Modeling and Stability Analysis of Weak-Grid Tied Multi-DFIGs in DC-Link Voltage Control Timescale
Abstract
1. Introduction
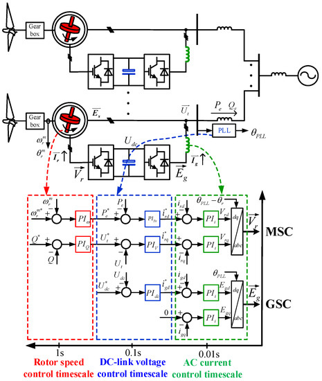
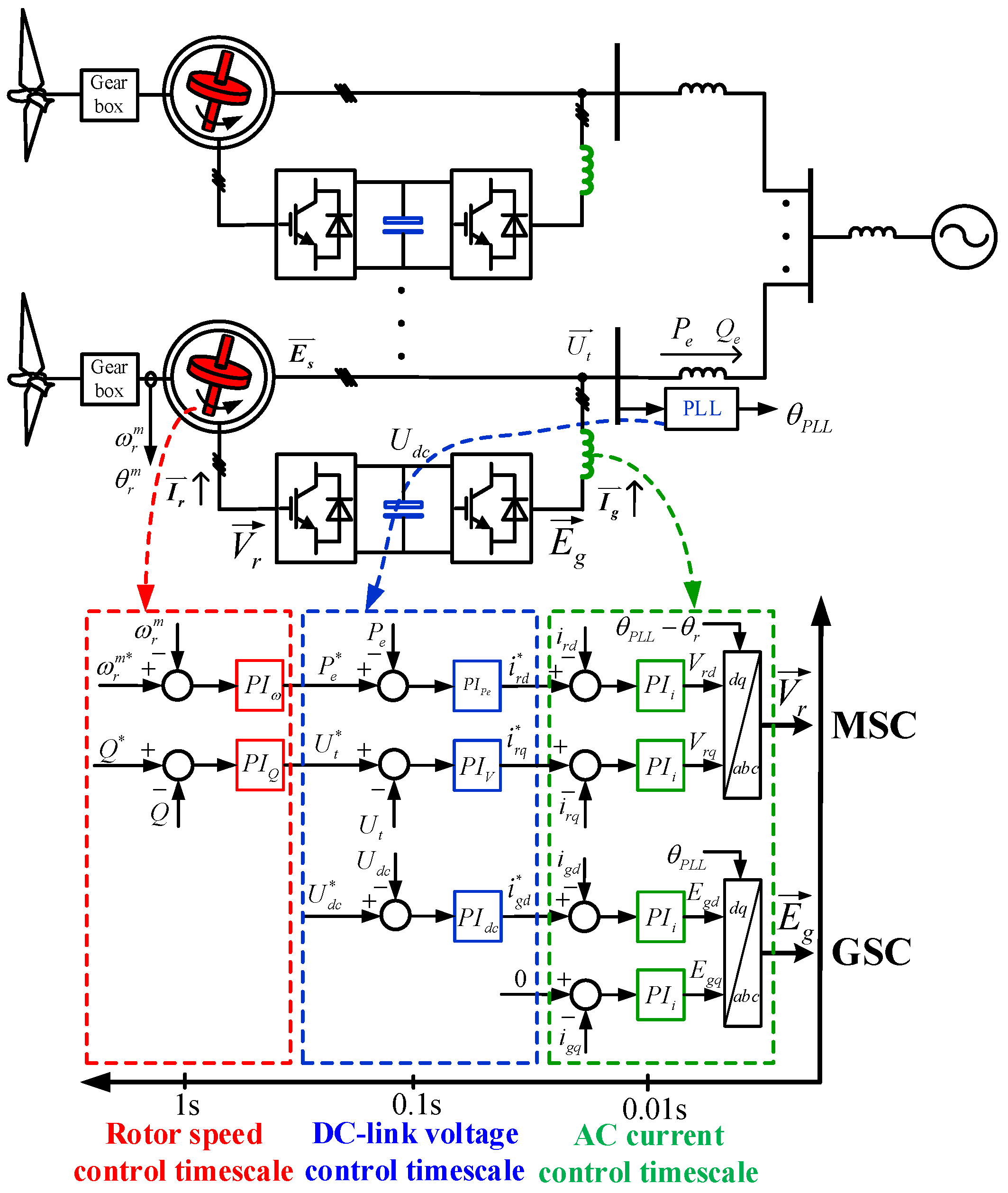
2. Dynamic Interactions for Multi-DFIGs in DC-Link Voltage Control Timescale
2.1. DC-Link Voltage Control Timescale Dynamics of DFIGs
2.2. DC-Link Voltage Control Timescale Interactions of Multi DFIGs in Weak Grid Condition
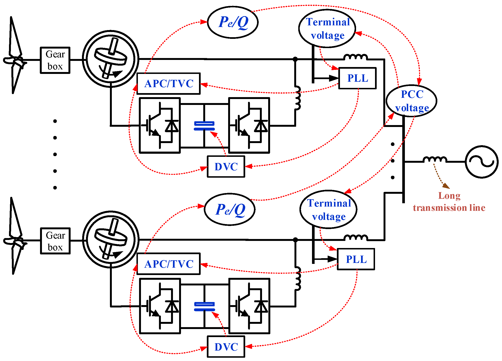
3. Modeling of Multi DFIGs Connected to Grid
- (1)
- Both the stator and rotor windings of the generator adopt the motor convention. The fast flux dynamics are ignored, and an algebraic generator model is utilized;
- (2)
- The fast dynamic processes of the RSC and GSC’s inner current loops are neglected;
- (3)
- As the mechanical rotor speed control of wind turbines is much slower than the converter control dynamics, its output power reference (see Figure 1) is assumed to be constant;
- (4)
- The system is lossless.
4. Stability Analysis of Multi DFIGs Connected to Weak Grids
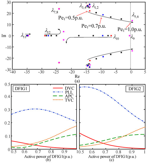
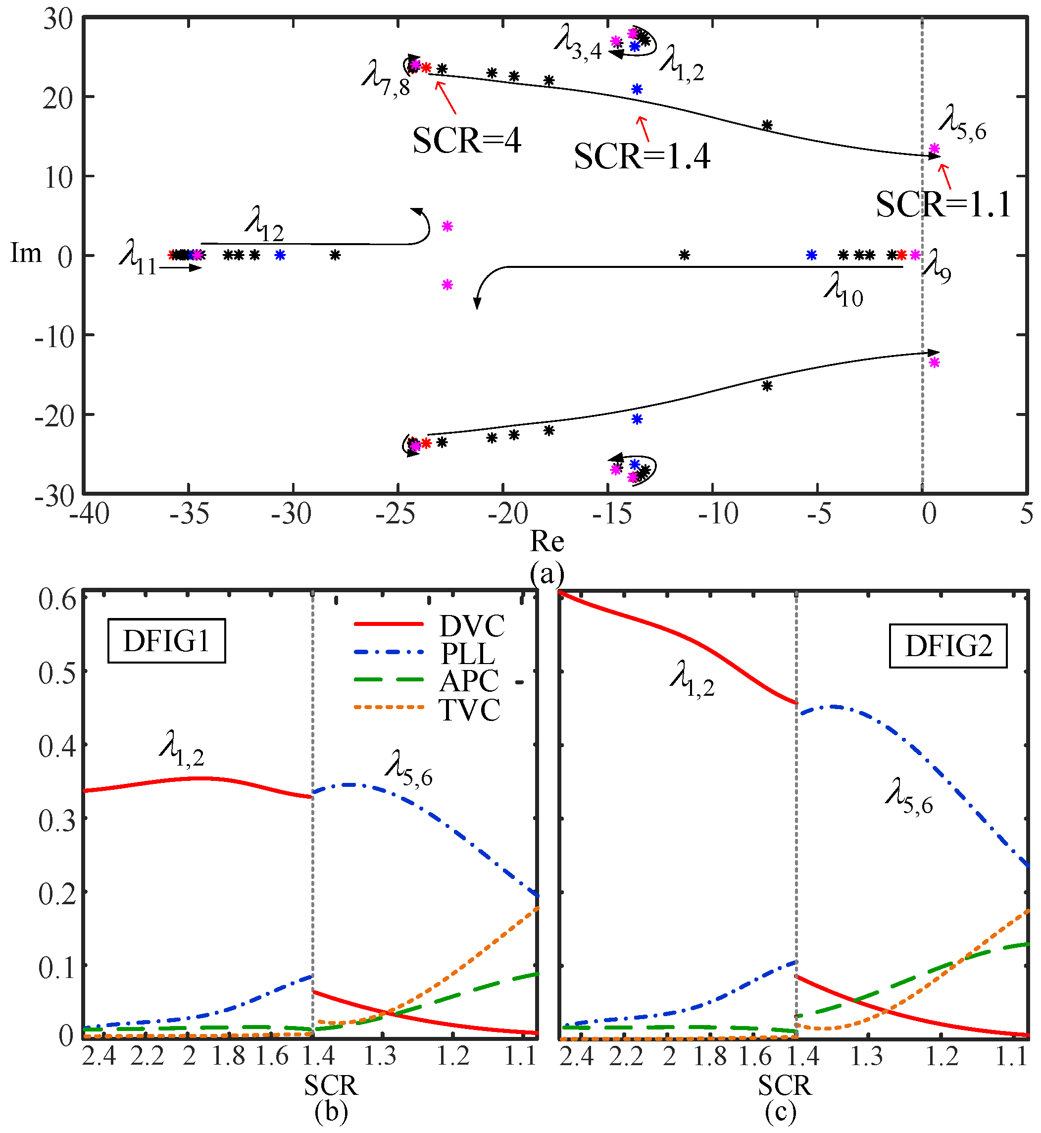
4.1. Eigenvalue and Participation Factor Analysis
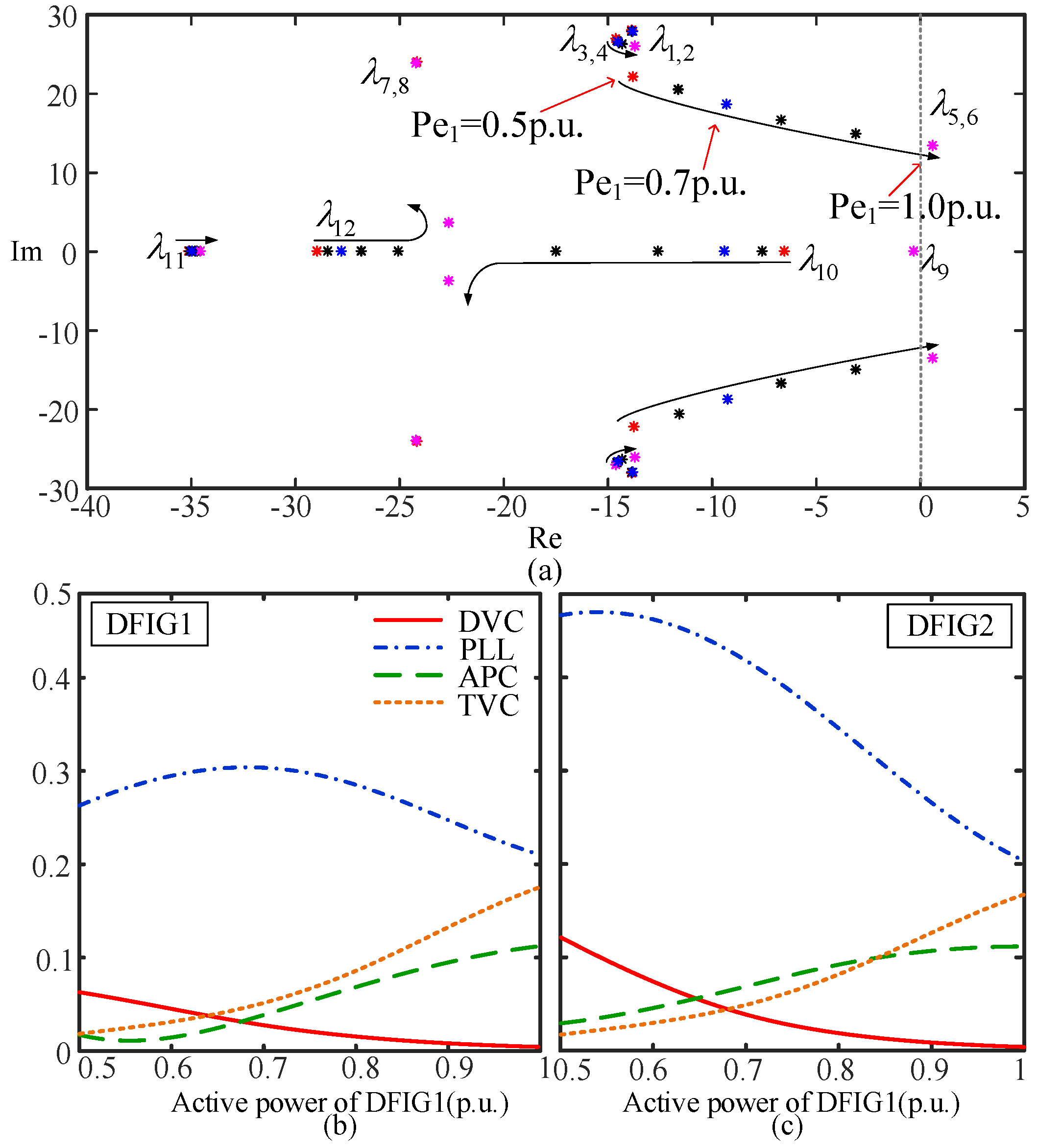
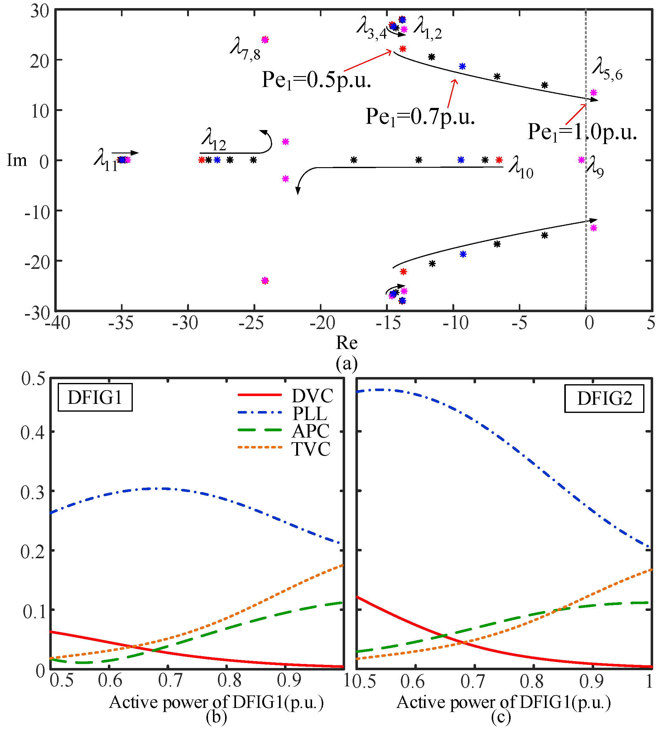
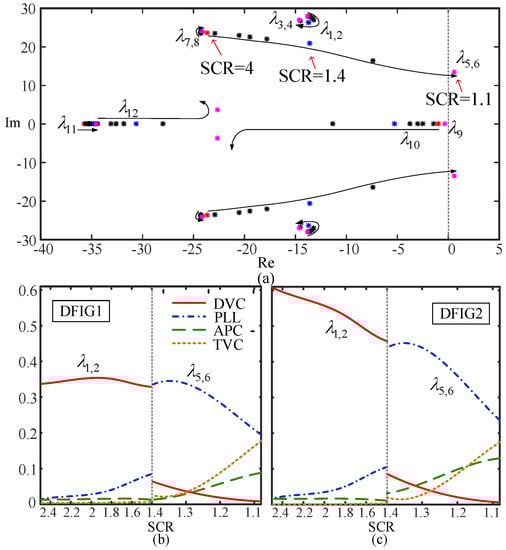
4.2. Effect of Grid Strengths
4.3. Effect of Operating Points
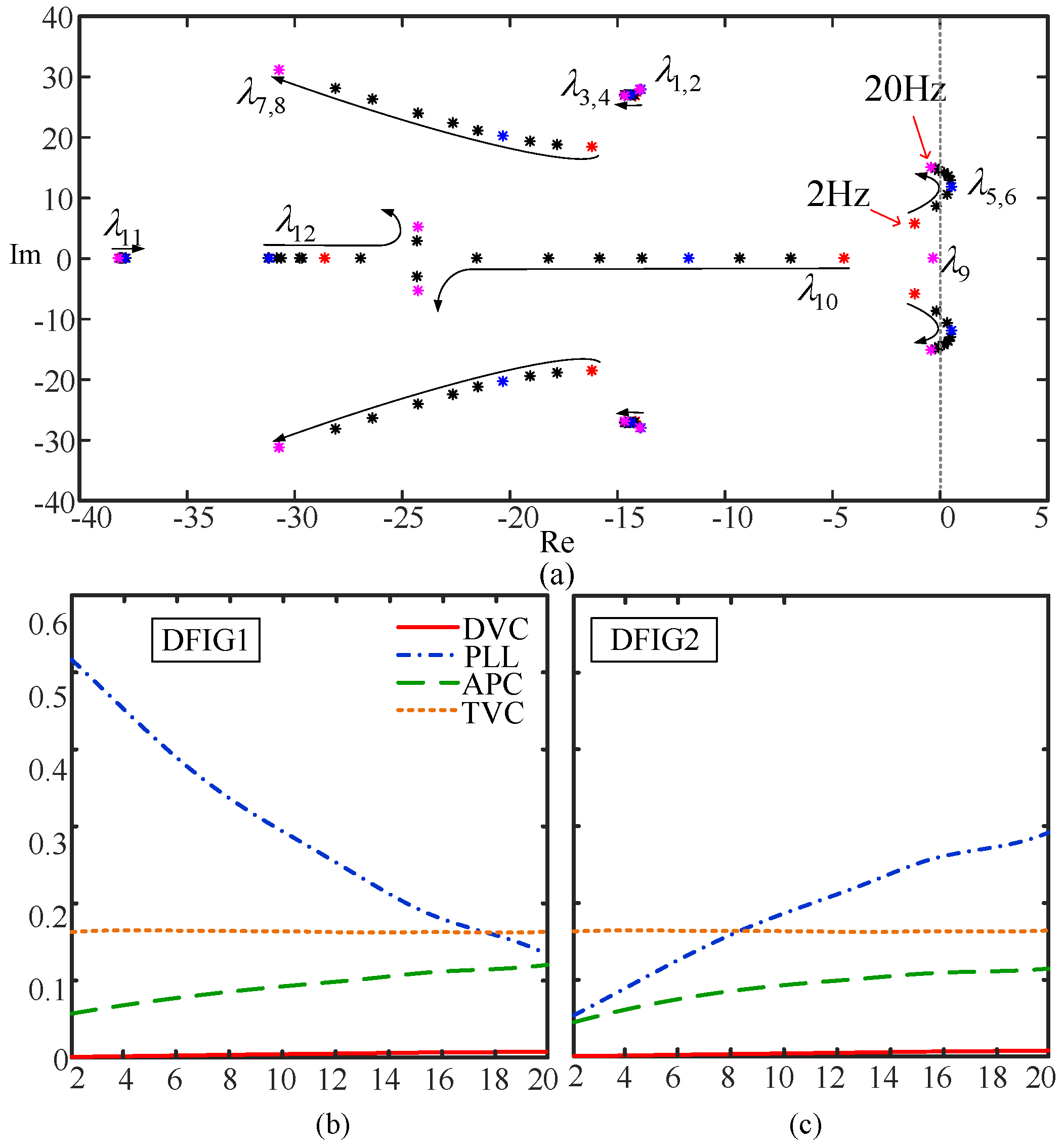
4.4. Effect of PLL Bandwidths
5. Simulation Validations
6. Conclusions
- For a relatively strong grid, the system’s dominant mode is highly participated in by the DVC, and this mode is hardly affected by other controls and grid strength variations. However, in very weak grids, the PLL-related mode becomes dominant, and has the risk of instability;
- The damping of the dominant mode for a multi-DFIG system under weak grid condition is reduced with the decline of the grid’s strength or the increase of the DFIG’s power outputs.
- In ultra-weak grid conditions, the stability of a two-DFIG system gets worse when the bandwidths of the PLLs of the two DFIGs are close, reaching a condition of near modal resonance. In contrast, to improve system stability, the bandwidths of the PLLs in different wind generators should be separated.
Author Contributions
Funding
Conflicts of Interest
Nomenclature
| Pe | Active power output of a DFIG |
| DVC | DC-link voltage control |
| APC, TVC | Active power control, terminal voltage control |
| RSC, GSC | Rotor side converter and grid side converter |
| Pr, Pc | DFIG RSC and GSC active power outputs |
| Uc, θc | VSC internal voltage (the voltage behind the filter) magnitude and phase |
| Ut, θt | DFIG terminal voltage magnitude and phase angle |
| Mechanical rotor angular frequency | |
| ωr, ω1 | Electrical rotor angular frequency, synchronous angular frequency |
| sr | =(ω1 − ωr)/ω1, Slip ratio |
| Ug | Infinite bus voltage magnitude |
| Ic | Current of the gird side converter |
| Is, Ir | Stator current and rotor current |
| θpll | PLL output angle |
| Udc | DC-link voltage |
| C | DC-link capacitance |
| Xg | Transmission line impedance |
| Xs, Xr, Xm | The equivalent reactance of stator winding and rotor winding and their mutual inductance |
| , | Proportion coefficient and integral coefficient of DC-link voltage controller |
| , | Proportion coefficient and integral coefficient of PLL |
| , | Proportion coefficient and integral coefficient of terminal voltage controller |
| , | Proportion coefficient and integral coefficient of active power controller |
| Subscripts: | |
| * | Reference value |
| pm | Phase-locked loop coordinate system for the m-th DFIG |
| sm | Synchronous rotating coordinate system for the m-th DFIG |
| Subscripts: | |
| d, q | Rotating reference frame d-axis and q-axis components |
| n | The total number of wind turbines |
| m | The sequence number of DFIGs |
Appendix A
| Pbase = 2 MW | Ubase = Ustator_base = 690 V (Line to line rms value) | ||
| ωbase = 2 πfbase | fbase = 50 Hz | Rs = 0.022 p.u. | Rr = 0.009 p.u. |
| Lls = 0.171 p.u. | Llr = 0.156 p.u. | Lm = 3.9 p.u. | Lc = 0.3 p.u. |
| Udcref = 1200 V | C = 0.047 F | Ug = 1 p.u. | Rg = 0.1 ω1 Lg |
| RSC active power control | ||
| RSC terminal voltage control | ||
| DC-link voltage control | ||
| Phase-locked loop |
References
- Muller, S.; Deicke, M.; De Doncker, R.W. Doubly fed induction generator systems for wind turbines. IEEE Ind. Appl. Mag. 2002, 8, 26–33. [Google Scholar] [CrossRef]
- Zhao, M.; Yuan, X.; Hu, J.; Yan, Y. Voltage dynamics of current control time-scale in a VSC-connected weak grid. IEEE Trans. Power Syst. 2016, 31, 2925–2937. [Google Scholar] [CrossRef]
- Piwko, R.; Miller, M.; Sanchez-Gasca, J.; Yuan, X.; Dai, R.; Lyons, J. Integrating large wind farms into weak power grids with long transmission lines. In Proceedings of the IEEE/PES Transmission and Distribution Conference & Exhibition: Asia and Pacific, Dalian, China, 18 August 2005; pp. 1–7. [Google Scholar]
- Gautam, D.; Vittal, V.; Harbour, T. Impact of increased penetration of DFIG-based wind turbine generators on transient and small signal stability of power systems. IEEE Trans. Power Syst. 2009, 24, 1426–1434. [Google Scholar] [CrossRef]
- Amin, M.; Molinas, M.; Lyu, J. Oscillatory phenomena between wind farms and HVDC systems: The impact of control. In Proceedings of the IEEE 16th Workshop on Control and Modeling for Power Electronics (COMPEL), Vancouver, BC, Canada, 12–15 July 2015; pp. 1–8. [Google Scholar]
- Lv, J.; Dong, P.; Shi, G. Subsynchronous oscillation of large DFIG-based wind farms integration through MMC-based HVDC. In Proceedings of the 2014 International Conference on Power System Technology, Chengdu, China, 20–22 October 2014; pp. 2401–2408. [Google Scholar]
- Adams, J.; Carter, C.; Huang, S. ERCOT experience with sub-synchronous control interaction and proposed remediation. In Proceedings of the IEEE PES Transmission and Distribution Conference and Exposition (T&D), Orlando, FL, USA, 7–10 May 2012; pp. 1–5. [Google Scholar]
- Wang, L.; Xie, X.; Jiang, Q.; Liu, H.; Li, Y.; Liu, H. Investigation of SSR in practical DFIG-based wind farms connected to a series-compensated power system. IEEE Trans. Power Syst. 2015, 30, 2772–2779. [Google Scholar] [CrossRef]
- Xie, X.; Zhang, X.; Liu, H.; Li, Y.; Zhang, C. Characteristic analysis of subsynchronous resonance in practical wind farms connected to series-compensated transmissions. IEEE Trans. Energy Convers. 2017, 32, 1117–1126. [Google Scholar] [CrossRef]
- Huang, Y.; Yuan, X.; Hu, J.; Zhou, P. Modeling of VSC connected to weak grid for stability analysis of DC-link voltage control. IEEE J. Emerg. Sel. Top. Power Electron. 2015, 3, 1193–1204. [Google Scholar] [CrossRef]
- Hu, J.; Huang, Y.; Wang, D.; Yuan, H.; Yuan, X. Modeling of grid-connected DFIG-based wind turbines for DC-link voltage stability analysis. IEEE Trans. Sustain. Energy 2015, 6, 1325–1336. [Google Scholar] [CrossRef]
- Zheng, W.; Hu, J.; Yuan, X. Modeling of VSCs considering input and output active power dynamics for multi-terminal HVDC interaction analysis in DC voltage control timescale. IEEE Trans. Energy Convers. 2019, 34, 2008–2018. [Google Scholar] [CrossRef]
- Huang, Y.; Zhai, X.; Hu, J.; Liu, D.; Lin, C. Modeling and stability analysis of VSC internal voltage in DC-link voltage control time scale. IEEE J. Emerg. Sel. Top. Power Electron. 2018, 6, 16–28. [Google Scholar] [CrossRef]
- Yuan, H.; Yuan, X.; Hu, J. Modeling of grid-connected VSCs for power system small-signal stability analysis in DC-link voltage control timescale. IEEE Trans. Power Syst. 2017, 32, 3981–3991. [Google Scholar] [CrossRef]
- Hu, J.; Yuan, H.; Yuan, X. Modeling of DFIG-based WTs for small-signal stability analysis in DVC timescale in power electronized power systems. IEEE Trans. Energy Convers. 2017, 32, 1151–1165. [Google Scholar] [CrossRef]
- Wang, D.; Hou, Y.; Hu, J. Stability of DC-link voltage control for paralleled DFIG-based wind turbines connected to weak AC grids. In Proceedings of the 2016 IEEE Power and Energy Society General Meeting (PESGM), Boston, MA, USA, 17–21 July 2016; pp. 1–5. [Google Scholar]
- Kubasiak, N.; Mercorelli, P.; Liu, S. Model predictive control of transistor pulse converter for feeding electromagnetic valve actuator with energy storage. In Proceedings of the 44th IEEE Conference on Decision and Control, Seville, Spain, 15 December 2005; pp. 1–6. [Google Scholar]
- Harnefors, L.; Rahman, F.M.M.; Hinkkanen, M.; Routimo, M. Reference-feedforward power-synchronization control. IEEE Trans. Power Electron. 2020, 35, 8878–8881. [Google Scholar] [CrossRef]
- Fang, J.; Lin, P.; Li, H.; Yang, Y.; Tang, Y. An improved virtual inertia control for three-phase voltage source converters connected to a weak grid. IEEE Trans. Power Electron. 2019, 34, 8660–8670. [Google Scholar] [CrossRef]
- Teodorescu, R.; Liserre, M.; Rodriguez, P. Grid Converters for Photovoltaic and Wind Power Systems; Wiley IEEE Press: Piscataway, NJ, USA, 2011. [Google Scholar]
- Harnefors, L.; Bongiorno, M.; Lundberg, S. Input-admittance calculation and shaping for controlled voltage-source converters. IEEE Trans. Ind. Electron. 2007, 54, 3323–3334. [Google Scholar] [CrossRef]
- Clark, K.; Miller, N.M.; Sanchez-Gasca, J.J. Modeling of GE Wind Turbine-Generator for Grid Studies, Version 4.5; General Electric International, Inc.: Schenectady, NY, USA, 2010. [Google Scholar]
- IEEE guide for planning DC links terminating at AC locations having low short-circuit capacities. In IEEE Standard 1204–1997; IEEE: New York City, NY, USA, 1997.
- Diedrichs, V.; Beekmann, A.; Nikolai, S.; Adloff, S.; Busker, K. Control of wind power plants utilizing voltage source converter in high impedance grids. In Proceedings of the 2012 IEEE Power and Energy Society General Meeting, San Diego, CA, USA, 22–26 July 2012; pp. 1–9. [Google Scholar]
- Talarico, C.; D’Amato, G.; Coviello, G.; Avitabile, G. A high precision phase control unit for DDS-based PLLs for 2.4-GHz ISM band applications. In Proceedings of the 2015 IEEE 58th International Midwest Symposium on Circuits and Systems (MWSCAS), Fort Collins, CO, USA, 2–5 August 2015; pp. 1–4. [Google Scholar]
- Thacker, T.; Boroyevich, D.; Burgos, R.; Wang, F. Phase-locked loop noise reduction via phase detector implementation for single phase systems. IEEE Trans. Ind. Electron. 2011, 58, 2482–2490. [Google Scholar] [CrossRef]
- Kundur, P. Power System Stability and Control; The EPRI Power System Engineering Series; McGraw-Hill: New York, NY, USA, 1994. [Google Scholar]
- Wind Farm-DFIG Detailed Model, MATLAB Simulink. Available online: https://uk.mathworks.com/help/physmod/sps/examples/wind-farm-dfig-detailed-model.html (accessed on 8 October 2019).
- Dobson, I.; Zhang, J.; Greene, S.; Engdahl, H.; Sauer, P.W. Is strong modal resonance a precursor to power system oscillations? IEEE Trans. Circuits Syst. 2001, 48, 340–349. [Google Scholar] [CrossRef]
- Du, W.; Chen, X.; Wang, H.F. PLL-induced modal resonance of grid-connected PMSGs with the power system electromechanical oscillation. IEEE Trans. Sustain. Energy 2017, 8, 1581–1591. [Google Scholar] [CrossRef]










© 2020 by the authors. Licensee MDPI, Basel, Switzerland. This article is an open access article distributed under the terms and conditions of the Creative Commons Attribution (CC BY) license (http://creativecommons.org/licenses/by/4.0/).
Share and Cite
Wang, D.; Chen, H.; Huang, Y.; Deng, X.; Zhu, G. Modeling and Stability Analysis of Weak-Grid Tied Multi-DFIGs in DC-Link Voltage Control Timescale. Energies 2020, 13, 3689. https://doi.org/10.3390/en13143689
Wang D, Chen H, Huang Y, Deng X, Zhu G. Modeling and Stability Analysis of Weak-Grid Tied Multi-DFIGs in DC-Link Voltage Control Timescale. Energies. 2020; 13(14):3689. https://doi.org/10.3390/en13143689
Chicago/Turabian StyleWang, Dong, Houquan Chen, Yunhui Huang, Xiangtian Deng, and Guorong Zhu. 2020. "Modeling and Stability Analysis of Weak-Grid Tied Multi-DFIGs in DC-Link Voltage Control Timescale" Energies 13, no. 14: 3689. https://doi.org/10.3390/en13143689
APA StyleWang, D., Chen, H., Huang, Y., Deng, X., & Zhu, G. (2020). Modeling and Stability Analysis of Weak-Grid Tied Multi-DFIGs in DC-Link Voltage Control Timescale. Energies, 13(14), 3689. https://doi.org/10.3390/en13143689

