A Numerical Model for Investigating the Steam Conformance along the Dual-String Horizontal Wells in SAGD Operations
Abstract
:1. Introduction
2. Model Description
2.1. General Assumptions
- The heavy oil reservoir is isotropic and homogeneous.
- The injection parameters (e.g., injection pressure and steam quality) at the heel of the short and long strings in the injector and the production parameters (e.g., bottomhole pressure) at the heel of the short and long strings in the producer do not change with time.
- The heat transfer in the wellbore is steady state, while the heat transfer in the reservoir is transient.
- The flow of oil, water and steam in the reservoir obeys Darcy’s law, the fluid flow in the reservoir only considers the laminar flow and oil and water are immiscible.
- Heat convection and conduction are considered when the fluids flow in the reservoir.
- The compressibilities of the rock and fluid are considered.
2.2. Wellbore Model of the Injector
2.2.1. Steam Flow Model in the Short and Long Strings
2.2.2. Steam Flow Model in the Annulus
2.3. Wellbore Model of the Producer
2.3.1. Liquid Flow Model in the Long String
2.3.2. Liquid Flow Model in the Annulus
2.4. Reservoir Model
2.5. Coupling Model
2.6. Uniformity Evaluation Model
3. Solution Method of the Coupling Model
4. Results and Discussion
4.1. Verification of the Developed Model
4.1.1. Validation Using the Experimental Data
4.1.2. Verification against the Numerical Solution
4.2. Sensitivity Analysis
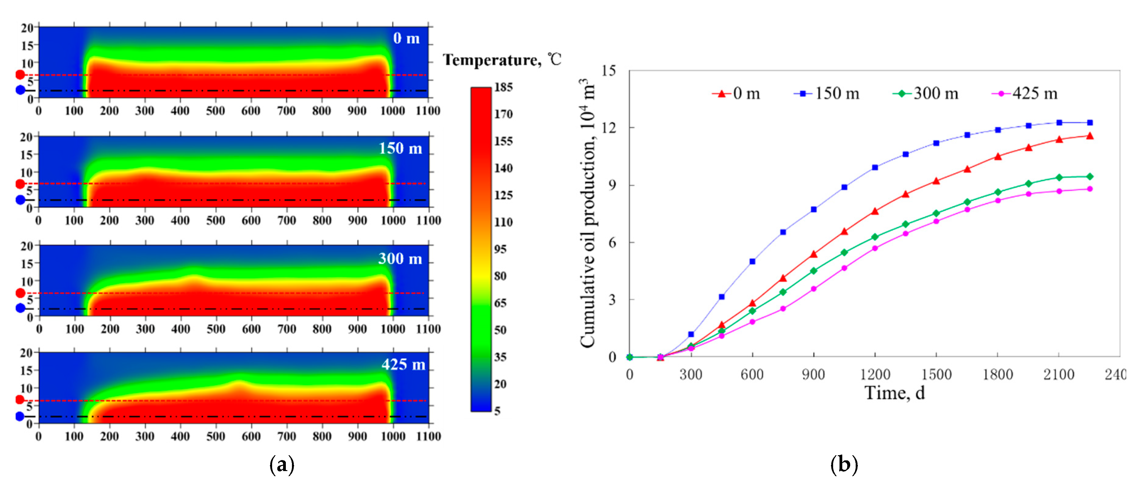
4.2.1. Effect of the Injector Wellbore Configuration
4.2.2. Effect of the Steam Injection Ratio
4.2.3. Effect of the Injection Time
5. Conclusions
- (1)
- The predicted results of the developed model match well with the CMG calculation results and the experimental data. The proposed model is shown to be reliable.
- (2)
- Under different injector wellbore configurations, the closer the differences in the pressure drop in the AB and BD sections, the better is the uniformity of the injector annular pressure profile, injection and production profiles and steam conformance. It is recommended that production engineers measure the pressure drop in the AB section and BD section and adjust the landing position of the short string to obtain an equal pressure drop in the AB and BD sections.
- (3)
- The smaller the difference in the steam injection rate between the long and short injection strings, the more uniform is the distribution of the injection and production profiles and the steam chamber.
- (4)
- Creating a more uniform injector annular pressure profile is beneficial for improving the uniformity of the injection and production profiles and the steam conformance.
- (5)
- The steam conformance decreases as time proceeds. The appropriate optimization method should be adopted for different injection times to improve the steam conformance.
Author Contributions
Funding
Conflicts of Interest
Nomenclature
| Apa | effective cross-sectional area in the annulus [m2] |
| Apl | effective cross-sectional area in the string [m2] |
| Bo | formation volume factor of oil [m3/m3] |
| Bw | formation volume factor of water [m3/m3] |
| cR | specific heat capacity of rock [J/(kg·°C)] |
| CJma | Joule–Thomson coefficient of steam in the annulus [°C/Pa] |
| CJml | Joule–Thomson coefficient of steam in the string [°C/Pa] |
| Cpma | heat capacity of steam in the annulus [J/(kg·°C)] |
| Cpml | heat capacity of steam in the string [J/(kg·°C)] |
| D | depth [m] |
| g | gravitational acceleration [m/s2] |
| ha | steam enthalpy in the annulus [J/kg] |
| hl | steam enthalpy in the string [J/kg] |
| hpa | fluid enthalpy in the annulus [J/kg] |
| hpl | fluid enthalpy in the string [J/kg] |
| Hi | enthalpy of the phase i in the heat convection term [J/kg] |
| Is | injection production ratio |
| k | absolute permeability [10−3 µm2] |
| kh | horizontal permeability [m2] |
| kro | relative permeability of oil |
| krw | relative permeability of water |
| krg | relative permeability of gas |
| kv | vertical permeability [m2] |
| ma | steam mass flow rate in the annulus [kg/s] |
| mc | rate of steam condensation [kg/(m3·s)] |
| maf | steam mass injection rate from the annulus to the reservoir [kg/(m·s)] |
| mg | steam mass imbibition rate per unit length [kg/s] |
| ml | steam mass flow rate in the string [kg/s] |
| mliquid | liquid production rate per unit length [kg/s] |
| mpa | fluid mass flow rate in the annulus [kg/s] |
| mpaf | fluid mass inflow rate from the reservoir to the annulus [kg/(m·s)] |
| mpl | fluid mass flow rate in the string [kg/s] |
| P | reservoir pressure [Pa] |
| Pa | steam pressure in the annulus of the injector [Pa] |
| Pa_AB | steam pressure in the AB section of the annulus [Pa] |
| Pa_BD | steam pressure in the BD section of the annulus [Pa] |
| Pl | steam pressure in the string [Pa] |
| Po | oil pressure [Pa] |
| Ppa | wellbore pressure in the annulus [Pa] |
| Ppl | wellbore pressure in the string [Pa] |
| Pw | water pressure [Pa] |
| Pg | steam pressure [Pa] |
| qo | volume flow rate of oil per unit volume [m3/(m3·s)] |
| qw | volume flow rate of water per unit volume [m3/(m3·s)] |
| qg | volume flow rate of steam per unit volume [m3/(m3·s)] |
| Qa | heat loss rate of the annulus of the injector [J/s] |
| Ql | heat loss rate of the long string of the injector [J/s] |
| Qpa | heat loss rate of the annulus of the producer [J/s] |
| Qpl | heat loss rate of the long string of the producer [J/s] |
| Qps | heat loss rate of the short string of the producer [J/s] |
| Qs | heat loss rate of the short string of the injector [J/s] |
| Qloss | heat loss rate to the surroundings [J/(m3·s)] |
| QH | enthalpy production rate [J/(m3·s)] |
| Sk | skin factor |
| So | oil saturation |
| Sw | water saturation |
| Sg | steam saturation |
| re | oil drainage radius [m] |
| rw | wellbore radius [m] |
| t | time [s] |
| T | reservoir temperature [°C] |
| Ta | steam temperature in the annulus [°C] |
| Tl | steam temperature in the string [°C] |
| Ui | internal energy of the phase i [J/kg] |
| va | steam flow velocity in the annulus [m/s] |
| var | steam flow velocity into the reservoir [m/s] |
| vl | steam flow velocity in the string [m/s] |
| vpa | fluid flow velocity in the annulus [m/s] |
| vpar | fluid inflow velocity from the reservoir [m/s] |
| vpl | fluid flow velocity in the string [m/s] |
| vsga | superficial gas velocity in the annulus [m/s] |
| vsgl | superficial gas velocity in the string [m/s] |
| average value of parameter x | |
| xj | value of parameter x in the micro-segment j |
Greek Symbols
| α1 | unit conversion coefficient |
| α2 | unit conversion coefficient |
| α3 | unit conversion coefficient |
| αx | non-uniformity coefficient of parameter x |
| βx | uniformity improvement coefficient of parameter x |
| λR | thermal conductivity of the reservoir in the heat conduction term [W/(m·°C)] |
| φ | porosity |
| μo | oil viscosity [Pa·s] |
| μw | water viscosity [Pa·s] |
| μg | steam viscosity [Pa·s] |
| ρa | steam density in the annulus of the injector [kg/m3] |
| ρo | oil density [kg/m3] |
| ρw | water density [kg/m3] |
| ρg | steam density [kg/m3] |
| ρR | rock density [kg/m3] |
| ρpa | fluid density in the annulus of the producer [kg/m3] |
| ρpl | fluid density in the string of the producer [kg/m3] |
| τpa | friction when the fluid flows in the annulus of the producer [N] |
| τpl | friction when the fluid flows in the string of the producer [N] |
Appendix A


Appendix B
Appendix C
References
- Sun, X.; Song, Z.; Cai, L.; Zhang, Y.; Li, P. Phase behavior of heavy oil–solvent mixture systems under reservoir conditions. Pet. Sci. 2020. [Google Scholar] [CrossRef]
- Sun, X.; Zhang, Y.; Gai, Z.; Zhao, H.; Chen, G.; Song, Z. Comprehensive experimental study of the interfacial stability of foamy oil and identification of the characteristic responsible for foamy oil formation. Fuel 2019, 238, 514–525. [Google Scholar] [CrossRef]
- Sun, X.; Zhao, H.; Zhang, Y.; Liu, Y.; Chen, G.; Wang, W. An experimental study on the oil-soluble surfactant-assisted cyclic mixed solvent injection process for heavy oil recovery after primary production. Fuel 2019, 254, 115656. [Google Scholar] [CrossRef]
- Zhou, W.; Xin, C.; Chen, S.; Yu, Q.; Wang, K. Polymer-Enhanced Foam Flooding for Improving Heavy Oil Recovery in Thin Reservoirs. Energy Fuels 2020, 34, 4116–4128. [Google Scholar] [CrossRef]
- Zhou, X.; Zeng, F.; Zhang, L. Improving Steam-Assisted Gravity Drainage performance in oil sands with a top water zone using polymer injection and the fishbone well pattern. Fuel 2016, 184, 449–465. [Google Scholar] [CrossRef]
- Jiang, Q.; Butler, R.; Yee, C. The Steam and Gas Push (SAGP)-2:Mechanism Analysis and Physical Model Testing. J. Can. Pet. Technol. 2000, 39. [Google Scholar] [CrossRef]
- Dong, X.; Liu, H.; Chen, Z.; Wu, K.; Lu, N.; Zhang, Q. Enhanced oil recovery techniques for heavy oil and oilsands reservoirs after steam injection. Appl. Energy 2019, 239, 1190–1211. [Google Scholar] [CrossRef]
- Lyu, X.; Liu, H.; Pang, Z.; Sun, Z. Visualized study of thermochemistry assisted steam flooding to improve oil recovery in heavy oil reservoir with glass micromodels. Fuel 2018, 218, 118–126. [Google Scholar] [CrossRef]
- Yao, Y.; Yao, Y.; Li, G.; Liu, W. A numerical model for wet steam circulating in horizontal wellbores during starting stage of the steam-assisted-gravity-drainage process. Heat Mass Transf. 2019, 55, 2209–2220. [Google Scholar] [CrossRef]
- Liu, H.; Cheng, L.; Huang, S.; Jia, P.; Chen, M. Evolution characteristics of SAGD steam chamber and its impacts on heavy oil production and heat consumption. Int. J. Heat Mass Transf. 2018, 121, 579–596. [Google Scholar] [CrossRef]
- Li, S.; Yu, T.; Li, Z.; Li, S. Experimental investigation of nitrogen-assisted SAGD in heavy-oil reservoirs: A two-dimensional visual analysis. Fuel 2019, 257, 116013. [Google Scholar] [CrossRef]
- Sadeghi, A.; Hassanzadeh, H.; Harding, T.G. A comparative study of oil sands preheating using electromagnetic waves, electrical heaters and steam circulation. Int. J. Heat Mass Transf. 2017, 111, 908–916. [Google Scholar] [CrossRef]
- Parappilly, R.; Zhao, L. SAGD with a Longer Wellbore. J. Can. Pet. Technol. 2009, 48, 71–77. [Google Scholar] [CrossRef]
- Huang, S.; Cao, M.; Xia, Y.; Chen, X.; Yang, M. Heat and mass transfer characteristics of steam in a horizontal wellbore with multi-point injection technique considering wellbore stock liquid. Int. J. Heat Mass Transf. 2018, 127, 949–958. [Google Scholar] [CrossRef]
- Huang, S.; Xia, Y.; Xiong, H.; Liu, H.; Chen, X. A three-dimensional approach to model steam chamber expansion and production performance of SAGD process. Int. J. Heat Mass Transf. 2018, 127, 29–38. [Google Scholar] [CrossRef]
- Stone, T.W.; Brown, G.; Guyaguler, B.; Bailey, W.J.; Law, D.H. Practical Control of SAGD Wells With Dual-Tubing Strings. J. Can. Pet. Technol. 2014, 53, 32–47. [Google Scholar] [CrossRef]
- Kumar, A.; Oballa, V.; Card, C. Fully-Coupled Wellbore Design and Optimization for Thermal Operations. In Proceedings of the Canadian Unconventional Resources and International Petroleum Conference, Calgary, AB, Canada, 19–21 October 2010. SPE-137427-MS. [Google Scholar] [CrossRef]
- Rivas, D.A.; Gates, I. SAGD Circulation Phase: Thermal Efficiency Evaluation of Five Wellbore Completion Designs in Lloydminster Reservoir. In Proceedings of the SPE Thermal Well Integrity and Design Symposium, Banff, AB, Canada, 27–29 November 2018. [Google Scholar] [CrossRef]
- Dong, X.; Liu, H.; Lu, N.; Wu, K.; Wang, K.; Chen, Z. Steam Conformance along Horizontal Well with Different Well Configurations of Single Tubing: An Experimental and Numerical Investigation. SPE Prod. Oper. 2020, 1–15. [Google Scholar] [CrossRef]
- Sun, F.; Yao, Y.; Li, X.; Li, G.; Liu, Q.; Han, S.; Zhou, Y. Effect of friction work on key parameters of steam at different state in toe-point injection horizontal wellbores. J. Pet. Sci. Eng. 2018, 164, 655–662. [Google Scholar] [CrossRef]
- Lin, R.; Qi, S.; Shen, W.; Yang, J.; Wang, X.; Wang, H.; Wang, S.; Shu, Z. Study on parameters of steam injection in SAGD circulating preheating section. J. China Univ. Pet. 2018, 42, 134–141. [Google Scholar]
- Sun, F.; Yao, Y.; Li, X.; Li, G.; Sun, Z. A numerical model for predicting distributions of pressure and temperature of superheated steam in multi-point injection horizontal wells. Int. J. Heat Mass Transf. 2018, 121, 282–289. [Google Scholar] [CrossRef]
- Wu, Y.; Li, X.; Sun, X.; Ma, D.; Wang, H. Key parameters forecast model of injector wellbores during the dual-well sagd process. Pet. Explor. Dev. 2012, 39, 514–521. [Google Scholar] [CrossRef]
- Yu, T.; Zhang, H.-Q.; Li, M.; Sarica, C. A Mechanistic Model for Gas/Liquid Flow in Upward Vertical Annuli. SPE Prod. Oper. 2010, 25, 285–295. [Google Scholar] [CrossRef]
- Caetano, E.F.; Shoham, O.; Brill, J.P. Upward Vertical Two-Phase Flow Through an Annulus—Part I: Single-Phase Friction Factor, Taylor Bubble Rise Velocity, and Flow Pattern Prediction. J. Energy Resour. Technol. 1992, 114, 1–13. [Google Scholar] [CrossRef]
- Gu, H.; Cheng, L.; Huang, S.; Du, B.; Hu, C. Prediction of thermophysical properties of saturated steam and wellbore heat losses in concentric dual-tubing steam injection wells. Energy 2014, 75, 419–429. [Google Scholar] [CrossRef]
- Gu, H.; Cheng, L.; Huang, S.; Li, B.; Shen, F.; Fang, W.; Hu, C. Steam injection for heavy oil recovery: Modeling of wellbore heat efficiency and analysis of steam injection performance. Energy Convers. Manag. 2015, 97, 166–177. [Google Scholar] [CrossRef]
- Alves, I.; Alhanati, F.; Shoham, O. A Unified Model for Predicting Flowing Temperature Distribution in Wellbores and Pipelines. SPE Prod. Eng. 1992, 7, 363–367. [Google Scholar] [CrossRef]
- Beggs, D.; Brill, J. A Study of Two-Phase Flow in Inclined Pipes. J. Pet. Technol. 1973, 25, 607–617. [Google Scholar] [CrossRef]
- Cheng, W.; Huang, Y.; Lu, D.-T.; Yin, H.-R. A novel analytical transient heat-conduction time function for heat transfer in steam injection wells considering the wellbore heat capacity. Energy 2011, 36, 4080–4088. [Google Scholar] [CrossRef]
- Nian, Y.-L.; Cheng, W.; Li, T.-T.; Wang, C.-L. Study on the effect of wellbore heat capacity on steam injection well heat loss. Appl. Therm. Eng. 2014, 70, 763–769. [Google Scholar] [CrossRef]
- Cheng, W.-L.; Han, B.-B.; Nian, Y.-L.; Wang, C.-L. Study on wellbore heat loss during hot water with multiple fluids injection in offshore well. Appl. Therm. Eng. 2016, 95, 247–263. [Google Scholar] [CrossRef]
- Tortike, W.; Ali, S.F. Saturated-Steam-Property Functional Correlations for Fully Implicit Thermal Reservoir Simulation. SPE Reserv. Eng. 1989, 4, 471–474. [Google Scholar] [CrossRef]
- Ejiogu, G.; Fiori, M. High-Pressure Saturated-Steam Correlations. J. Pet. Technol. 1987, 39, 1585–1590. [Google Scholar] [CrossRef]
- Li, M.; Chen, H.; Zhang, Y.; Li, W.; Wang, Y.; Yu, M. A Coupled Reservoir/Wellbore Model to Simulate the Steam Injection Performance of Horizontal Wells. Energy Technol. 2015, 3, 535–542. [Google Scholar] [CrossRef]
- Mozaffari, S.; Nikookar, M.; Ehsani, M.R.; Sahranavard, L.; Roayaie, E.; Mohammadi, A.H. Numerical modeling of steam injection in heavy oil reservoirs. Fuel 2013, 112, 185–192. [Google Scholar] [CrossRef]
- Sun, X.; Zhang, Y.; Wang, S.; Song, Z.; Li, P.; Wang, C. Experimental study and new three-dimensional kinetic modeling of foamy solution-gas drive processes. Sci. Rep. 2018, 8, 4369. [Google Scholar] [CrossRef]
- Sun, F.; Yao, Y.; Li, G.; Li, X.; Zhang, T.; Lu, C.; Liu, W. An improved two-phase model for saturated steam flow in multi-point injection horizontal wells under steady-state injection condition. J. Pet. Sci. Eng. 2018, 167, 844–856. [Google Scholar] [CrossRef]
- Oballa, V.; Buchanan, L. Flexible wellbore model coupled to thermal reservoir simulator. In Proceedings of the World Heavy Oil Congress, Puerto La Cruz, Venezuela, 3–5 November 2009. [Google Scholar]

















| Items | Values | Items | Values |
|---|---|---|---|
| Reservoir thickness, cm | 15 | Oil saturation, % | 75 |
| Porosity, % | 0.38 | Initial reservoir temperature, °C | 25 |
| Horizontal well length, cm | 80 | Reservoir permeability, 10−3 µm2 | 3000 |
| Wellbore radius, cm | 6 | Steam temperature, °C | 130 |
| Steam injection rate, cm3/min | 40 | Steam injection time, min | 30 |
| Items | Values | Items | Values |
|---|---|---|---|
| Initial oil saturation | 0.75 | Initial water saturation | 0.25 |
| Initial reservoir pressure, MPa | 0.22 | Vertical permeability, (10−3 µm2) | 1890 |
| Initial reservoir temperature, °C | 10 | Horizontal permeability, (10−3 µm2) | 2700 |
| Initial oil density, kg/m3 | 1004.15 | Initial water density, kg/m3 | 1006.49 |
| Oil heat capacity, KJ/(kg·°C) | 2.2 | Water heat capacity, KJ/(kg·°C) | 4.2 |
| Rock heat conductivity coefficient, W/(m·°C) | 5.2 | Rock compressibility coefficient, MPa−1 | 0.002 |
| Water compressibility coefficient, MPa−1 | 5.21 × 10−4 | Oil compressibility coefficient, MPa−1 | 2.44 × 10−4 |
| Rock density, kg/m3 | 2060 | Horizontal well length, m | 850 |
| Δx, m | 10 | Number of blocks along x | 110 |
| Δy, m | 2 | Number of blocks along y | 55 |
| Δz, m | 1 | Number of blocks along z | 20 |
| Time step, day | 0.01 | Porosity | 0.33 |
| Outer diameter of the slotted liner, mm | 219.10 | Inner diameter of the slotted liner, mm | 201.20 |
| Items Schemes | Non-uniformity Coefficients | Uniformity Improvement Coefficients | |||||||
|---|---|---|---|---|---|---|---|---|---|
| Annulus Pressure, MPa | Steam Flux Rate, (m3·d−1·m−1) | Liquid Production Rate, (m3·d−1·m−1) | Height of Steam Chamber, m | Annulus Pressure, MPa | Steam Flux Rate, (m3·d−1·m−1) | Liquid Production Rate, (m3·d−1·m−1) | Height of Steam Chamber, m | ||
| Injector wellbore configuration | 0 m | 4.15 × 10−2 | 0.812 | 0.854 | 0.395 | − | − | − | − |
| 150 m | 2.86 × 10−2 | 0.692 | 0.774 | 0.318 | 31.08% | 14.78% | 9.37% | 19.49% | |
| 275 m | 13.54 × 10−2 | 0.815 | 0.947 | 0.432 | −226.27% | −0.37% | −10.89% | −9.37% | |
| 425 m | 37.14 × 10−2 | 1.074 | 1.552 | 0.487 | −794.94% | −32.27% | −81.73% | −23.29% | |
| Steam injection ratio | 35:75 | 8.03 × 10−2 | 0.866 | 0.981 | 0.491 | −93.49% | −6.65% | −14.87% | −2.29% |
| 55:55 | 4.15 × 10−2 | 0.812 | 0.854 | 0.480 | − | − | − | − | |
| 75:35 | 9.87 × 10−2 | 0.868 | 0.982 | 0.494 | −137.83% | −6.89% | −14.99% | −2.91% | |
| Injection time | 170 d | 4.15 × 10−2 | 0.812 | 0.854 | 0.394 | − | − | − | − |
| 190d | 7.17 × 10−2 | 0.889 | 0.898 | 0.444 | −72.77% | −9.18% | −5.15% | −12.69% | |
| 210 d | 9.90 × 10−2 | 0.960 | 0.969 | 0.510 | −138.55% | −18.23% | −13.47% | −29.44% | |
© 2020 by the authors. Licensee MDPI, Basel, Switzerland. This article is an open access article distributed under the terms and conditions of the Creative Commons Attribution (CC BY) license (http://creativecommons.org/licenses/by/4.0/).
Share and Cite
Li, P.; Zhang, Y.; Sun, X.; Chen, H.; Liu, Y. A Numerical Model for Investigating the Steam Conformance along the Dual-String Horizontal Wells in SAGD Operations. Energies 2020, 13, 3981. https://doi.org/10.3390/en13153981
Li P, Zhang Y, Sun X, Chen H, Liu Y. A Numerical Model for Investigating the Steam Conformance along the Dual-String Horizontal Wells in SAGD Operations. Energies. 2020; 13(15):3981. https://doi.org/10.3390/en13153981
Chicago/Turabian StyleLi, Peng, Yanyu Zhang, Xiaofei Sun, Huijuan Chen, and Yang Liu. 2020. "A Numerical Model for Investigating the Steam Conformance along the Dual-String Horizontal Wells in SAGD Operations" Energies 13, no. 15: 3981. https://doi.org/10.3390/en13153981
APA StyleLi, P., Zhang, Y., Sun, X., Chen, H., & Liu, Y. (2020). A Numerical Model for Investigating the Steam Conformance along the Dual-String Horizontal Wells in SAGD Operations. Energies, 13(15), 3981. https://doi.org/10.3390/en13153981

