overvoltage amplitude does not reach the CFO of guy wire-supported poles to trigger a flashover. Moreover, a comparison of the probabilities for all overvoltage stress levels shows that the best performance belongs to overvoltage stress above 150 kV, which most likely triggers the flashover discharge.
Figure 23.
Comparison among the probabilities of transformers experiencing four overvoltage stress levels under different combinations of grounding and guy wire (GW) configurations of intermediate poles (IP); Network with wet creosote-impregnated poles.
Figure 24 and Figure 25 compare the probabilities of pole-mounted transformers experiencing different overvoltage stress levels before and after considering guy wires and under different grounding densities for the network with wet arsenic-impregnated poles and dry poles, respectively. The main difference between using guy wires in the networks with wet creosote-impregnated poles and wet arsenic-impregnated poles is that the wet arsenic configuration has lower CFO. That is, wet arsenic poles require lower overvoltage amplitude than the wet creosote poles to trigger the flashover discharge (see Section 2.2). However, dry poles show stronger dielectric characteristics and, consequently, higher overvoltage amplitude is required for triggering a flashover down the pole toward the guy wire. Comparing the probabilities of overvoltage stress above 150 kV in Figure 25 and Figure 24 with Figure 23 shows that, for sub-configuration C3.1 (patterned blue bars), the guy wire decreases the probabilities in all three different network configurations by more than 2%, which is a considerable performance for such inexpensive devices. For arsenic-impregnated poles and with no grounded intermediate poles (blue bars in Figure 24), the guy wires provide great support against direct lightning even for overvoltage amplitudes above 85 kV where, compared with the same grounding condition in the absence of guy wires (solid blue bar), considering guy wires results in a decrease of around 2.31%.
Figure 24.
Comparison among the probabilities of transformers experiencing four overvoltage stress levels under different combinations of grounding and guy wire (GW) configurations of intermediate poles (IP); Network with wet arsenic-impregnated poles.
Figure 25.
Comparison among the probabilities of transformers experiencing four overvoltage stress levels under different combinations of grounding and guy wire (GW) configurations of intermediate poles (IP); Network with dry poles.
From the results obtained in case 3, it can be deduced that, for overvoltage stress above 150 kV, grounding one intermediate pole and supporting non-grounded poles with guy wires yields almost the same results as grounding two intermediate poles. For example, in Figure 23, Figure 24 and Figure 25, when only one intermediate pole is grounded and none of the intermediate poles are supported by guy wires, all the probabilities for overvoltage stress above 150 kV are 1.26% (see the solid orange bars), and by grounding one more intermediate pole, the probabilities decrease to 0.21% (see the solid green bars). On the other hand, grounding one intermediate pole and supporting the non-grounded intermediate poles with guy wires shows that, for the network with wet arsenic-impregnated and dry poles (Figure 24 and Figure 25, respectively), the probabilities decrease to 0.21%, which is similar to the case with two grounded intermediate poles. However, for the network with creosote-impregnated poles and one grounded intermediate pole, supporting the non-grounded intermediate poles with guy wires decreases the probability to 0.42%, which is slightly higher than the probability obtained by grounding two intermediate poles.
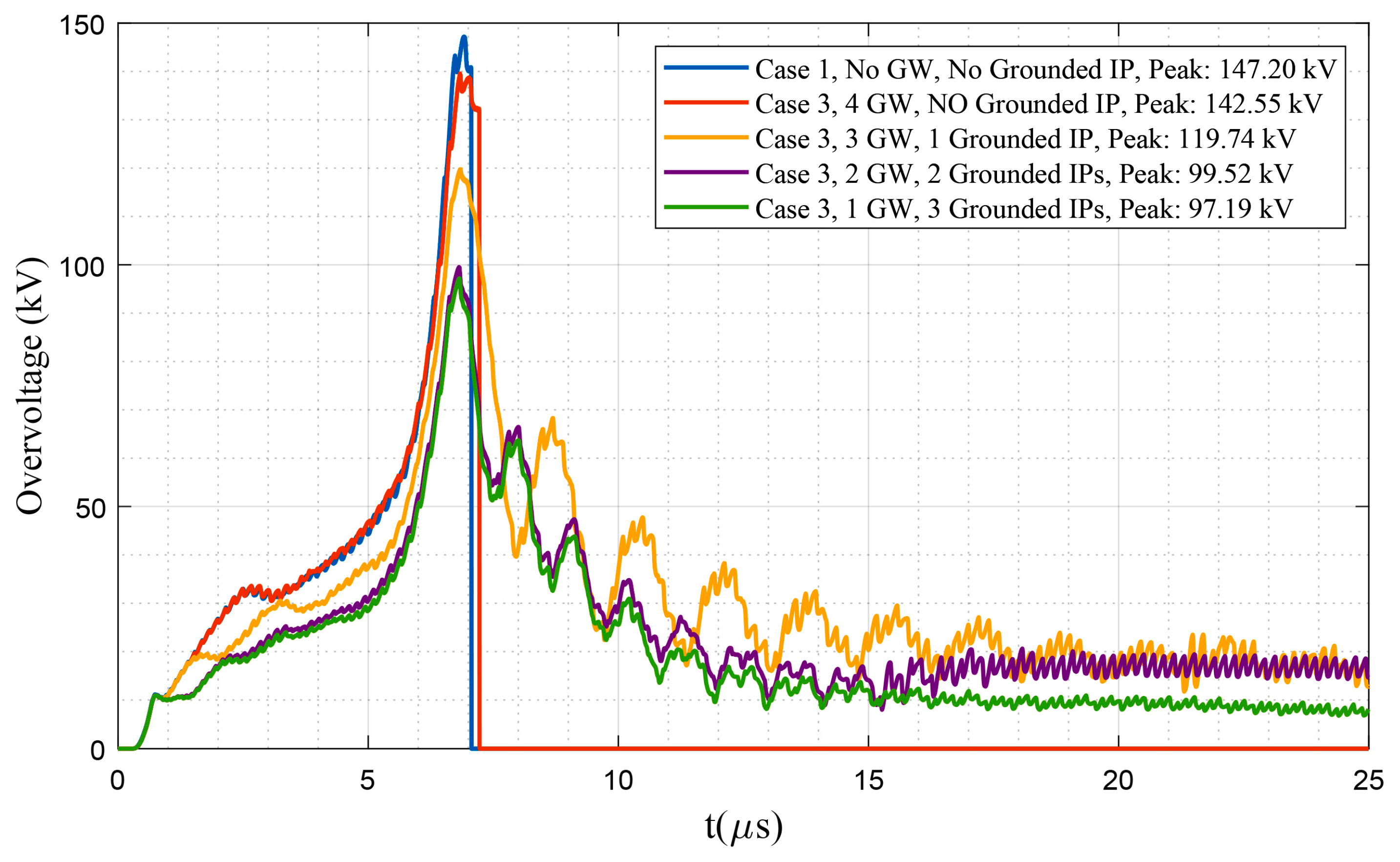
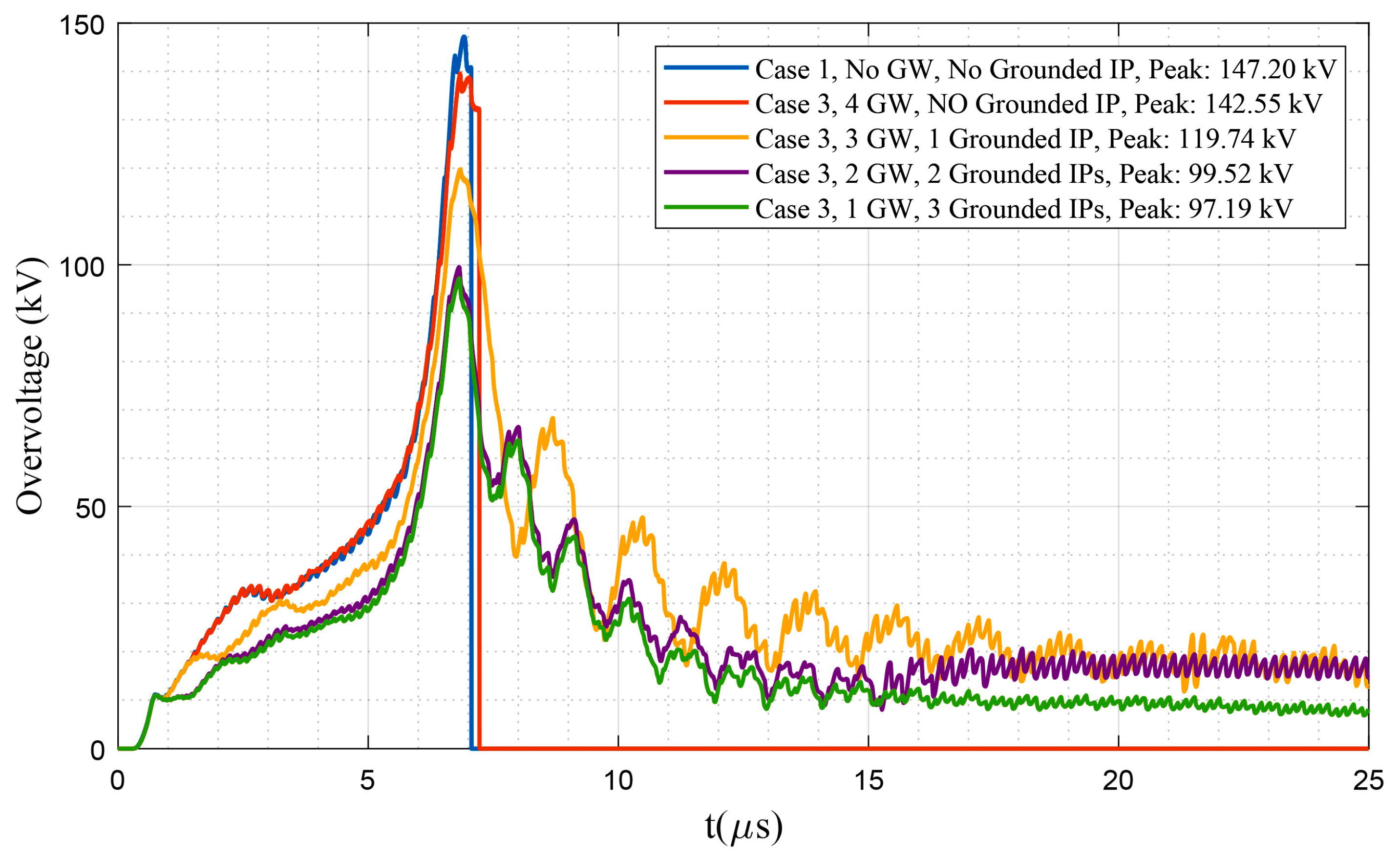
Figure 26 provides a comparison among the overvoltage stress on terminal c of the transformer at pole #36 under different combinations of grounding densities and guy wires of intermediate poles for the network with dry poles. The red curve, which represents the overvoltage waveform for sub-configuration C3.1, compared with case1 (the blue curve), shows that, although considering four guy wires between every two successive transformer poles decreases the amplitude of overvoltage, it is still high enough to trigger the spark gap and cause a service interruption. However, by supporting one intermediate pole with a guy wire in sub-configuration C3.2 (the orange curve), the amplitude of overvoltage is decreased by around 22.8 kV. As a consequence, the spark gap is not triggered, and no service interruption occurs. Additionally, supporting three intermediate poles with guy wires and grounding the other intermediate pole (sub-configuration C3.2), compared with the case with only one grounded intermediate pole (sub-configuration C2.1, the red curve in Figure 19), results in a considerable enhancement in the overvoltage protection against direct lightning, i.e., 11.67 kV decrease in the overvoltage stress. Similarly, by comparing Figure 26 with Figure 19, it can be deduced that other combinations of guy wire and grounded intermediate pole also reduce the overvoltage stress on the transformer terminal.
Figure 26.
Comparison among the overvoltage stress at terminal c of the transformer mounted at pole #36 under different combinations of grounding and guy wire (GW) configurations of intermediate poles (IP); Network with dry poles under a lightning strike on pole #35.
5.4. Case 4. Considering Surge Arrester for Some Transformers
In this case, the three primary network configurations (see Section 4, assumption d) are investigated under two different sub-configurations by equipping two or four pole-mounted transformers with surge arresters. These sub-configurations are as follows.
- C4.1.
- Equipping two pole-mounted transformers with surge arresters (2 SAs). To do so, the total spans are divided into three. Therefore, the transformer poles are poles #26 and #56. This sub-configuration is studied for all different grounding densities presented in case 2.
- C4.2.
- Equipping four pole-mounted transformers with surge arresters (4 SAs). To do so, the total spans are divided into five. Therefore, the transformers protected by surge arresters are located on poles #16, #36, #56, and #76. This sub-configuration is studied for all different grounding densities presented in case 2.
This case is used to evaluate the impacts of equipping some transformers with surge arresters on the probability of transformers experiencing different overvoltage stress levels. Although the surge arresters are quite effective in protecting the transformers against overvoltage stress [45], their high capital costs prevent equipping all the transformers in a medium voltage network with these devices.
Table 11, Table 12 and Table 13 present the number of transformers experiencing different overvoltage stress levels after striking direct lightning on different poles of the sample distribution network under three primary configurations, namely the network with wet creosote-impregnated, wet arsenic-impregnated, and dry poles, respectively, where two transformers are equipped with surge arresters and none of the intermediate poles are grounded.
Table 11.
Number of transformers with at least one phase reaching the critical overvoltage level. Case 4, wet creosote-impregnated poles, sub-configuration C4.1 with no grounded intermediate poles.
Table 12.
Number of transformers with at least one phase reaching the critical overvoltage level. Case 4, wet arsenic-impregnated poles, sub-configuration C4.1 with no grounded intermediate poles.
Table 13.
Number of transformers with at least one phase reaching the critical overvoltage level. Case 4, dry poles, sub-configuration C4.1 with no grounded intermediate poles.
By comparing Table 11 with Table 2, it can be seen that, by equipping two transformers (at poles #26 and #56), the number of transformers experiencing overvoltage stress has been decreased only when the lightning is applied on the poles adjacent to these transformers, such as poles #25, #28, #55, and #58. For example, when the lightning strikes directly pole #25, the number of transformers experiencing overvoltage stress above 150 kV and 125 kV is decreased to zero, while, without considering surge arresters, one transformer experiences such overvoltage stress (see Table 2). Also, Table 2 shows that, when the lightning is applied on pole #28, before considering any surge arrester, the numbers of transformers under overvoltage stress above 150 kV and 125 kV are two and three, respectively, while by installing surge arresters, only one transformer experiences such overvoltage stress (see Table 11). Comparing Table 12 and Table 13 with Table 3 and Table 4 shows a similar positive impact of considering surge arresters on mitigating the overvoltage stress at the MV terminals of some transformers. To present the impacts more clearly, the probabilities of overvoltage stress on MV terminals of transformers for sub-configuration C4.1 and C4.2 under different grounding densities and for three primary network configurations (see Section 4, assumption d) are presented in Figure 27, Figure 28, Figure 29 and Figure 30. In all of these figures, for each primary configuration of the network, three different conditions are studied, such as without surge arrester (case 1, presented by solid bars), with two surge-arrester-protected transformers (sub-configuration C4.1, presented by patterned bars), and with four surge-arrester-protected transformers (sub-configuration C4.2, presented by diagonal stripes).
Figure 27.
Comparison among the probabilities of transformers experiencing overvoltage stress above 150 kV under different grounding densities of intermediate poles (Inter Pole) and considering two and four surge arresters (SAs); Network with dry poles.
Figure 28.
Comparison among the probabilities of transformers experiencing overvoltage stress above 125 kV under different grounding densities of intermediate poles (Inter Pole) and considering two and four surge arresters (SAs); Network with dry poles.
Figure 29.
Comparison among the probabilities of transformers experiencing overvoltage stress above 85 kV under different grounding densities of intermediate poles (Inter Pole) and considering two and four surge arresters (SAs); Network with dry poles.
Figure 30.
Comparison among the probabilities of transformers experiencing overvoltage stress above 30 kV under different grounding densities of intermediate poles (Inter Pole) and considering two and four surge arresters (SAs); Network with dry poles.
Figure 27 presents the probabilities of transformers experiencing overvoltage stress above 150 kV under different grounding densities. As can be seen from this figure, for the case without grounded intermediate poles (only all transformers (Only Tr) grounded), considering two and four transformer poles results in some mitigation in the overvoltage stress. By protecting two transformers with a surge arrester, both the networks with wet creosote-impregnated poles (blue bars) and dry poles (gray bars) show around a 1.05% decrement in the probabilities of transformers experiencing overvoltage stress, while for the network with wet arsenic-impregnated poles, it results in 0.84% decrement. On the other hand, in this figure, the best performance for all network configurations is obtained when four transformers are equipped with surge arresters where, compared with the scenarios without surge arrester (solid bars), the networks with wet arsenic poles and dry poles show a 1.68% decrement in the probabilities and the network with wet creosote poles shows a 1.47% decrement. Figure 27, compared with the similar overvoltage stress level (above 150 kV) in Figure 23, Figure 24 and Figure 25, shows that considering guy wires for all intermediate poles results in a better outcome than equipping four transformers in the network with surge arresters. Needless to say, and as concluded in case 2, by grounding only one intermediate pole, a great enhancement in the protection level of the transformers is obtained. On the other hand, as can be seen in Figure 27, after grounding one intermediate pole, using surge arresters slightly decreases the probabilities, while grounding two intermediate poles means that the surge arrester does not have a supportive role against direct lightning strikes, and in one scenario (gray diagonal stripes), it negligibly increases the probability of overvoltage stress.
Figure 28 and Figure 29 present the probabilities of transformers experiencing overvoltage stresses above 125 kV and 85 kV, respectively. The probabilities are reported for three primary network configurations under different grounding densities and three different sub-configurations, such as without considering any surge arrester as well as considering two and four transformers with surge arresters. Similar to the overvoltage above 150 kV, under both overvoltage stress levels above 125 kV and 85 kV, the surge arresters are triggered and start protecting the transformers. This can be seen mainly when only all transformers (Only Tr) are grounded and all the intermediate poles remain ungrounded. For example, in Figure 28, after considering two transformers with surge arresters, the probabilities in the Only-Tr sub-configuration decrease by around 1.05%, 0.84%, and 0.84%, respectively, for the network with wet creosote, wet arsenic, and dry poles, while by equipping four transformers by surge arresters, the probabilities are decreased by about 1.68%, 1.47%, and 1.47%, respectively. A similar condition can be observed for the probabilities of transformers experiencing overvoltage stress above 85 kV in Figure 29. Another observation in Figure 29 is related to the protection enhancement for sub-configurations with two and even three grounded intermediate poles that cannot be seen for overvoltage stress above 150 kV (in Figure 27) and above 125 kV (in Figure 28).
Unlike the three previous overvoltage stress levels, the overvoltage stress above 30 kV shows an unpredictable behavior where considering surge arresters in some scenarios results in increasing the probabilities of transformers experiencing such overvoltage stress. However, this can be justified by considering previous cases. Surge arresters are mainly used to protect the power system equipment against overvoltage phenomena by limiting the overvoltage amplitude or discharging the surge currents associated with surge overvoltages [53]. Therefore, in the sample MV network, these devices are not triggered for overvoltage stress around 30 kV. As a result, and as can be seen in Figure 27, Figure 28 and Figure 29, the surge arrester is triggered for overvoltage levels above 150 kV, 125 kV, and 85 kV, and the amplitude of overvoltage at the MV terminals of some transformers is decreased to a level below 85 kV, which is accumulated as the probability of an overvoltage stress level above 30 kV.
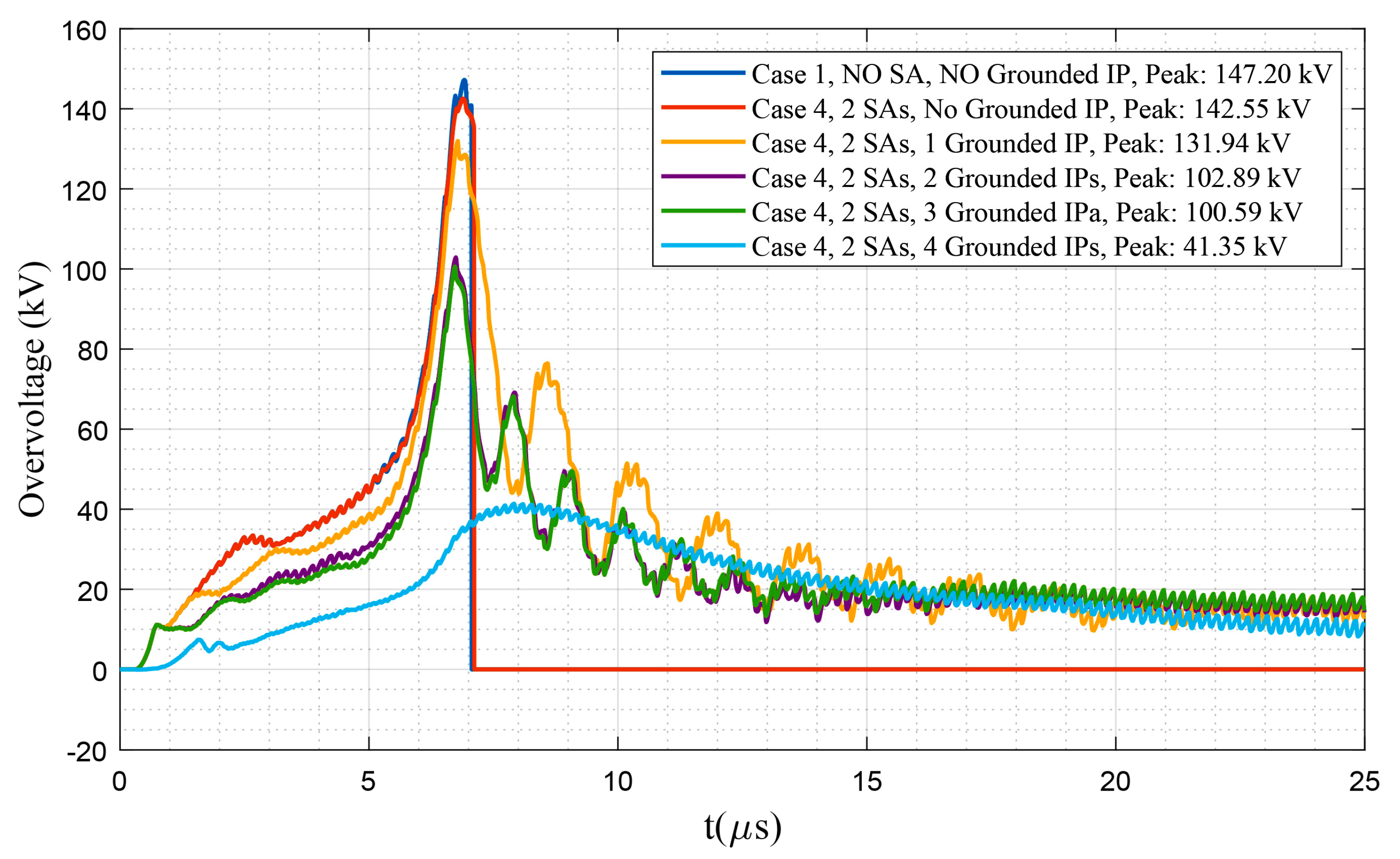
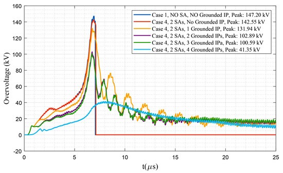
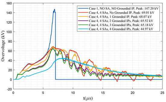
Figure 31 presents a comparison among the overvoltage stress on terminal c of the transformer at pole #36 under different grounding densities for the network with dry poles and considering two surge arrester protected transformers, respectively. By considering two surge arresters, the nearest surge arrester to the transformer pole #36 is placed at pole #26 (see sub-configuration C4.1). From the red curve in Figure 31, which presents the overvoltage waveform under no grounded intermediate pole, it can be seen that the overvoltage amplitude, compared with case 1, is decreased by around 3%, while the spark gap is still triggered. The peak values presented in Figure 31 compared with similar grounding densities in case 2 (see Figure 19) show that the decreases and increases in overvoltage are negligible, and, consequently, if the surge arrester is far from the location of the lightning strike, it might not enhance the network’s protection against lightning overvoltages. On the other hand, a comparison with the results of case 3 (see Figure 26) shows that guy wires are much more effective than the impact of a surge arrester placed far from the lightning strike location.
Figure 31.
Comparison among the overvoltage stress at terminal c of the transformer mounted at pole #36 under different grounding densities; Network with dry poles considering two surge arrester protected transformers and under a lightning strike on pole #35.
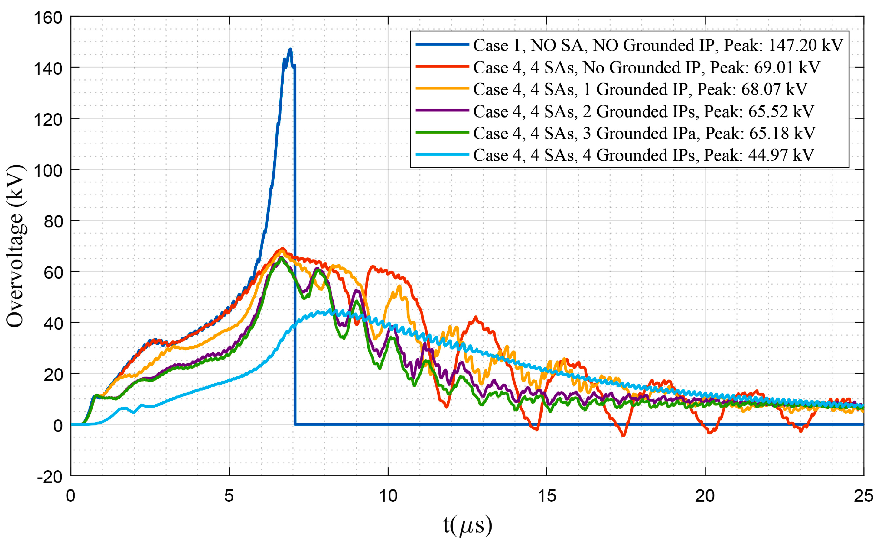
Figure 32 considers similar sub-configurations as Figure 31, but the network has four surge arrester-supported transformers. By considering four surge arresters in the network, one surge arrester is paced at pole # 36 (see sub-configuration C4.2). This case shows a significant difference not only with case 1 but also with similar grounding conditions in case 2, case 3, and case 4 with two surge arresters. As expected, the surge arrester, by absorbing extra energy from the lightning, decreases the overvoltage stress at the terminals of the transformers and consequently shows the best performance among all other sub-configurations. That is, when a surge arrester is placed near the lightning strike, it significantly increases the protection level of the network. In other words, to have such a strong protection level in a network, all the transformers need to be protected by proper surge arresters, which is certainly a costly action.
Figure 32.
Comparison among the overvoltage stress at terminal c of the transformer mounted at pole #36 under different combinations of grounding and guy wire (GW) configurations of intermediate poles (IP); Network with dry poles considering four surge-arrester-protected transformers under a lightning strike on pole #35.
6. Conclusions
This work has investigated the role of protecting devices which aim to provide optimized protection of medium voltage (MV) distribution transformers against direct lightning strikes on the phase conductor. To this end, the roles of grounding densities of intermediate poles, guy wire, and surge arresters on mitigating the overvoltage stress on the MV terminals of distribution transformers have been thoroughly studied while assuming that all transformers are by default protected by spark gaps and all transformer poles are grounded. It has been shown that grounding the intermediate poles (even only one intermediate pole) can significantly decrease the risk of overvoltage stress on the MV terminals of distribution pole-mounted transformers for all four considered stress levels above 150 kV, 125 kV, 85 kV, and 30 kV. The best outcome is achieved when all poles (transformer and intermediate poles) are grounded; however, this might not be the optimal practice. Additionally, it has been witnessed that supporting intermediate poles with guy wires significantly decreases the probabilities of transformers experiencing high voltage stress. However, when the number of grounded intermediate poles is increased, the performance of guy wires is inferior to the better performance of grounding. In other words, guy wires show better performance when none of the intermediate poles are grounded or the number of grounded intermediate poles does not exceed two poles between every two successive transformer poles. On the other hand, equipping some transformers with surge arresters provides great support only for the adjacent transformers, such that even equipping four transformers out of 17 does not provide the protection that the guy wires provide for the network. That is, its support for the network would be significant when most of the transformers are equipped with this device.
All in all, the obtained results, presented in several tables and figures, as well as the provided interpretations, can serve as a reference table to provide a clear picture for the wooden pole-based system operator to see how much improvement in the protection levels of the transformers in a network can be achieved by constructing grounding systems, utilizing guy wires, and equipping some pole-mounted transformers with surge arrester devices. That is, a system operator can learn the impact of considering the aforementioned protective devices and different system configurations on decreasing the probabilities of overvoltage stress on the medium voltage transformers.
The future works will study the impacts of the grounding densities and guy wire on the probabilities of 1-phase, 2-phase, and 3-phase faults.
Author Contributions
M.P.-K. developed the main idea, performed the simulations, and prepared the original research draft. F.M. provided support for the parameter adjustments of some analytical models and helped with technical verification. M.L. proposed the main idea and supervised the work. All authors have read and agreed to the published version of the manuscript.
Funding
The APC was funded by Aalto University.
Conflicts of Interest
The authors declare no conflict of interest.
References
- Keitoue, S.; Murat, I.; Filipović-Grčić, B.; Župan, A.; Damjanović, I.; Pavić, I. Lightning caused overvoltages on power transformers recorded by on-line transient overvoltage monitoring system. J. Energy Energ. 2018, 67, 44–53. [Google Scholar]
- Cigre Working Group A2.37. Transformer Reliability Survey; Technical Brochure NO. 642: Paris, France, 2015. [Google Scholar]
- Tenbohlen, S.; Jagers, J.; Vahidi, F. Standardized survey of transformer reliability: On behalf of CIGRE WG A2.37. In Proceedings of the 2017 International Symposium on Electrical Insulating Materials (ISEIM), Toyohashi, Japan, 11–15 September 2017; pp. 593–596. [Google Scholar]
- Furgał, J.; Kuniewski, M.; Pająk, P. Analysis of internal overvoltages in transformer windings during transients in electrical networks. Energies 2020, 13, 2644. [Google Scholar] [CrossRef]
- Meng, Z.; Chen, Q.; Li, H.; See, C.H. Internal insulation condition identification for high-voltage capacitor voltage transformers based on possibilistic fuzzy clustering. Rev. Sci. Instrum. 2020, 91, 014705. [Google Scholar] [CrossRef] [PubMed]
- Rocha, G.V.S.; de Barradas, R.P.S.; Muniz, J.R.S.; Bezerra, U.H.; de Araújo, I.M.; de da Costa, D.S.A.; da Silva, A.C.; Nunes, M.V.A.; Silva, J.S. Optimized surge arrester allocation based on genetic algorithm and ATP simulation in electric distribution systems. Energies 2019, 12, 4110. [Google Scholar] [CrossRef]
- Mahmood, F.; Rizk, M.E.M.; Lehtonen, M. Risk-based insulation coordination studies for protection of medium-voltage overhead lines against lightning-induced overvoltages. Electr. Eng. 2019, 101, 311–320. [Google Scholar] [CrossRef]
- Hidaka, T.; Shiota, K.; Ishimito, K.; Asakawa, A. Effect of grounding resistance connected to surge arresters in power distribution lines on lightning surge behavior observed in customer’s equipment. Electr. Eng. Jpn. 2016, 195, 1–10. [Google Scholar] [CrossRef]
- Sabiha, N.A.; Lehtonen, M. Overvoltage spikes transmitted through distribution transformers due to MV spark-gap operation. In Proceedings of the 2010 Electric Power Quality and Supply Reliability Conference, Kuressaare, Estonia, 16–18 June 2010; pp. 207–214. [Google Scholar]
- Heine, P.; Lehtonen, M.; Oikarinen, A. Overvoltage protection, faults and voltage sags. In Proceedings of the 2004 11th International Conference on Harmonics and Quality of Power (IEEE Cat. No.04EX951), Lake Placid, NY, USA, 12–15 September 2004; pp. 100–105. [Google Scholar]
- Borghetti, A.; Ferraz, G.M.F.; Napolitano, F.; Nucci, C.A.; Piantini, A.; Tossani, F. Lightning protection of a multi-circuit HV-MV overhead line. Electr. Power Syst. Res. 2020, 180, 106119. [Google Scholar] [CrossRef]
- Grebovic, S.; Balota, A.; Oprasic, N. Lightning outage performance of power distribution line located in Mountain Lovćen area. In Proceedings of the 2020 9th Mediterranean Conference on Embedded Computing (MECO), Budva, Montenegro, 8–11 June 2020; pp. 1–4. [Google Scholar]
- Mahmood, F.; Rizk, M.E.M.; Lehtonen, M. Evaluation of lightning overvoltage protection schemes for pole-mounted distribution transformers. Int. Rev. Electr. Eng. 2015, 10, 616. [Google Scholar] [CrossRef]
- Sabiha, N.A.; Lehtonen, M. Lightning-induced overvoltages transmitted over distribution transformer with MV spark-gap operation—Part II: Mitigation using LV surge arrester. IEEE Trans. Power Deliv. 2010, 25, 2565–2573. [Google Scholar] [CrossRef]
- Somogyi, A.; Vizi, L. Overvoltage protection of pole mounted distribution transformers. Period. Polytech. Electr. Eng. 1997, 41, 27–40. [Google Scholar]
- ABB Switzerland Ltd. Application Note 2.0—Metal-Oxide Surge Arresters in Medium-Voltage Systems Overvoltage Protection of Transformers; ABB Switzerland Ltd.: Wettingen, Switzerland, 2018. [Google Scholar]
- Bogarra, S.; Orille, L.À.; Àngela, M. Surge arrester’s location using fuzzy logic techniques. In Proceedings of the 17th International Conference on Electricity Distribution, Barcelona, Spain, 12–15 May 2003; pp. 1–5. [Google Scholar]
- de Barradas, R.P.S.; Rocha, G.V.S.; Muniz, J.R.S.; Bezerra, U.H.; Nunes, M.V.A.; Silva, J.S. Methodology for analysis of electric distribution network criticality due to direct lightning discharges. Energies 2020, 13, 1580. [Google Scholar] [CrossRef]
- Opsahl, A.M.; Brookes, A.S.; Southgate, R.N. Lightning protection for distribution transformers. Trans. Am. Inst. Electr. Eng. 1932, 51, 245–251. [Google Scholar] [CrossRef]
- What is the Transformer BIL (Basic Insulation Level)? Available online: https://openspark.ca/2017/06/05/what-is-the-transformer-bil-basic-insulation-level/ (accessed on 15 August 2020).
- IEEE Std 1410-2010 (Revision of IEEE Std 1410-2004). In IEEE Guide for Improving the Lightning Performance of Electric Power Overhead Distribution Lines; IEEE: New York, NY, USA, 2010.
- Mahmood, F.; Elkalashy, N.I.; Lehtonen, M. Modeling of flashover arcs in medium voltage networks due to direct lightning strikes. Int. J. Electr. Power Energy Syst. 2015, 65, 59–69. [Google Scholar] [CrossRef]
- Ghania, S.M. Grounding systems under lightning surges with soil ionization for high voltage substations by using two layer capacitors (TLC) model. Electr. Power Syst. Res. 2019, 174, 105871. [Google Scholar] [CrossRef]
- IEEE Std 1313.2-1999. In IEEE Guide for the Application of Insulation Coordination; IEEE: New York, NY, USA, 1999; pp. 1–68.
- Resende, F.O.; Lopes, P.J.A. Using low-voltage surge protection devices for lightning protection of 15/0.4 kV pole-mounted distribution transformer. CIRED Open Access Proc. J. 2017, 2017, 888–892. [Google Scholar] [CrossRef][Green Version]
- Takahashi, A.; Hidaka, T.; Ishimoto, K.; Asakawa, A. Influence of grounding resistance connecting to surge arrester on effectiveness of lightning protection caused by direct hit for power distribution lines. Electr. Eng. Jpn. 2012, 179, 10–22. [Google Scholar] [CrossRef]
- Paolone, M.; Nucci, C.A.; Petrache, E.; Rachidi, F. Mitigation of lightning-induced overvoltages in medium voltage distribution lines by means of periodical grounding of shielding wires and of surge arresters: Modeling and experimental validation. IEEE Trans. Power Deliv. 2004, 19, 423–431. [Google Scholar] [CrossRef]
- Electromagnetic Transients Program- the Restructure Version (EMTP-RV). Available online: https://www.emtp-software.com/en (accessed on 15 August 2020).
- Working Group 01 (Lightning) of Study Committee 33 (Overvoltages and Insulation Co-ordination). In Guide to Procedures for Estimating the Lightning Performance of Transmission Lines; Technical Brochure NO. 063: Paris, France, 1991.
- Dudurych, I.M.; Gallagher, T.J.; Corbett, J.; Val Escudero, M. EMTP analysis of the lightning performance of a HV transmission line. IEEE Proc. Gener. Transm. Distrib. 2003, 150, 501. [Google Scholar] [CrossRef]
- Wahlberg, M.; Rönnberg, S. Currents in power line wood poles. In Proceedings of the 21st International Conference on Electricity Distribution, Frankfurt, Germany, 6–9 June 2011; pp. 1–4. [Google Scholar]
- Bakar, A.H.A.; Talib, D.N.A.; Mokhlis, H.; Illias, H.A. Lightning back flashover double circuit tripping pattern of 132kV lines in Malaysia. Int. J. Electr. Power Energy Syst. 2013, 45, 235–241. [Google Scholar] [CrossRef]
- Martinez-Velasco, J.A.; González-Molina, F. Calculation of power system overvoltages. In Transient Analysis of Power Systems; John Wiley & Sons, Ltd.: Chichester, UK, 2014; pp. 100–194. [Google Scholar]
- Marti, J. Accurate modelling of frequency-dependent transmission lines in electromagnetic transient simulations. IEEE Trans. Power Appar. Syst. 1982, 101, 147–157. [Google Scholar] [CrossRef]
- Omidiora, M.A. Modeling and Experimental Investigation of Lightning Arcs and Overvoltages for Medium Voltage Distribution Lines. Ph.D. Thesis, Aalto University, Espoo, Finland, 2011. [Google Scholar]
- Ametani, A.; Matsuoka, K.; Omura, H.; Nagai, Y. Surge voltages and currents into a customer due to nearby lightning. Electr. Power Syst. Res. 2009, 79, 428–435. [Google Scholar] [CrossRef]
- GRASH. Webinar on Lightning Stroke Analysis-EMTP Group (Power System Transient Analysis); GRASH: New Orleans, LA, USA, 2015. [Google Scholar]
- Banjanin, M.S. Application possibilities of special lightning protection systems of overhead distribution and transmission lines. Int. J. Electr. Power Energy Syst. 2018, 100, 482–488. [Google Scholar] [CrossRef]
- Cao, T.X.; Pham, T.; Boggs, S. Computation of tower surge impedance in transmission line. In Proceedings of the 2013 IEEE Electrical Insulation Conference (EIC), Ottawa, ON, Canada, 2–5 June 2013; pp. 77–80. [Google Scholar]
- Banjanin, M.S.; Savić, M.S. Some aspects of overhead transmission lines lightning performance estimation in engineering practice. Int. Trans. Electr. Energy Syst. 2016, 26, 79–93. [Google Scholar] [CrossRef]
- Savadamuthu, U.; Udayakumar, K.; Jayashankar, V. Modified disruptive effect method as a measure of insulation strength for non-standard lightning waveforms. IEEE Trans. Power Deliv. 2002, 17, 510–515. [Google Scholar] [CrossRef]
- IEEE Working Group 3.4.11; Application of Surge Protective Devices Subcommittee- Surge Protective Device Committee. Modeling of metal oxide surge arresters. IEEE Trans. Power Deliv. 1992, 7, 302–309. [Google Scholar]
- Christodoulou, C.A.; Assimakopoulou, F.A.; Gonos, I.F.; Stathopulos, I.A. Simulation of metal oxide surge arresters behavior. In Proceedings of the 2008 IEEE Power Electronics Specialists Conference, Rhodes, Greece, 15–19 June 2008; pp. 1862–1866. [Google Scholar]
- Cigre Working Group 02; (Internal Overvoltages) of Study Committee 33. Guidelines for Representation of Network Elements When Calculating Transients; (Internal Overvoltages) of Study Committee 33: Paris, France, 1990; 30p.
- Pourakbari-Kasmaei, M.; Mahmood, F.; Krbal, M.; Pelikan, L.; Orságová, J.; Toman, P.; Lehtonen, M. Evaluation of filtered spark gap on the lightning protection of distribution transformers: Experimental and simulation study. Energies 2020, 13, 3799. [Google Scholar] [CrossRef]
- Paulino, J.O.S.; Barbosa, C.F.; Lopes, I.J.S.; do Boaventura, W.C.; de Miranda, G.C. Indirect lightning performance of aerial distribution lines considering the induced-voltage waveform. IEEE Trans. Electromagn. Compat. 2015, 57, 1123–1131. [Google Scholar] [CrossRef]
- Darveniza, M. The generalized integration method for predicting impulse volt-time characteristics for non-standard wave shapes-a theoretical basis. IEEE Trans. Electr. Insul. 1988, 23, 373–381. [Google Scholar] [CrossRef]
- Pourakbari-Kasmaei, M.; Mahmoud, F.; Krbal, M.; Pelikan, L.; Orságová, J.; Toman, P.; Lehtonen, M. Transformer Winding Capacitance Measurement. Available online: https://drive.google.com/file/d/1JbpTBkmuW2-AxfnBX5mN0JIF9Z_iLaN-/view?usp=sharing (accessed on 15 August 2020).
- Pourakbari-Kasmaei, M.; Mahmoud, F.; Krbal, M.; Pelikan, L.; Orságová, J.; Toman, P.; Lehtonen, M. Transformer with Serial Inductors and Protection Spark Gap. Available online: https://drive.google.com/file/d/1ztdvBW2QNNZx1t6XsAY6IMTzq-nxAlVc/view?usp=sharing (accessed on 15 August 2020).
- Miyazaki, S.; Goshima, H.; Amano, T.; Shinkai, H.; Yashima, M.; Wakimoto, T.; Ishii, M. Uncertainty of peak-value measurement of lightning impulse high voltage by national-standard-class measuring system. In Proceedings of the XVII International Symposium on High Voltage Engineering, Hannover, Germany, 22–26 August 2011; pp. 1–6. [Google Scholar]
- IEEE Std 1313-1993. In IEEE Standard for Power Systems—Insulation Coordination; IEEE: New York, NY, USA, 1993.
- Technical Specification of Transformer. Available online: https://procurement-notices.undp.org/view_file.cfm?doc_id=104038 (accessed on 15 August 2020).
- Phoenix Contact. The Basics of Surge Protection: From the Generation of Surge Voltages Right through to a Comprehensive Protection Concept. Available online: http://media.automation24.com/manual/nl/5131327_TT_Basics_Surge_protection_EN.pdf (accessed on 15 August 2020).
© 2020 by the authors. Licensee MDPI, Basel, Switzerland. This article is an open access article distributed under the terms and conditions of the Creative Commons Attribution (CC BY) license (http://creativecommons.org/licenses/by/4.0/).































