A Constrained Non-Linear Model Predictive Controller for the Rotor Flux-Oriented Control of an Induction Motor Drive
Abstract
1. Introduction
2. Three Phase Induction Motor Model
2.1. Rotor Flux Control
2.2. Representation in the Continuous State-Space Model
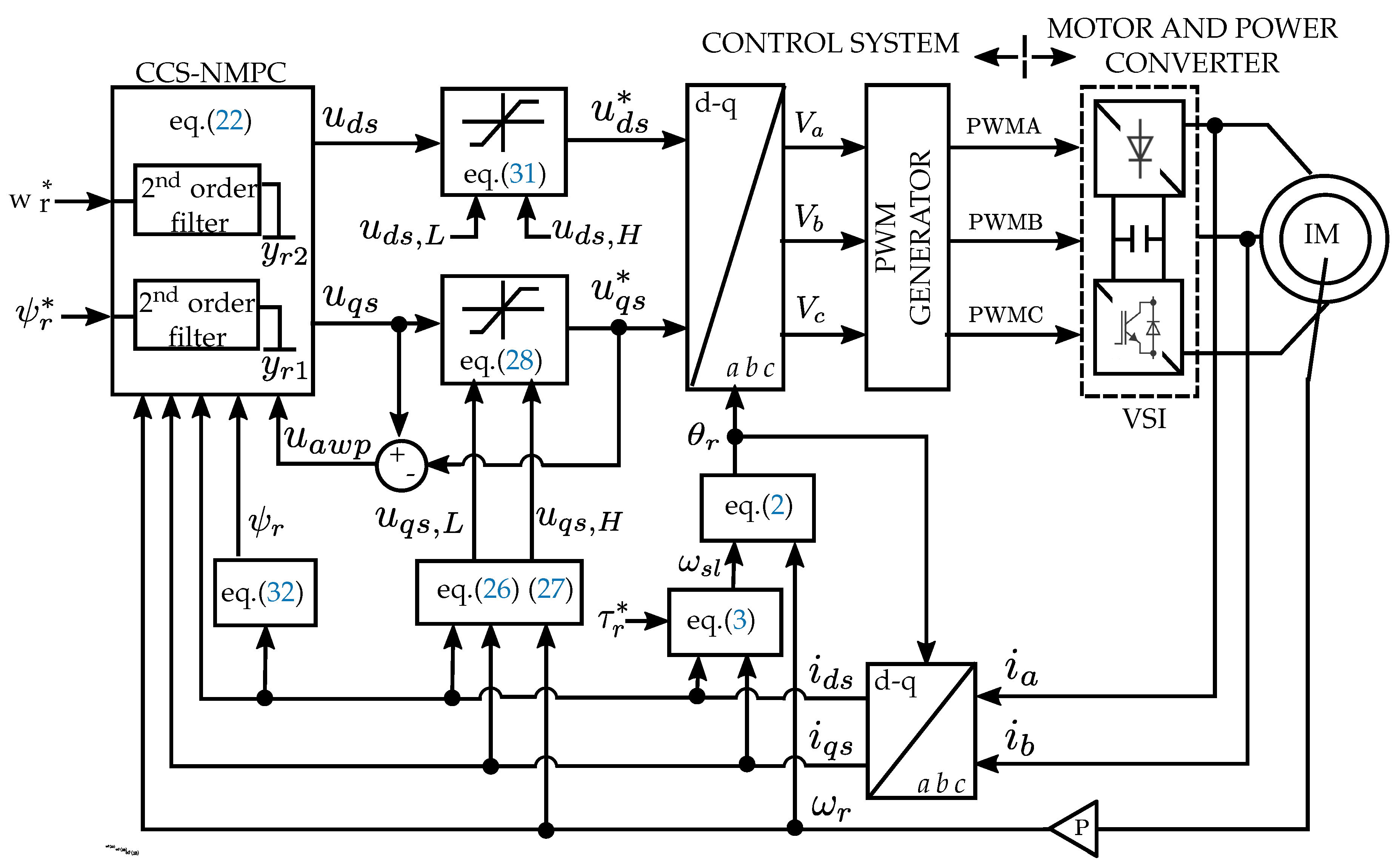
3. Formulation of the CCS-NMPC Algorithm
4. Constraining the State and Control Variables
5. Rotor Flux Estimation
6. Computer Simulation and Experimental Results
6.1. Computational Simulation
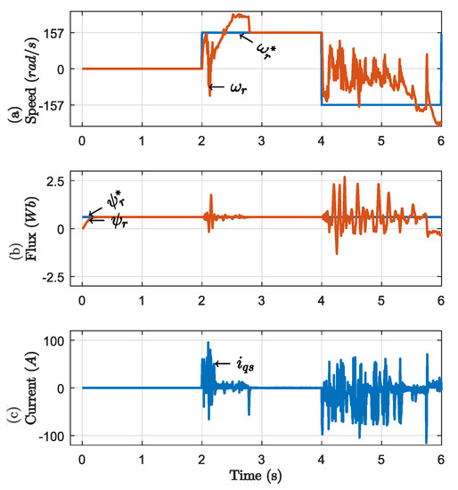
6.1.1. A Comparative Study
6.1.2. Analyses of the Proposed Controller
- (a)
- (b)
- The direct-axis rotor flux remained constant at its reference value, as was expected in a rotor flux orientation, despite the load changing, as shown in Figure 4c.
- (c)
- During transient periods (Figure 4d), the q-axis stator current did not exceed its limits, given by and .
- (d)
- Note in Figure 4e that during the transient, the voltage was limited by the boundary values and to ensure that the values of were within the allowed range.
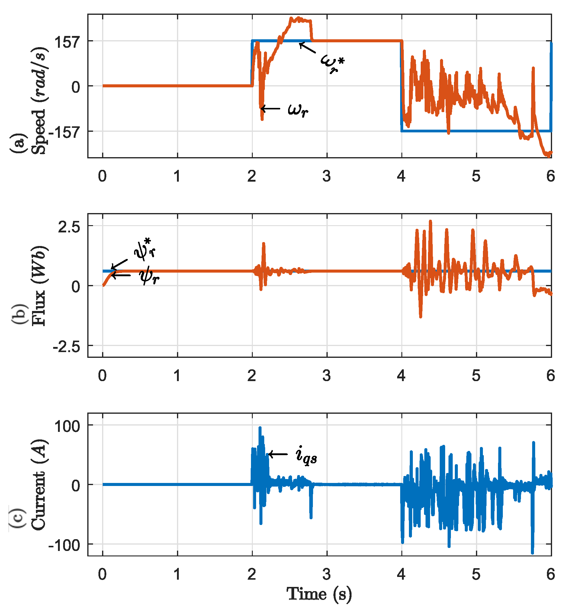
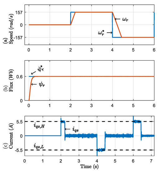
6.2. Experimental Results
6.2.1. Speed Step Response
6.2.2. Load Torque Step Response
6.2.3. Low Speed Operation
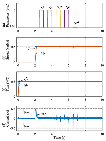
6.2.4. Parametric Incompatibility between the Controller and Motor Data
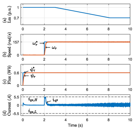
6.2.5. Sensitivity of Proposed Controller against Magnetizing Inductance
7. Conclusions
Author Contributions
Funding
Conflicts of Interest
Appendix A. Rated Motor Parameters
| Data | Value | Parameters | Value |
|---|---|---|---|
| Power | 2205 | b | N m s/ |
| Line Voltage | 380 | 0.00672 kg m | |
| Frequency | 60 Hz | ||
| Current | A | mH | |
| Torque | N m | ||
| Rotor Flux | mH | ||
| Speed | mH |
Appendix B. Experimental Test Bench

References
- Alonge, F.; Cirrincione, M.; D’Ippolito, F.; Pucci, M.; Sferlazza, A. Robust Active Disturbance Rejection Control of Induction Motor Systems Based on Additional Sliding Mode Component. IEEE Trans. Ind. Electron. 2017, 64, 5608–5621. [Google Scholar] [CrossRef]
- Shao, M.; Deng, Y.; Li, H.; Liu, J.; Fei, Q. Sliding Mode Observer-Based Parameter Identification and Disturbance Compensation for Optimizing the Mode Predictive Control of PMSM. Energies 2019, 12, 1857. [Google Scholar] [CrossRef]
- Rosa, F.C.; Lima, F.; Fumagalli, M.A.; Bim, E. Evolving fuzzy controller applied in indirect field oriented control of induction motor. In Proceedings of the 2016 IEEE International Conference on Industrial Technology, Taipei, Taiwan, 14–17 March 2016; pp. 1452–1457. [Google Scholar]
- Cirrincione, M.; Accetta, A.; Pucci, M.; Vitale, G. MRAS speed observer for high-performance linear induction motor drives based on linear neural networks. IEEE Trans. Power Electron. 2013, 28, 123–134. [Google Scholar] [CrossRef]
- De Marchi, R.A.; Bim, E. A Predictive Direct Power Control reproduced by an Artificial Neural Network controller. In Proceedings of the IECON 2016—42nd Annual Conference of the IEEE Industrial Electronics Society, Florence, Italy, 23–26 October 2016; pp. 1888–1893. [Google Scholar]
- De Marchi, R.A.; Dainez, P.S.; Von Zuben, F.J.; Bim, E. A multilayer perceptron controller applied to the direct power control of a doubly fed induction generator. IEEE Trans. Sustain. Energy 2014, 5, 498–506. [Google Scholar] [CrossRef]
- Karamanakos, P.; Geyer, T.; Oikonomou, N.; Kieferndorf, F.D.; Manias, S. Direct model predictive control: A review of strategies that achieve long prediction intervals for power electronics. IEEE Ind. Electron. Mag. 2014, 8, 32–43. [Google Scholar] [CrossRef]
- De Santana, E.S.; Bim, E.; do Amaral, W.C. A predictive algorithm for controlling speed and rotor flux of induction motor. IEEE Trans. Ind. Electron. 2008, 55, 4398–4407. [Google Scholar] [CrossRef]
- Lyu, M.; Wu, G.; Luo, D.; Rong, F.; Huang, S. Robust nonlinear predictive current control techniques for PMSM. Energies 2019, 12, 443. [Google Scholar] [CrossRef]
- Norambuena, M.; Garcia, C.; Rodriguez, J. The challenges of predictive control to reach acceptance in the power electronics industry. In Proceedings of the 7th Power Electronics and Drive Systems Technologies Conference, Tehran, Iran, 16–18 February 2016; pp. 636–640. [Google Scholar]
- Cortés, P.; Kazmierkowski, M.P.; Kennel, R.M.; Quevedo, D.E.; Rodríguez, J. Predictive control in power electronics and drives. IEEE Trans. Ind. Electron. 2008, 55, 4312–4324. [Google Scholar] [CrossRef]
- Rodriguez, J.; Kazmierkowski, M.P.; Espinoza, J.R.; Zanchetta, P.; Abu-Rub, H.; Young, H.A.; Rojas, C.A. State of the art of finite control set model predictive control in power electronics. IEEE Trans. Ind. Inform. 2013, 9, 1003–1016. [Google Scholar] [CrossRef]
- Vazquez, S.; Leon, J.I.; Franquelo, L.G.; Rodriguez, J.; Young, H.A.; Marquez, A.; Zanchetta, P. Model predictive control: A review of its applications in power electronics. IEEE Ind. Electron. Mag. 2014, 8, 16–31. [Google Scholar] [CrossRef]
- Vazquez, S.; Rodriguez, J.; Rivera, M.; Franquelo, L.G.; Norambuena, M. Model Predictive Control for Power Converters and Drives: Advances and Trends. IEEE Trans. Ind. Electron. 2016, 64, 935–947. [Google Scholar] [CrossRef]
- Zhang, Y.; Xia, B.; Yang, H. Performance evaluation of an improved model predictive control with field oriented control as a benchmark. IET Electr. Power Appl. 2017, 11, 677–687. [Google Scholar] [CrossRef]
- Preindl, M.; Bolognani, S. Model Predictive Direct Speed Control with Finite Control Set of PMSM Drive Systems. IEEE Trans. Power Electron. 2012, 28, 1007–1015. [Google Scholar] [CrossRef]
- Xia, C.; Zhou, Z.; Wang, Z.; Yan, Y.; Shi, T. Computationally efficient multi-step direct predictive torque control for surface-mounted permanent magnet synchronous motor. IET Electr. Power Appl. 2017, 11, 805–814. [Google Scholar] [CrossRef]
- Bolognani, S.; Bolognani, S.; Peretti, L.; Zigliotto, M. Design and implementation of model predictive control for electrical motor drives. IEEE Trans. Ind. Electron. 2009, 56, 1925–1936. [Google Scholar] [CrossRef]
- Hedjar, R.; Boucher, P.; Dumur, D. Robust nonlinear receding-horizon control of induction motors. Int. J. Electr. Power Energy Syst. 2013, 46, 353–365. [Google Scholar] [CrossRef]
- Errouissi, R.; Ouhrouche, M.; Chen, W.H.; Trzynadlowski, A.M. Robust nonlinear predictive controller for permanent-magnet synchronous motors with an optimized cost function. IEEE Trans. Ind. Electron. 2012, 59, 2849–2858. [Google Scholar] [CrossRef]
- Merabet, A. Nonlinear Model Predictive Control for Induction Motor Drive; INTECH Open Access Publisher: London, UK, 2012. [Google Scholar]
- Merabet, A.; Ouhrouche, M.; Bui, R.T. Nonlinear predictive control with disturbance observer for induction motor drive. In Proceedings of the 2006 IEEE International Symposium on Industrial Electronics, Montreal, QC, Canada, 9–13 July 2006; Volume 1, pp. 86–91. [Google Scholar]
- Errouissi, R.; Ouhrouche, M. Nonlinear predictive controller for a permanent magnet synchronous motor drive. Math. Comput. Simul. 2010, 81, 394–406. [Google Scholar] [CrossRef]
- Errouissi, R.; Ouhrouche, M.; Chen, W.H. Robust nonlinear predictive control of a permanent magnet synchronous motor. In Proceedings of the IECON 2012—38th Annual Conference of IEEE Industrial Electronics Society, Montreal, QC, Canada, 25–28 October 2012; pp. 5057–5064. [Google Scholar]
- Errouissi, R.; Ouhrouche, M.; Chen, W.H. Robust nonlinear generalized predictive control of a permanent magnet synchronous motor with an anti-windup compensator. In Proceedings of the 2010 IEEE International Symposium on Industrial Electronics (ISIE), Bari, Italy, 4–7 July 2010; pp. 3184–3189. [Google Scholar]
- Errouissi, R.; Al-Durra, A.; Muyeen, S.; Leng, S. Continuous-time model predictive control of a permanent magnet synchronous motor drive with disturbance decoupling. IET Electr. Power Appl. 2017, 11, 697–706. [Google Scholar] [CrossRef]
- Sawma, J.; Khatounian, F.; Monmasson, E.; Idkhajine, L.; Ghosn, R. Analysis of the impact of online identification on model predictive current control applied to permanent magnet synchronous motors. IET Electr. Power Appl. 2017, 11, 864–873. [Google Scholar] [CrossRef]
- Chen, Z.; Qiu, J.; Jin, M. Adaptive finite-control-set model predictive current control for IPMSM drives with inductance variation. IET Electr. Power Appl. 2017, 11, 874–884. [Google Scholar] [CrossRef]
- Errouissi, R.; Al-Durra, A.; Muyeen, S.; Leng, S.; Blaabjerg, F. Offset-free Direct Power Control of DFIG Under Continuous-Time Model Predictive Control. IEEE Trans. Power Electron. 2016, 32, 2265–2277. [Google Scholar] [CrossRef]
- Tarczewski, T.; Grzesiak, L.M. Constrained state feedback speed control of PMSM based on model predictive approach. IEEE Trans. Ind. Electron. 2016, 63, 3867–3875. [Google Scholar] [CrossRef]
- Chen, W.H.; Ballance, D.J.; Gawthrop, P.J.; Gribble, J.J.; O’Reilly, J. Nonlinear PID predictive controller. IEEE Proc. Control Theory Appl. 1999, 146, 603–611. [Google Scholar] [CrossRef]
- Slotine, J.J.E.; Li, W. Applied Nonlinear Control; Prentice Hall: Englewood Cliffs, NJ, USA, 1991; Volume 199. [Google Scholar]
- Isidori, A. Nonlinear Control Systems; Communications and Control Engineering; Springer: Berlin, Germany, 1995. [Google Scholar] [CrossRef]
- Shin, H.B.; Park, J.G. Anti-windup PID controller with integral state predictor for variable-speed motor drives. IEEE Trans. Ind. Electron. 2012, 59, 1509–1516. [Google Scholar] [CrossRef]
- Choi, J.W.; Lee, S.C. Antiwindup strategy for PI-type speed controller. IEEE Trans. Ind. Electron. 2009, 56, 2039–2046. [Google Scholar] [CrossRef]











© 2020 by the authors. Licensee MDPI, Basel, Switzerland. This article is an open access article distributed under the terms and conditions of the Creative Commons Attribution (CC BY) license (http://creativecommons.org/licenses/by/4.0/).
Share and Cite
Rosa, F.C.; Bim, E. A Constrained Non-Linear Model Predictive Controller for the Rotor Flux-Oriented Control of an Induction Motor Drive. Energies 2020, 13, 3899. https://doi.org/10.3390/en13153899
Rosa FC, Bim E. A Constrained Non-Linear Model Predictive Controller for the Rotor Flux-Oriented Control of an Induction Motor Drive. Energies. 2020; 13(15):3899. https://doi.org/10.3390/en13153899
Chicago/Turabian StyleRosa, Fabiano C., and Edson Bim. 2020. "A Constrained Non-Linear Model Predictive Controller for the Rotor Flux-Oriented Control of an Induction Motor Drive" Energies 13, no. 15: 3899. https://doi.org/10.3390/en13153899
APA StyleRosa, F. C., & Bim, E. (2020). A Constrained Non-Linear Model Predictive Controller for the Rotor Flux-Oriented Control of an Induction Motor Drive. Energies, 13(15), 3899. https://doi.org/10.3390/en13153899

