On the Wind Energy Resource above High-Rise Buildings
Abstract
1. Introduction
- The understanding of the turbulent flow around buildings;
- The aerodynamic response of wind turbines under turbulent flow structures;
- The enhancement of wind energy harvesting through the shape of buildings;
- The social acceptance issues, including aesthetics, noise, maintenance costs and other non-technical issues.
2. Experimental Setup
2.1. Wind Tunnel Tests
2.2. High-Rise Building Model
2.3. Velocity Profile
3. Wind Energy Resource
3.1. Flow Pattern
3.2. Mean Wind Speed
3.2.1. Windward and Leeward Corners
3.2.2. Centre, Windward, and Leeward Edges
3.3. Skew Angle
3.3.1. Windward and Leeward Corners
3.3.2. Centre, Windward, and Leeward Edges
3.4. Turbulence Intensity
3.4.1. Windward and Leeward Corners
3.4.2. Centre, Windward, and Leeward Edges
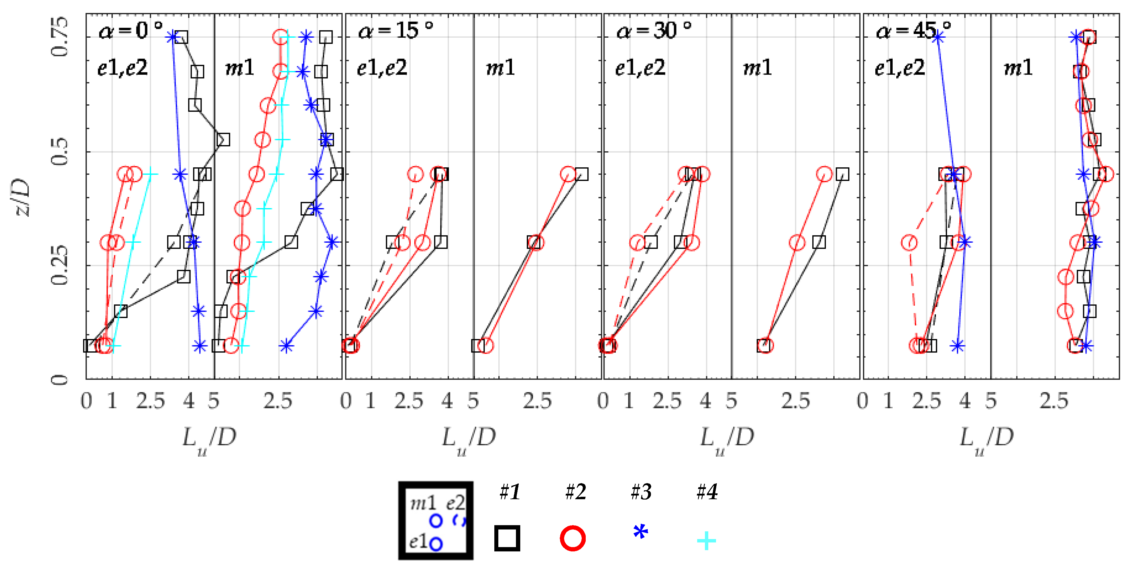
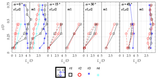
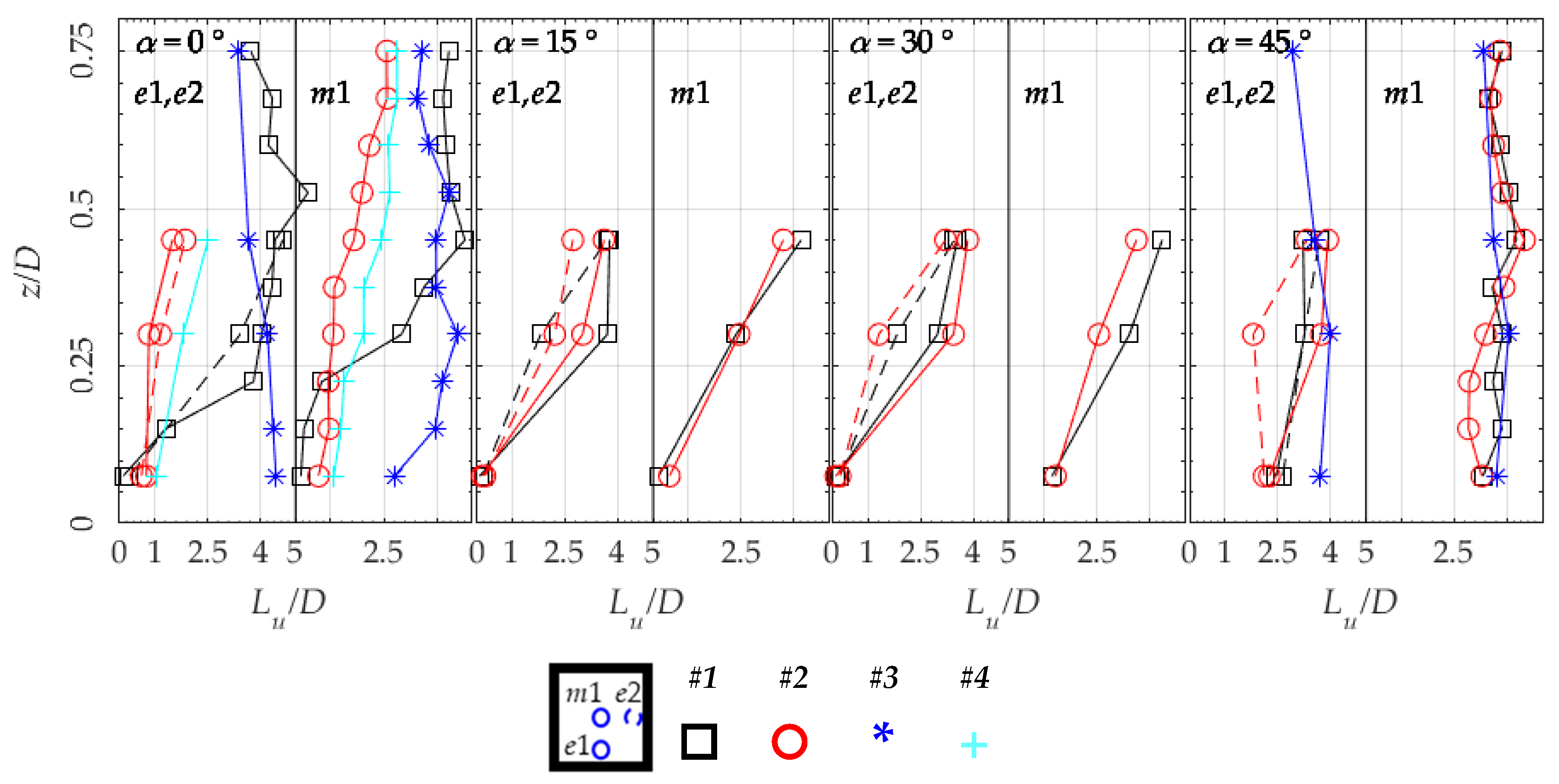
3.5. Integral Length Scale
3.5.1. Windward and Leeward Corners
3.5.2. Centre, Windward, and Leeward Edges
3.6. Energy Spectra
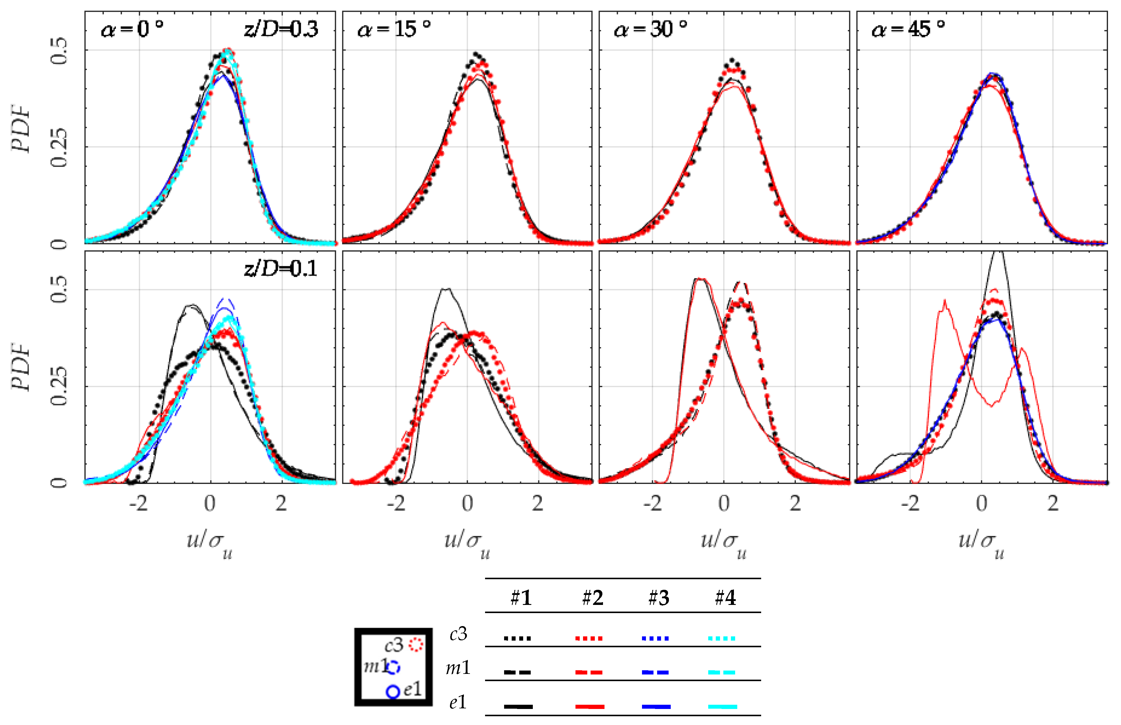
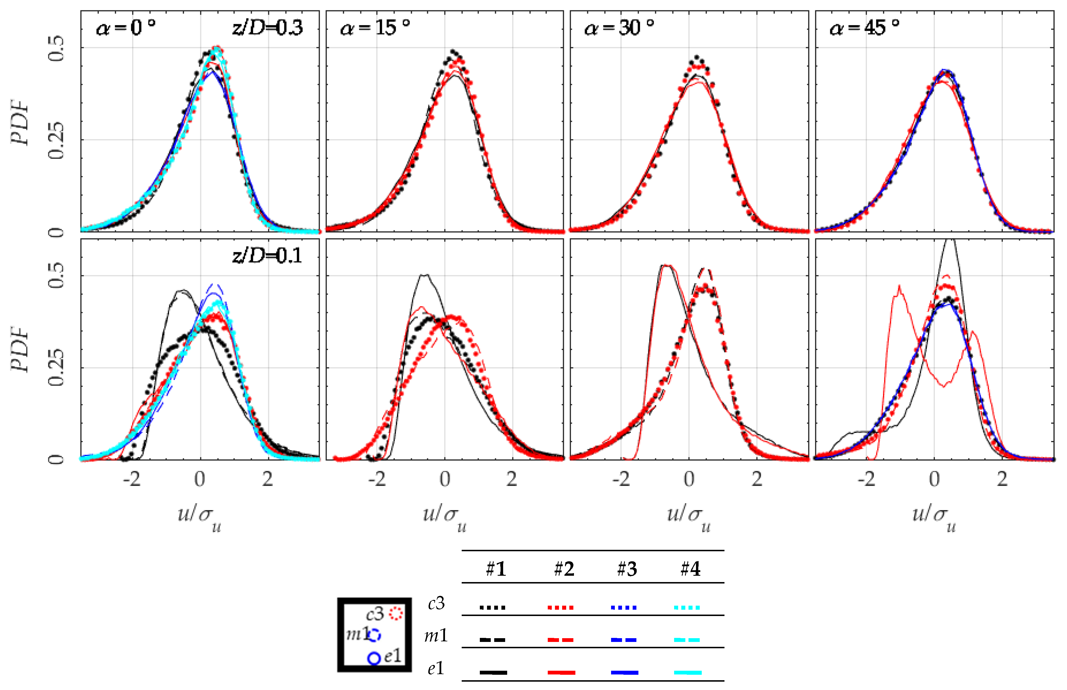
4. Probability Distribution Function
Quadrant Analysis
5. Wind Energy Density
6. Conclusions
- A region close to the roof surface z/D = 0.1 where turbulence is exclusively affected by the building itself. In this region, the wind speed is relatively low in magnitude and dominated by separated flow, while the turbulence intensity is at its highest (>20–30%). The integral length scale is also smaller than the characteristic size of the high-rise building, with increased isotropy. In this region, the experimental results from hotwire anemometry might be misleading due to the insensitiveness to reversed flow conditions which characterises the flow field. Weibull parameters in this region diverge from those found in the atmospheric wind profile.
- A region of highly sheared flow at z/D~0.3–0.4. The position and extent of this region varies with the wind direction and configuration of the building. The velocity is weakly accelerated and combined with relatively low turbulence intensity Iu~15%. The Weibull distribution is analogous to the atmospheric flow with a shape factor k~8–9.
- A region of accelerated flow, which is highly influenced by the atmospheric wind profile at z/D~0.45. Both mean wind speed and turbulence are analogous to the inflow, U~Uref and Iu~12%, having integral and microscales comparable to atmospheric boundary layer values.
Author Contributions
Funding
Conflicts of Interest
References
- Stathopoulos, T.; Alrawashdeh, H. Urban Wind Energy: A Wind Engineering and Wind Energy Cross-Roads; Springer: Cham, Switzerland, 2019; pp. 3–16. [Google Scholar]
- Micallef, D.; van Bussel, G. A Review of Urban Wind Energy Research: Aerodynamics and Other Challenges. Energies 2018, 11, 2204. [Google Scholar] [CrossRef]
- Fuglsang, P.; Bak, C.; Schepers, J.G.; Bulder, B.H.; Cockerill, T.; Claiden, P.; Olesen, A.; van Rossen, R. Site-specific Design Optimization of Wind Turbines. Wind Energy 2002, 5, 261–279. [Google Scholar] [CrossRef]
- Bontempo, R.; Manna, M. The axial momentum theory as applied to wind turbines: Some exact solutions of the flow through a rotor with radially variable load. Energy Convers. Manag. 2017, 143, 33–48. [Google Scholar] [CrossRef]
- Moeini, R.; Tricoli, P.; Hemida, H.; Baniotopoulos, C. Increasing the reliability of wind turbines using condition monitoring of semiconductor devices: A review. IET Renew. Power Gener 2018, 12, 182–189. [Google Scholar] [CrossRef]
- Martin, C.M.S.; Lundquist, J.K.; Clifton, A.; Poulos, G.S.; Schreck, S.J. Wind turbine power production and annual energy production depend on atmospheric stability and turbulence. Wind Energ. Sci. 2016, 1, 221–236. [Google Scholar] [CrossRef]
- Stathopoulos, T.; Alrawashdeh, H.; Al-Quraan, A.; Blocken, B.; Dilimulati, A.; Paraschivoiue, M.; Pilay, P. Urban wind energy: Some views on potential and challenges. J. Wind Eng. Ind. Aerodyn. 2018, 179, 146–157. [Google Scholar] [CrossRef]
- Hansen, K.S.; Barthelmie, R.J.; Jensen, L.E.; Sommer, A. The impact of turbulence intensity and atmospheric stability on power deficits due to wind turbine wakes at Horns Rev wind farm. Wind Energy 2012, 15, 183–196. [Google Scholar] [CrossRef]
- Pagnini, L.C.; Burlando, M.; Repetto, M.P. Experimental power curve of small-size wind turbines in turbulent urban environment. Appl. Energy 2015, 154, 112–121. [Google Scholar] [CrossRef]
- Baniotopoulos, C.; Borri, C. Wind Energy Technology reconsideration to enhance the concept of smart cities. In WORKSHOP Trends and Challenges for Wind Energy Harvesting; European Cooperation in Science and Technology: Coimbra, Portugal, 2015; pp. 7–12. [Google Scholar]
- COST Action TU1304. WINERCOST—Wind Energy Technology Reconsideration to Enhance the Concept of Smart Cities. 2018. Available online: http://winercost.com/ (accessed on 6 December 2019).
- Grant, A.; Johnstone, C.; Kelly, N. Urban wind energy conversion: The potential of ducted turbines. Renew. Energy 2008, 33, 1157–1163. [Google Scholar] [CrossRef]
- Stankovic, S.; Campbell, N.; Harries, A. Urban Wind Energy; Earthscan: London, UK, 2009. [Google Scholar]
- Cho, K.P.; Jeong, S.H.; Sari, D.P. Harvesting wind energy from aerodynamic design for building integrated wind turbines. Int. J. Technol. 2011, 2, 189–198. [Google Scholar]
- Oppenheim, D.; Owen, C.; White, G. Outside the square: Integrating wind into urban environments. Refocus 2004, 5, 32–35. [Google Scholar] [CrossRef]
- Kozmar, H.; Allori, D.; Bartoli, G.; Borri, C. Complex terrain effects on wake characteristics of a parked wind turbine. Eng. Struct. 2016, 110, 363–374. [Google Scholar] [CrossRef]
- Hemida, H. Large-eddy simulation of the above roof flow of a high-rise building for micro-wind turbines. In Proceedings of the 11th UK Conference on Wind Engineering, Birmingham, UK, 8–10 September 2014. [Google Scholar]
- Toja-Silva, F.; Kono, T.; Peralta, C.; Lopez-Garcia, O.; Chen, J. A review of computational fluid dynamics (CFD) simulations of the wind flow around buildings for urban wind energy exploitation. J. Wind Eng. Ind. Aerodyn. 2018, 180, 66–87. [Google Scholar] [CrossRef]
- Toja-Silva, F.; Peralta, C.; Lopez-Garcia, O.; Navarro, J.; Cruz, I. On Roof Geometry for Urban Wind Energy Exploitation in High-Rise Buildings. Computation 2015, 3, 299–325. [Google Scholar] [CrossRef]
- Shiraz, M.Z.; Dilimulati, A.; Paraschivoiu, M. Wind power potential assessment of roof mounted wind turbines in cities. Sustain. Cities Soc. 2020, 53, 101905. [Google Scholar] [CrossRef]
- Lu, L.; Ip, K.Y. Investigation on the feasibility and enhancement methods of wind power utilization in high-rise buildings of Hong Kong. Renew. Sustain. Energy Rev. 2009, 13, 450–461. [Google Scholar] [CrossRef]
- Ayhan, D.; Sağlam, Ş. A technical review of building-mounted wind power systems and a sample simulation model. Renew. Sustain. Energy Rev. 2012, 16, 1040–1049. [Google Scholar] [CrossRef]
- Abohela, I.; Hamza, N.; Dudek, S. Effect of roof shape, wind direction, building height and urban configuration on the energy yield and positioning of roof mounted wind turbines. Renew. Energy 2013, 50, 1106–1118. [Google Scholar] [CrossRef]
- Mertens, S. Wind Energy in the Built Environment: Concentrator Effects of Buildings; Multiscience Publishing: London, UK, 2000; 169p. [Google Scholar]
- Tominaga, Y.; Mochida, A.; Shirasawa, T.; Yoshie, R.; Kataoka, H.; Harimoto, K.; Nozu, T. Cross Comparisons of CFD Results of Wind Environment at Pedestrian Level around a High-rise Building and within a Building Complex. J. Asian Archit. Build. Eng. 2004, 3, 63–70. [Google Scholar] [CrossRef]
- CEDVAL. Compilation of Experimental Data for Validation of Microscale Dispersion Models; Universität Hamburg: Hamburg, Germany, 2006. [Google Scholar]
- Glumac, A.Š.; Hemida, H.; Vita, G.; Vranešević, K.K.; Höffer, R. Wind Tunnel Experimental Data for Flow Characteristics above the Roof of Isolated High-rise Building for Wind Energy Harvesting Considering Two Shapes of the Roof, Flat Roof and Deck Roof. Mendeley Data 2020. [Google Scholar] [CrossRef]
- Glumac, A.Š.; Hemida, H.; Höffer, R. Wind tunnel experimental data for flow characteristics above the roof of high-rise buildings in group arrangement for wind energy harvesting. Mendeley Data 2018. [Google Scholar] [CrossRef]
- Hemida, H.; Glumac, A.Š.; Vita, G.; Vranešević, K.K.; Höffer, R. On the flow over high-rise building for wind energy harvesting: An experimental investigation of wind speed and surface pressure. Appl. Sci. 2020. in review. [Google Scholar]
- Glumac, A.Š.; Hemida, H.; Höffer, R. Wind energy potential above a high-rise building influenced by neighboring buildings: An experimental investigation. J. Wind Eng. Ind. Aerodyn. 2018, 175, 32–42. [Google Scholar] [CrossRef]
- Hemida, H. On the Understanding of the Above Roof Flow of a High-rise Building for Wind Energy Generation. In SBE16—Europe and the Mediterranean Towards a Sustainable Built Environment; SBE Malta: Valletta, Malta, 2016. [Google Scholar]
- Vita, G. The Effect of Turbulence in the Built Environment on Wind Turbine Aerodynamics; University of Birmingham: Birmingham, UK, 2020. [Google Scholar]
- Neuhaus, C. Zur Identifikation Selbsterregter Aeroelastischer Kräfte im Zeitbereich; Bergische Universität: Wuppertal, Germany, 2009. [Google Scholar]
- EN 1991-1-4:2005. Eurocode 1: Actions on Structures -Part 1-4: General Actions -Wind Actions; CEN: European Committee for Standardisation: Brussels, Belgium, 2005. [Google Scholar]
- Hemida, H.; Šarkic, A.; Gillmeier, S.; Höffer, R. Experimental investigation of wind flow above the roof of high-rise building. In Proceedings of the WINERCOST Workshop Trends and Challenges for Wind Energy Harvesting, Coimbra, Portugal, 30–31 March 2015; pp. 25–34. [Google Scholar]
- Vita, G.; Shu, Z.; Jesson, M.; Quinn, A.; Hemida, H.; Sterling, M.; Baker, C. On the assessment of pedestrian distress in urban winds. J. Wind Eng. Ind. Aerodyn. 2020, 203, 104200. [Google Scholar] [CrossRef]
- Banks, D.; Meroney, R.N.; Sarkar, P.P.; Zhao, Z.; Wu, F. Flow visualization of conical vortices on flat roofs with simultaneous surface pressure measurement. J. Wind Eng. Ind. Aerodyn. 2000, 84, 65–85. [Google Scholar] [CrossRef]
- Balduzzi, F.; Bianchini, A.; Carnevale, E.A.; Ferrari, L.; Magnani, S. Feasibility analysis of a Darrieus vertical-axis wind turbine installation in the rooftop of a building. Appl. Energy 2012, 97, 921–929. [Google Scholar] [CrossRef]
- Ozmen, Y.; Baydar, E.; van Beeck, J.P.A.J. Wind flow over the low-rise building models with gabled roofs having different pitch angles. Build. Environ. 2016, 95, 63–74. [Google Scholar] [CrossRef]
- Vita, G.; Hemida, H.; Andrianne, T.; Baniotopoulos, C. Generating atmospheric turbulence using passive grids in an expansion test section of a wind tunnel. J. Wind Eng. Ind. Aerodyn. 2018, 178, 91–104. [Google Scholar] [CrossRef]
- IEC 61400-2:2013. Wind Turbines—Part 2: Small Wind Turbinesd; IEC: International Electrotechnical Commission: Geneva, Switzerland, 2013. [Google Scholar]
- Anup, K.C.; Whale, J.; Urmee, T. Urban wind conditions and small wind turbines in the built environment: A review. Renew. Energy 2019, 131, 268–283. [Google Scholar]
- Pope, S.B. Turbulent Flows; Cambridge University Press: Cambridge, UK, 2000; Volume 1. [Google Scholar]
- Conan, B. Wind Resource Accessment in Complex Terrain by Wind Tunnel Modelling. Ph.D. Thesis, Orléans University, Orléans, France, 2012. [Google Scholar]
- Emeis, S. Wind Energy Meteorology: Atmospheric Physics for Wind Power Generation; Springer: Berlin/Heidelberg, Germany, 2013. [Google Scholar]
- Piringer, M.; Joffre, S.; Baklanov, A.; Christen, A.; Deserti, M.; De Ridder, K.; Emeis, S.; Mestayer, P.G.; Tombrou, M.; Middleton, D.; et al. The surface energy balance and the mixing height in urban areas - Activities and recommendations of COST-Action 715. Bound. Layer Meteorol 2007, 124, 3–24. [Google Scholar] [CrossRef]
- Antoniou, I.; Asimakopoulos, D.; Fragoulis, A.; Kotronaros, A.; Lalas, D.P.; Panourgias, I. Turbulence measurements on top of a steep hill. J. Wind Eng. Ind. Aerodyn. 1992, 39, 343–355. [Google Scholar] [CrossRef]















), m1 (
) and c3 (
) at z = 3 m (bottom) and z = 12 m (top) for the 4 wind directions (columns).
), m1 (
) and c3 (
) at z = 3 m (bottom) and z = 12 m (top) for the 4 wind directions (columns).

and
indicate, respectively, the position of the lower and higher wind power density. Dashed blue contour lines show turbulence intensity Iu (%), with markers
and
, respectively, showing the position of lower and higher Iu.
and
indicate, respectively, the position of the lower and higher wind power density. Dashed blue contour lines show turbulence intensity Iu (%), with markers
and
, respectively, showing the position of lower and higher Iu.
and
respectively, the position of the lower and higher wind power density. Dashed blue contour lines show turbulence intensity Iu (%), with markers
and
, respectively, showing the position of lower and higher Iu.
and
respectively, the position of the lower and higher wind power density. Dashed blue contour lines show turbulence intensity Iu (%), with markers
and
, respectively, showing the position of lower and higher Iu.
and
indicate, respectively, the position of the lower and higher wind power density. Dashed blue contour lines show turbulence intensity Iu, with markers
and
, respectively, showing the position of lower and higher Iu.
and
indicate, respectively, the position of the lower and higher wind power density. Dashed blue contour lines show turbulence intensity Iu, with markers
and
, respectively, showing the position of lower and higher Iu.
![]() |
| α = | Wind Energy Resource | |
|---|---|---|
| at z = 3 m | at z = 12–18 m | |
| 0° | Wind power energy strongly penalised due to α with generally P < 0.5Pref for #1. Clustering and docked roof shape improve P. Flow is weakly skewed at corners, and edges with θ~0°, while the docked roof is affected by inclination of decks θ~10°. Iu~40–50%, improving with clustering ~30% and docked shape ~20%. | Centre location increase in power up to P~2.5Pref at z = 12 m (~2Pref at 18 m). Clustering reduces P~Pref. Turbulence Iu~17% at centre and lower at perimeter. Iu~20% for #2. Skew angle highest ~15 ° at corners for #1, and θ~0° for #2. Docked shape reduces θ at edges. |
| 15° | Wind power increases at windward corners, while Iu decreases. Clustering doubles available P. Skew angle analogous to 0°. Turbulence enhanced Iu~50% at leeward corners and reduced at windward corners ~30%. Clustering improves Iu and θ. | Power reduced slightly for #1 and increases for #2, compared to 0 °. Turbulence Iu~15% in both #1 and #2. Highest skew angle of dataset for corners and edges θ > 15°. Clustering reduces θ. |
| 30° | Power increases to P~1.5Pref with lower turbulence Iu < 30% at centre and corners. Skew angle slightly decrease θ~−5° at corners and centre. #2 analogous to #1 in terms of power and turbulence, with a lower skew angles θ~7°. | Power reduced to ~1.7Pref, and to ~Pref when clustering. Iu~Iref For #1 at corners θ~0°, at edges θ~10°, and #2 is analogous. |
| 45° | Similar conclusions as to α = 30° in terms of power and skew angle. Clustering increases turbulence on edges. Docked shape reduces turbulence to Iu~Iref. | Power lowest ~1.5Pref for isolated #1, while P > 2Pref for #2. Iu~Iref Clustering increases θ at all positions. At corners θ~0 °, at edges θ~10°. |
© 2020 by the authors. Licensee MDPI, Basel, Switzerland. This article is an open access article distributed under the terms and conditions of the Creative Commons Attribution (CC BY) license (http://creativecommons.org/licenses/by/4.0/).
Share and Cite
Vita, G.; Šarkić-Glumac, A.; Hemida, H.; Salvadori, S.; Baniotopoulos, C. On the Wind Energy Resource above High-Rise Buildings. Energies 2020, 13, 3641. https://doi.org/10.3390/en13143641
Vita G, Šarkić-Glumac A, Hemida H, Salvadori S, Baniotopoulos C. On the Wind Energy Resource above High-Rise Buildings. Energies. 2020; 13(14):3641. https://doi.org/10.3390/en13143641
Chicago/Turabian StyleVita, Giulio, Anina Šarkić-Glumac, Hassan Hemida, Simone Salvadori, and Charalampos Baniotopoulos. 2020. "On the Wind Energy Resource above High-Rise Buildings" Energies 13, no. 14: 3641. https://doi.org/10.3390/en13143641
APA StyleVita, G., Šarkić-Glumac, A., Hemida, H., Salvadori, S., & Baniotopoulos, C. (2020). On the Wind Energy Resource above High-Rise Buildings. Energies, 13(14), 3641. https://doi.org/10.3390/en13143641


