Abstract
The most used fire effect models on evacuees are only focused on the physical capacity of the evacuees. However, some of the evacuees in a fire situation continuously move through the familiar route, although the familiar route is smoke-filled and they know that they are moving towards the fire source. Thus, the additional evacuation models are required for considering the behavioral changes due to the psychological pressure when the evacuees are moving through the smoke or towards the fire source. In this study, the inner smoke region force is modified to improve the accuracy and practicality of the BR-smoke model by varying the walking speed according to the smoke density. Additionally, the BR-smoke model is applied to FDS+Evac to compare the simulation results of the modified BR-smoke model with those of existing models. Based on the results, the evacuation characteristics inside the smoke region can be improved by using the modified BR-smoke model because the evacuees are continuously influenced by the modified inner smoke force inside the smoke region. However, additional studies for determining more reliable evacuee psychological factors are required to improve the reality of the modified BR-smoke model.
1. Introduction
Recently, the performance-based design of buildings has been regulated to reduce property damage and casualties in building fire situations [1]. Additionally, assessing building evacuation characteristics is highly important for decreasing the number of casualties and improving evacuation safety in fire situations. Most evacuation models apply various walking speeds according to the smoke density [2,3] and a suffocation effect according to the amount of toxic gases from the fire [4] when considering the interaction between a fire and the evacuees. These models focus on the variation in the physical capacities of the evacuees such as their walking speed and whether they live or die. Thus, these models cannot estimate behavioral changes due to the psychological pressure experienced when the evacuees are confronted with a fire.
Moreover, it is assumed that the evacuees do not move forward to the fire and smoke region in a fire situation. Thus, those two models for walking speed [2,3] and toxic effect [4] are suitable to the fire simulation with this assumption. However, the evacuees in a fire situation would get into a panic and they should move based on their instincts because they cannot make a rational decision [5]. Especially, the evacuees in a panic continuously move through the familiar route according to the homing instinct, although the familiar route is smoke-filled and they know that they are moving towards the fire source [6,7,8]. Therefore, the evacuees who are finishing the evacuation by moving through the smoke or around the fire source have to be considered in the evacuation scenario of the fire simulation. However, as previously described, the models for the fire effect on the evacuees are only focused on the physical capacity of the evacuees, and these models cannot consider the behavioral changes due to the psychological pressure when the evacuees are moving through the smoke or towards the fire source.
Recently, Bae and Ryou [9] suggested a force-based model (BR-radiation model) for considering behavior changes due to the pressure experienced when evacuees feel the radiative heat flux from a fire. They converted the psychological pressure from the radiative heat flux into the radiation force, which causes the evacuees to move while avoiding the fire source. Then, they compared the new evacuation model with existing models and identified that the reliability of the evacuation characteristics can be improved by using their proposed evacuation model. Afterwards, Bae et al. [10] performed an experimental study to improve the practicality of the simulated interaction between evacuees and a fire via radiation. The reliability and practicality of the BR-radiation model was further improved by applying experimental results to the BR-radiation model.
Bae and Ryou [11] suggested another force-based model (BR-smoke model) for considering behavioral changes due to the pressure experienced when evacuees are confronted by the smoke region. The smoke force, which represents the psychological pressure from the smoke region, is divided into an outer and inner smoke region force to improve model accuracy and practicality. They also identified an improvement in the reliability of the evacuation characteristics by comparing the proposed model with existing models. However, the reliability of the BR-smoke model was diminished by the inner smoke region force because it was assumed that the inner smoke region force was directly proportional to the visibility at the position of the evacuees. Hence, the inner smoke region force decreased as the smoke density increased, although the probability of a direction change of the evacuees increases as the smoke density is increased [12]. Thus, a modification of the inner smoke region force is required to improve the reliability of the BR-smoke model.
Therefore, in this study, the inner smoke region force of the BR-smoke model is modified by the varying walking speed according to the smoke density [3]. In addition, the BR-smoke model is applied to FDS+Evac [13], which can simultaneously calculate the fire and evacuation simulations. Then, the simulation results of the modified BR-smoke model are compared with those of existing models to verify the reliability of the BR-smoke model.
2. Modification of the BR-Smoke Model
2.1. Helbing’s Movement Model
The Helbing’s movement model [14] is one of the widely used models for estimating the movement of the evacuee, and it can be categorized as the force-based model. That is, the Helbing’s movement model was developed by substituting the psychological pressures experienced by the surrounding people or environment into the interaction forces between evacuee and evacuees or walls, respectively. The movement characteristics are then estimated by using the mathematically modeled forces (social force, contact force, and attraction force). The Helbing’s movement model is represented as follows:
where xi(t) is the position vector of the agent, vio(t) is the desired walking speed of the agent, vi(t) is the estimated walking speed of the agent, τi is a certain characteristic time for each evacuee, and fsoc, fcont, and fatt are the social force, contact force, and attraction force, respectively.
However, as represented in Equation (1), the Helbing’s movement model cannot consider the fire effect on the evacuation movement, because the fire effects which come from the fire source and the smoke are not included in the model. Therefore, an additional model for considering the fire effect on the evacuees should be required for improving the accuracy of the evacuation simulation results in a fire situation.
2.2. Existing Smoke Force Model
As previously described, Bae and Ryou [11] suggested the force-based model, BR-smoke model, for considering the effect of the smoke from the fire on the evacuees. In the BR-smoke model, the forces for an outer/inner smoke region were included for considering the psychological pressures experienced when the evacuees are confronted with the smoke or they move through the smoke, respectively. The BR-smoke force is represented as follows:
where fiS, fiSouter, and fiSinner are the BR-smoke force, the outer smoke region force, and the inner smoke region force, respectively. Moreover, diS is the minimum distance between the human and the smoke, niS is the unit vector pointing from the smoke boundary to the human, SiS is the maximum value, 125 N, of the BR-smoke force, u(diS) is the unit step function at diS = 0, and Vi and V∞ are the visibility at the position of the evacuees and the maximum visibility, 30 m, respectively.
The BR-smoke model was then suggested by applying the BR-smoke force on the Helbing’s movement model. After that, they verified that the reliability of the evacuation simulation in the smoke-filled area can be improved by applying the BR-smoke model.
2.3. Modification of the BR-Smoke Model
As previously described, the inner smoke region force represents the pressures experienced when evacuees move through the smoke region. This force acts on the evacuees to induce them to seek egress from the smoke region for their safety. However, as represented in Equation (2), it is assumed that the inner smoke region force is proportional to the visibility at the position of the evacuees. Thus, the magnitude of the inner smoke region force decreases as the evacuees move towards the dense smoke region.
Therefore, the inner smoke region force needs to be modified to improve the reliability of the BR-smoke force. In this study, it is assumed that the inner smoke region force is directly proportional to the variation in smoke density according to the time. In addition, the model representing the variation in the walking speed according to the smoke density [3] is used to determine the inner smoke region force that satisfies the above assumption. That is, the acceleration of evacuees in a smoke region is derived by differentiating the Frantzich and Nilsson correlation by time. Then, the acceleration is represented as follows:
where vio is the desired speed of the evacuees, Ks is the extinction coefficient ([Ks] = m−1), and α and β are the coefficients 0.706 ms−1 and −0.057 m2 s−1, respectively [3].
Then, the magnitude of the inner smoke region force can be derived by multiplying the evacuee’s mass by the acceleration, and the magnitude of the inner smoke region is represented as follows:
where mi is the mass of the evacuees. Moreover, the direction of the inner smoke region force, niS, is assumed to be the inner product of the opposite walking direction and the minimum distance direction between the evacuee and boundary of the smoke region.
Furthermore, the individual psychological pressure outside of the smoke region cannot be considered with the existing BR-smoke model, because the maximum value of the BR-smoke force was specified as a constant value, 125 N, as described in Section 2.2. Thus, the maximum value of the outer smoke region force, SiS, is also modified by applying the maximum magnitude of the individual motive force, mivio/τi.
Then, based on these modifications, the modified smoke force of the BR-smoke model is represented as follows:
Finally, the modified smoke force is applied to the force-based evacuation model, Helbing’s social force model [14], and the modified BR-smoke model is as follows:
The modified BR-smoke model is applied to FDS+Evac [14], which can simultaneously calculate the fire and evacuation simulations. Then, the evacuation characteristics and forces acting on the evacuees are compared with the correlation of Frantzich and Nilsson and the BR-smoke model.
3. Simulation Conditions
Figure 1 represents the computational domain and desired direction for every grid point. As shown in Figure 1a, the arbitrary space that has dimensions of 24 m (L) × 16 m (W) × 2.4 m (H) is used to analyze the evacuation characteristics. The fire source is positioned at the center of the computational domain, and the size of the fire is assumed to be 2.0 MW. Additionally, the fire growth is ignored to maximize smoke generation and spreading.
Figure 1.
The (a) computational domain and (b) desired direction of every grid point.
Forty-seven adult males are positioned along the left and top walls of the computational domain to cause the evacuees to be influenced by the smoke region during evacuation. As represented in Figure 1a, the initial position and direction of the evacuees are all controlled for minimizing the random effect on the simulation results for each case. Moreover, all the evacuees immediately begin to evacuate after the fire occurs to the exits located at the center of the bottom and right walls. In FDS+Evac, the desired direction of the evacuees is determined by the potential flow field of the computational domain [13]. If the path for bypassing the fire is not specified, some evacuees move through the fire source. Therefore, an arbitrary obstruction is placed around the fire for evacuees to bypass the fire in the evacuation domain. The desired direction for all positions in the computational domain is shown in Figure 1b.
Table 1 lists the simulation cases according to the evacuation model. As listed in Table 1, all conditions, except for the movement model, are the same for each case. In Case 1, the Helbing’s social force model [14] is used to analyze the evacuation characteristics, and the Frantzich and Nilsson correlation [3] is applied to consider the interaction between the fire and evacuees. In Case 2, the BR-model suggested by Bae and Ryou [11] is used to analyze the evacuation characteristics. In Case 3, the modified BR-model is used to analyze the evacuation characteristics. Additionally, in Cases 2 and 3, the Frantzich and Nilsson correlation [3] is applied to consider the walking variation according to the smoke density. Moreover, the random force acting on the evacuees are ignored for minimizing the random effect on the simulation results for each case. Then, the evacuation characteristics are analyzed by comparing forces (motive force, social force, and smoke force) and walking speed.
Table 1.
The cases for the fire and evacuation simulations.
4. Results and Discussion
Figure 2 and Figure 3 represent the distribution of the evacuees at 2 and 4 s, respectively. As represented in Figure 2, the distributions of the evacuees at 2 s are nearly the same between the cases because the smoke region is farther away from the evacuees and can influence them less. However, as represented in Figure 3, the distributions of the evacuees after 4 s are significantly different from each other because the evacuees are confronted by the smoke region and move through it after 4 s. Some evacuees for Case 1 at 4 s walk into the smoke region because the interaction between the evacuees and the smoke region is not considered in the evacuation simulation. In contrast, the evacuees for Cases 1 and 2 at 4 s hesitate to walk into the smoke region, and they are distributed around the boundary of the smoke region because of the influence of the outer smoke region force.
Figure 2.
The distribution of the evacuees at 2 s.
Figure 3.
The distribution of the evacuees at 4 s.
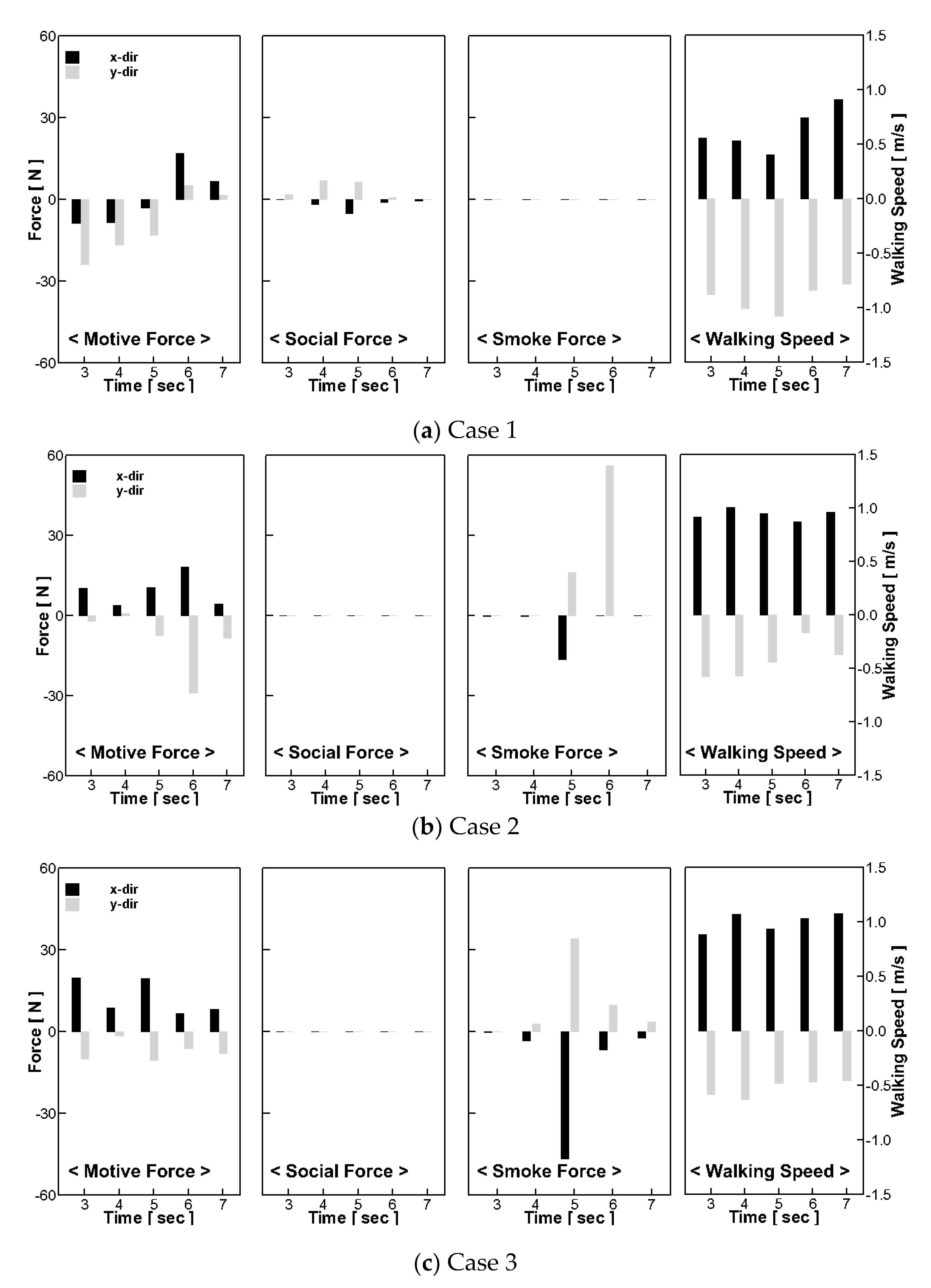
Figure 4 represents the forces acting on a representative evacuee and the walking speed when the representative evacuee is confronted by the smoke region. An evacuee initially positioned nearby the upper left corner is selected as the representative evacuee because it is assumed that this evacuee is evacuated last from the computation domain for every case. The motive force applied in FDS+Evac for simulating the evacuation is used for making the evacuees move along the desired direction as predetermined by the potential flow. Moreover, the social force is used for making the evacuees change the walking speed and direction when they are confronted with the other evacuees or obstacles.
Figure 4.
The forces acting on the representative evacuee and the walking speed from 3 to 7 s.
As represented in Figure 4a, the representative evacuee for Case 1 changes its walking speed only according to the influence of the motive and social forces. Based on these acting forces, the representative evacuee for Case 1 initially moves along the predetermined direction and changes its walking speed and direction after being confronted with the other evacuees. That is, it is confirmed that the behavioral changes of the evacuees due to the smoke cannot be considered with the Helbing’s movement model.
In contrast, the representative evacuees for Cases 2 and 3 change their walking directions and decrease their walking speed because they are influenced by the outer smoke region force when confronted by the smoke region (Figure 4b,c). In addition, the social forces for Cases 2 and 3 do not act on the representative evacuee, in contrast with Case 1, because the representative evacuees for Cases 2 and 3 are further away from the other evacuees due to the influence of the outer smoke region force at around 5 s. That is, it is confirmed that the behavioral changes of the evacuees due to the smoke can be well considered by applying the BR-smoke model.
Figure 5 and Figure 6 represent the distributions of the evacuees at 8 and 12 s, respectively. As represented in Figure 5, the evacuees in Case 1 that are moving towards the right exit are further away from the fire in contrast with those moving towards the bottom exit. In addition, the distributions for Cases 2 and 3 are extremely similar to each other at this time because the distribution is estimated by the influence of the outer smoke region force. Moreover, as represented in Figure 6, the distributions at 12 s are somewhat different from each other. The evacuees in Case 2 are congregated around the center of the computational domain in the y-direction because the evacuees only move towards the exit with the motive force influence. In contrast, the evacuees in Case 3 are further away from the fire while maintaining the distribution of that at 8 s because the evacuees are continuously changing their walking direction because of the influence of the modified inner smoke region force.
Figure 5.
The distribution of the evacuees at 8 s.
Figure 6.
The distribution of the evacuees at 12 s.
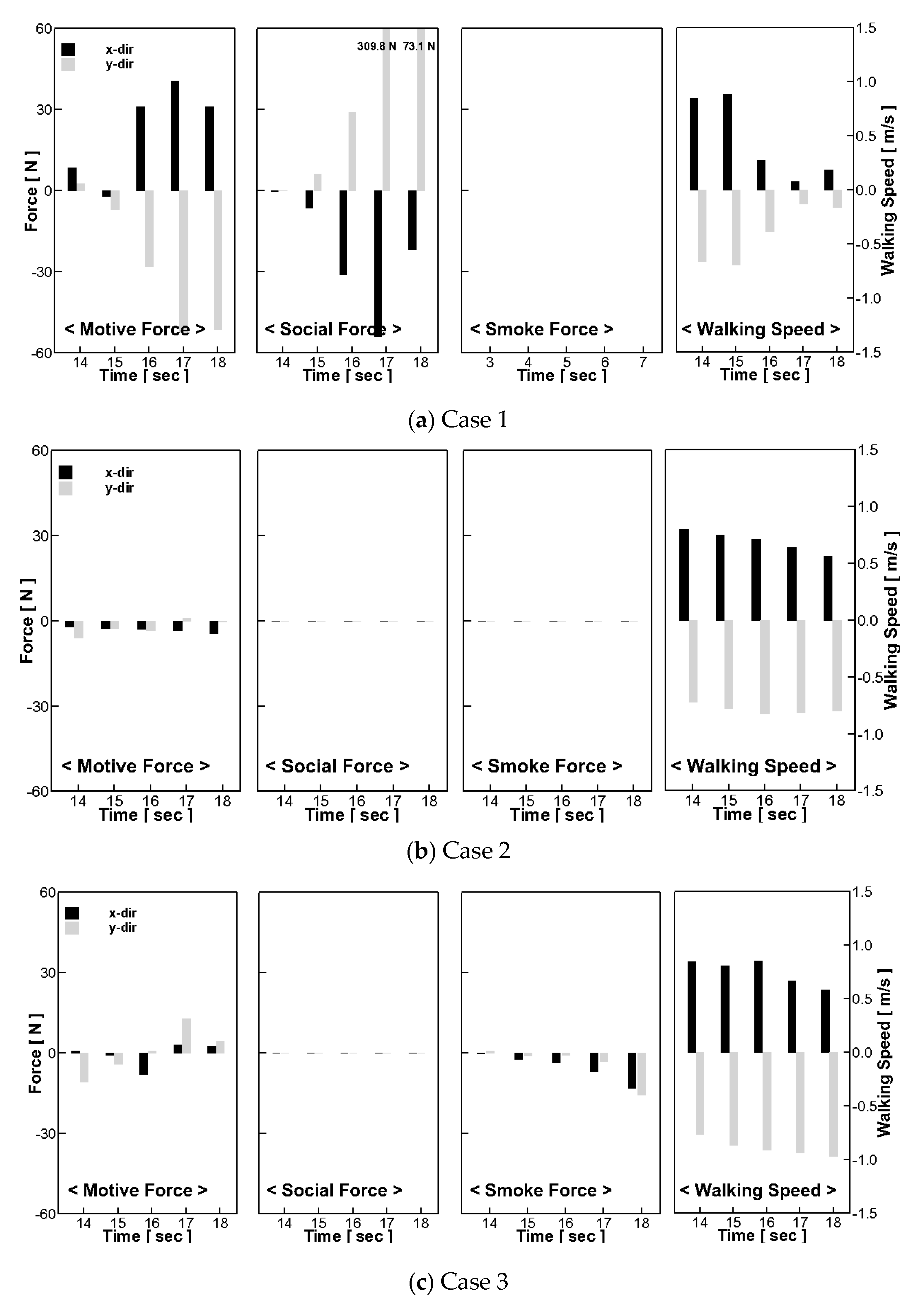
Figure 7 represents the forces acting on the representative evacuee and the walking speed when the representative evacuee moves through the smoke region. As represented in Figure 7a, the representative evacuee for Case 1 changes its walking direction according to the influence of the motive and social forces. Additionally, in contrast with Figure 4, the magnitude of the social force rapidly increases at 17 s, which is caused by the approach of the other evacuees. Based on these acting forces, the representative evacuee rapidly decreases its walking speed because the representative evacuee moves towards the crowed space around the bottom exits. That is, it is once again confirmed that the influence of the smoke on the evacuees cannot be considered with the Helbing’s movement model.
Figure 7.
The forces acting on the representative evacuee and the walking speed from 14 to 18 s.
As illustrated in Figure 7b, the representative evacuee for Case 2 is not influenced by the inner smoke region force because it is assumed that the existing inner smoke region force is proportional to the visibility [11]. Therefore, the representative evacuee for Case 2 is only influenced by the motive force, which means that the evacuees for Case 2 move towards the exit along the predetermined desired direction. As a result of these acting forces, the evacuees for Case 2 are distributed around the center of the computational domain in the y-direction because the desired directions around the upper right side are predetermined to move towards the right side (Figure 1b).
In contrast with Figure 7b, the representative evacuee for Case 3 is influenced by the motive and smoke forces (Figure 7c). The evacuees for Case 3 are continuously influenced by the inner smoke region force when they move through the smoke region. As a result of these acting forces, the evacuees for Case 3 are distributed further away from the fire, and they maintain an extended distribution inside the smoke region (Figure 6). That is, it is confirmed that the behavioral changes of the evacuees inside the smoke region can be well considered by applying the modified BR-smoke model.
5. Conclusions
In this study, the inner smoke region force of the BR-smoke model is modified by varying the walking speed according to the smoke density. Then, the modified BR-smoke model is applied to FDS+Evac to analyze the evacuation characteristics and is compared with those of existing models (Helbing’s social force model with the correlation between walking speed and smoke density and the existing BR-smoke model). The conclusions of this study are as follows:
- It is confirmed that the behavioral changes of the evacuees due to the smoke cannot be considered with the Helbing’s movement model. Thus, the BR-smoke model should be applied for considering the behavioral changes against the smoke. However, the behavioral changes inside the smoke region cannot be considered by using the existing BR-smoke model because the inner smoke region force does not act on the evacuee due to the decreased visibility.
- The evacuation characteristics inside the smoke region can be improved by using the modified BR-smoke model because the evacuees are continuously influenced by the modified inner smoke force inside the smoke region. However, additional studies for determining a more reliable evacuee psychological factor are required to improve the reality of the modified BR-smoke model.
Author Contributions
Writing-original draft and review and editing, S.B.; Methodology, J.-H.C.; supervision, H.S.R. All authors have read and agreed to the published version of the manuscript.
Funding
This research received no external funding.
Acknowledgments
This study was supported by the research fund from Chosun University (K207896001) and Basic Science Research Program through the National Research Foundation of Korea (NRF) funded by the Ministry of Science, ICT, and Future Planning (2018R1C1B508493913).
Conflicts of Interest
The authors declare no conflict of interest.
References
- Custer, R.L.P.; Meacham, B.J. Introduction to Performance-Based Fire Safety; Society of Fire Protection Engineers, NFPA: Quincy, MA, USA, 1997; ISBN 0-87765-421-2. [Google Scholar]
- Jin, T. Visibility through Fire Smoke. J. Fire Flammabl. 1978, 9, 135–155. [Google Scholar]
- Frantzich, H.; Nilsson, D. Utrymning Genom tät Rök: Beteende och Förflyttning; Report 3126; Department of Fire Safety Engineering and Systems Safety, Lund University: Lund, Sweden, 2003. [Google Scholar]
- Purser, D.A. Toxicity Assessment of Combustion Products. In SFPE Handbook of Fire Protection Engineering, 2nd ed.; National Fire Protection Association: Quincy, MA, USA, 1995. [Google Scholar]
- Chiewchengchol, W.; Koga, T.; Hirate, K. Development of an evacuation simulator using a walkthrough system and research on evacuation behavior in the case of fire. J. Asian Archit. Build. Eng. 2011, 10, 101–108. [Google Scholar] [CrossRef]
- Fahy, R.F.; Proulx, G. Collective Common Sense: A Study of Human Behavior during the World Trade Center Evacuation. NFPA J. 1995, 87, 61–64. [Google Scholar]
- Proulx, G. The Impact of Voice Communication Messages during a Residential Highrise Fire. In Proceedings of the First International Symposium Human Behaviour in Fire, Fire SERT Centre, University of Ulster, Belfast, UK, 30 August–2 September 1998; pp. 265–274. [Google Scholar]
- Proulx, G.; Fahy, R.F. Account Analysis of WTC Survivors. In Proceedings of the 3rd International Symposium on Human Behaviour in Fire 2004, Interscience Communications and University of Ulster, Belfast, UK, 1–3 September 2004; pp. 203–214. [Google Scholar]
- Bae, S.; Ryou, H.S. A mathematical modelling of the interaction between evacuees and fire through radiation. Fire Technol. 2016, 52, 847–864. [Google Scholar] [CrossRef]
- Bae, S.; Choi, J.-H.; Kim, C.; Hong, W.-H.; Ryou, H.S. Development of new evacuation model (BR-radiation model) through an experiment. J. Mech. Sci. Technol. 2016, 30, 3379–3391. [Google Scholar] [CrossRef]
- Bae, S.; Ryou, H.S. Development of a smoke effect model for representing the psychological pressure from the smoke. Saf. Sci. 2015, 77, 57–65. [Google Scholar] [CrossRef]
- Proulx, G.; Fahy, R.F. Human behavior and evacuation movement in smoke. ASHRAE Trans. 2008, 114, 159–165. [Google Scholar]
- Korhonen, T.; Hostikka, S. Fire dynamics simulator with evacuation. In FDS + Evac Technical Reference and User’s Guide; VTT Technical Research Centre of Finland: Espoo, Finland, 2009. [Google Scholar]
- Helbing, D.; Farkas, I.; Vicsek, T. Simulating dynamical features of escape panic. Nature 2000, 407, 487–490. [Google Scholar] [CrossRef] [PubMed]
© 2020 by the authors. Licensee MDPI, Basel, Switzerland. This article is an open access article distributed under the terms and conditions of the Creative Commons Attribution (CC BY) license (http://creativecommons.org/licenses/by/4.0/).






