Model-Based Data Driven Approach for Fault Identification in Proton Exchange Membrane Fuel Cell
Abstract
1. Introduction
2. Degradation in PEMFC
3. Modelling of PEMFC
3.1. D model of a Fuel Cell
3.2. Electrical Formulation
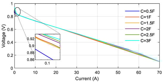
3.3. Calibration of the Model
4. Operating Modes and Data Preparation
5. Classifier Development
5.1. Feature Extraction
5.2. Feature Classification
Support Vector Machine (SVM)
5.3. Classifier Development
6. Conclusions
Author Contributions
Conflicts of Interest
References
- Blal, M.; Benatiallah, A.; NeÇaibia, A.; Lachtar, S.; Sahouane, N.; Belasri, A. Contribution and investigation to compare models parameters of (PEMFC), comprehensives review of fuel cell models and their degradation. Energy 2019, 168, 182–199. [Google Scholar] [CrossRef]
- Giorgi, L. Fuel Cells: Technologies and Applications. Open Fuel Cells J. 2013, 6. [Google Scholar] [CrossRef]
- Wilberforce, T.; Alaswad, A.; Palumbo, A.; Dassisti, M.; Olabi, A.G. Advances in stationary and portable fuel cell applications. Int. J. Hydrogen Energy 2016, 41, 16509–16522. [Google Scholar] [CrossRef]
- Wee, J.-H. Applications of proton exchange membrane fuel cell systems. Renew. Sustain. Energy Rev. 2007, 11, 1720–1738. [Google Scholar] [CrossRef]
- Wang, J.; Wang, H.; Fan, Y. Techno-Economic Challenges of Fuel Cell Commercialization. Engineering 2018, 4, 352–360. [Google Scholar] [CrossRef]
- Wang, Y.; Chen, K.S.; Mishler, J.; Cho, S.C.; Adroher, X.C. A review of polymer electrolyte membrane fuel cells: Technology, applications, and needs on fundamental research. Appl. Energy 2011, 88, 981–1007. [Google Scholar] [CrossRef]
- Proton Exchange Membrane Fuel Cells Modeling; Gao, F., Blunier, B., Miraoui, A., Eds.; John Wiley & Sons, Inc.: Hoboken, NJ, USA, 2012; ISBN 9781118562079. [Google Scholar]
- Hernandez, A.; Hissel, D.; Outbib, R. Modeling and Fault Diagnosis of a Polymer Electrolyte Fuel Cell Using Electrical Equivalent Analysis. IEEE Trans. Energy Convers. 2010, 25, 148–160. [Google Scholar] [CrossRef]
- Kim, J.; Lee, I.; Tak, Y.; Cho, B.H. State-of-health diagnosis based on hamming neural network using output voltage pattern recognition for a PEM fuel cell. Int. J. Hydrogen Energy 2012, 37, 4280–4289. [Google Scholar] [CrossRef]
- Cao, Y.; Li, Y.; Zhang, G.; Jermsittiparsert, K.; Razmjooy, N. Experimental modeling of PEM fuel cells using a new improved seagull optimization algorithm. Energy Reports 2019, 5, 1616–1625. [Google Scholar] [CrossRef]
- Labach, I.; Rallières, O.; Turpin, C. Steady-state Semi-empirical Model of a Single Proton Exchange Membrane Fuel Cell (PEMFC) at Varying Operating Conditions. Fuel Cells 2017, 17, 166–177. [Google Scholar] [CrossRef]
- Akimoto, Y.; Okajima, K. Semi-Empirical Equation of PEMFC Considering Operation Temperature. Energy Technol. Policy 2014, 1, 91–96. [Google Scholar] [CrossRef]
- Hissel, D.; Turpin, C.; Astier, S.; Boulon, L.; Bouscayrol, A. A review of existing modelling methodologies for PEM fuel cell systems. In Proceedings of the Fundamentals & Development of Fuel Cells, Nancy, France, 10–12 December 2008. [Google Scholar]
- Bıyıkoğlu, A. RETRACTED: Review of proton exchange membrane fuel cell models. Int. J. Hydrogen Energy 2005, 30, 1181–1212. [Google Scholar] [CrossRef]
- Lazarou, S.; Pyrgioti, E.; Alexandridis, A.T. A simple electric circuit model for proton exchange membrane fuel cells. J. Power Sources 2009, 190, 380–386. [Google Scholar] [CrossRef]
- Buasri, P.; Salameh, Z.M. An electrical circuit model for a proton exchange membrane fuel cell (PEMFC). In Proceedings of the 2006 IEEE Power Engineering Society General Meeting, Montreal, QC, Canada, 18–22 June 2006; IEEE: Piscataway, NJ, USA, 2006; p. 6. [Google Scholar]
- Liu, J.X.; Guo, H.; Ye, F.; Ma, C.F. Two-dimensional analytical model of a proton exchange membrane fuel cell. Energy 2017, 119, 299–308. [Google Scholar] [CrossRef]
- Breaz, E.; Gao, F.; Blunier, B.; Tirnovan, R. Mathematical modeling of proton exchange membrane fuel cell with integrated humidifier for mobile applications. In Proceedings of the 2012 IEEE Transportation Electrification Conference and Expo (ITEC), Dearborn, MI, USA, 18–20 June 2012; IEEE: Piscataway, NJ, USA, 2012; pp. 1–6. [Google Scholar]
- Baschuk, J.; Li, X. Modelling of polymer electrolyte membrane fuel cells with variable degrees of water flooding. J. Power Sources 2000, 86, 181–196. [Google Scholar] [CrossRef]
- Zheng, Z.; Petrone, R.; Pera, M.C.; Hissel, D.; Becherif, M.; Pianese, C. Diagnosis of a commercial PEM fuel cell stack via incomplete spectra and fuzzy clustering. In Proceedings of the IECON 2013—39th Annual Conference of the IEEE Industrial Electronics Society, Vienna, Austria, 10–13 November 2013; IEEE: Piscataway, NJ, USA, 2013; pp. 1595–1600. [Google Scholar]
- Hissel, D.; Candusso, D.; Harel, F. Fuzzy-Clustering Durability Diagnosis of Polymer Electrolyte Fuel Cells Dedicated to Transportation Applications. IEEE Trans. Veh. Technol. 2007, 56, 2414–2420. [Google Scholar] [CrossRef]
- Wasterlain, S.; Candusso, D.; Harel, F.; Francois, X.; Hissel, D. Diagnosis of a fuel cell stack using electrochemical impedance spectroscopy and Bayesian Networks. In Proceedings of the 2010 IEEE Vehicle Power and Propulsion Conference, Lille, France, 1–3 September 2010; IEEE: Piscataway, NJ, USA, 2010; pp. 1–6. [Google Scholar]
- Riascos, L.A.M.; Simoes, M.G.; Miyagi, P.E. On-line fault diagnostic system for proton exchange membrane fuel cells. J. Power Sources 2008, 175, 419–429. [Google Scholar] [CrossRef]
- Zheng, Z.; Petrone, R.; Péra, M.C.; Hissel, D.; Becherif, M.; Pianese, C.; Yousfi Steiner, N.; Sorrentino, M. A review on non-model based diagnosis methodologies for PEM fuel cell stacks and systems. Int. J. Hydrogen Energy 2013, 38, 8914–8926. [Google Scholar] [CrossRef]
- Chen, J.; Zhou, B. Diagnosis of PEM fuel cell stack dynamic behaviors. J. Power Sources 2008, 177, 83–95. [Google Scholar] [CrossRef]
- Steiner, N.Y.; Hissel, D.; Moçotéguy, P.; Candusso, D. Non intrusive diagnosis of polymer electrolyte fuel cells by wavelet packet transform. Int. J. Hydrogen Energy 2011, 36, 740–746. [Google Scholar] [CrossRef]
- Benouioua, D.; Candusso, D.; Harel, F.; Oukhellou, L. Fuel cell diagnosis method based on multifractal analysis of stack voltage signal. Int. J. Hydrogen Energy 2014, 39, 2236–2245. [Google Scholar] [CrossRef]
- Yousfi Steiner, N.; Hissel, D.; Moçotéguy, P.; Candusso, D. Diagnosis of polymer electrolyte fuel cells failure modes (flooding & drying out) by neural networks modeling. Int. J. Hydrogen Energy 2011, 36, 3067–3075. [Google Scholar] [CrossRef]
- Gasteiger, H.A.; Gu, W.; Litteer, B.; Makharia, R.; Brady, B.; Budinski, M.; Thompson, E.; Wagner, F.T.; Yan, S.G.; Yu, P.T. Catalyst degradation mechanisms in PEM and direct methanol fuel cells. In Mini-Micro Fuel Cells; Springer: Dordrecht, The Netherlands, 2008; pp. 225–233. [Google Scholar]
- Qin, C.; Wang, J.; Yang, D.; Li, B.; Zhang, C. Proton exchange membrane fuel cell reversal: A review. Catalysts 2016, 6, 197. [Google Scholar] [CrossRef]
- Yousfi-Steiner, N.; Moçotéguy, P.; Candusso, D.; Hissel, D. A review on polymer electrolyte membrane fuel cell catalyst degradation and starvation issues: Causes, consequences and diagnostic for mitigation. J. Power Sources 2009, 194, 130–145. [Google Scholar] [CrossRef]
- Wu, J.; Yuan, X.Z.; Martin, J.J.; Wang, H.; Zhang, J.; Shen, J.; Wu, S.; Merida, W. A review of PEM fuel cell durability: Degradation mechanisms and mitigation strategies. J. Power Sources 2008, 184, 104–119. [Google Scholar] [CrossRef]
- Cheng, X.; Shi, Z.; Glass, N.; Zhang, L.; Zhang, J.; Song, D.; Liu, Z.; Wang, H.; Shen, J. A review of PEM hydrogen fuel cell contamination: Impacts, mechanisms, and mitigation. J. Power Sources 2007, 165, 739–756. [Google Scholar] [CrossRef]
- Dicks, A.L.; Rand, D.A.J. Fuel Cell Systems Explained; Wiley: Hoboken, NJ, USA, 2018; ISBN 9781118613528. [Google Scholar]
- Santarelli, M.; Torchio, M.; Cali, M.; Giaretto, V. Experimental analysis of cathode flow stoichiometry on the electrical performance of a PEMFC stack. Int. J. Hydrogen Energy 2007, 32, 710–716. [Google Scholar] [CrossRef]
- Niknezhadi, A.; Allué-Fantova, M.; Kunusch, C.; Ocampo-Martínez, C. Design and implementation of LQR/LQG strategies for oxygen stoichiometry control in PEM fuel cells based systems. J. Power Sources 2011, 196, 4277–4282. [Google Scholar] [CrossRef]
- Yousfi-Steiner, N.; Moçotéguy, P.; Candusso, D.; Hissel, D.; Hernandez, A.; Aslanides, A. A review on PEM voltage degradation associated with water management: Impacts, influent factors and characterization. J. Power Sources 2008, 183, 260–274. [Google Scholar] [CrossRef]
- Silva, R.E.; Harel, F.; Jemeï, S.; Gouriveau, R.; Hissel, D.; Boulon, L.; Agbossou, K. Proton Exchange Membrane Fuel Cell Operation and Degradation in Short-Circuit. Fuel Cells 2014, 14, 894–905. [Google Scholar] [CrossRef]
- Dixon, J. Energy storage for electric vehicles. In Proceedings of the 2010 IEEE International Conference on Industrial Technology, Vina del Mar, Chile, 14–17 March 2010; IEEE: Piscataway, NJ, USA, 2010; pp. 20–26. [Google Scholar]
- Barbir, F. PEM Fuel Cells; Elsevier: Amsterdam, The Netherlands, 2005; ISBN 9780120781423. [Google Scholar]
- Pilatowsky, I.; Romero, R.J.; Isaza, C.A.; Gamboa, S.A.; Sebastian, P.J.; Rivera, W. Thermodynamics of Fuel Cells. In Cogeneration Fuel Cell-Sorption Air Conditioning Systems; Green Energy and Technology; Springer: London, UK, 2011; pp. 25–36. ISBN 978-1-84996-027-4. [Google Scholar]
- Wang, H.; Yuan, X.-Z.; Li, H. PEM Fuel Cell Diagnostic Tools; CRC Press: Boca Raton, FL, USA, 2017; ISBN 9781138113343. [Google Scholar]
- Nayana, B.R.; Geethanjali, P. Analysis of Statistical Time-Domain Features Effectiveness in Identification of Bearing Faults From Vibration Signal. IEEE Sens. J. 2017, 17, 5618–5625. [Google Scholar] [CrossRef]
- Dargie, W. Analysis of time and frequency domain features of accelerometer measurements. In Proceedings of the 2009 Proceedings of 18th International Conference on Computer Communications and Networks, San Francisco, CA, USA, 3–6 August 2009; IEEE: Piscataway, NJ, USA, 2009; pp. 1–6. [Google Scholar]
- Erişti, H.; Uçar, A.; Demir, Y. Wavelet-based feature extraction and selection for classification of power system disturbances using support vector machines. Electr. Power Syst. Res. 2010, 80, 743–752. [Google Scholar] [CrossRef]
- Uyar, M.; Yildirim, S.; Gencoglu, M.T. An effective wavelet-based feature extraction method for classification of power quality disturbance signals. Electr. Power Syst. Res. 2008, 78, 1747–1755. [Google Scholar] [CrossRef]
- Ngui, W.K.; Leong, M.S.; Hee, L.M.; Abdelrhman, A.M. Wavelet Analysis: Mother Wavelet Selection Methods. Appl. Mech. Mater. 2013, 393, 953–958. [Google Scholar] [CrossRef]
- Shensa, M.J. The discrete wavelet transform: Wedding the a trous and Mallat algorithms. IEEE Trans. Signal Process. 1992, 40, 2464–2482. [Google Scholar] [CrossRef]
- Chaovalit, P.; Gangopadhyay, A.; Karabatis, G.; Chen, Z. Discrete wavelet transform-based time series analysis and mining. ACM Comput. Surv. 2011, 43, 1–37. [Google Scholar] [CrossRef]
- Youssef, O.A. Fault classification based on wavelet transforms. In Proceedings of the 2001 IEEE/PES Transmission and Distribution Conference and Exposition. Developing New Perspectives (Cat. No.01CH37294), Atlanta, GA, USA, 2 November 2001; pp. 531–536. [Google Scholar]
- He, J.; Yu, B. Continuous wavelet transforms on the space L2 (R, H; dx). Appl. Math. Lett. 2004, 17, 111–121. [Google Scholar] [CrossRef]
- Cortes, C.; Vapnik, V. Support-Vector Networks. Mach. Learn. 1995, 20, 273–297. [Google Scholar] [CrossRef]
- Vapnik, V.N. The Nature of Statistical Learning Theory; Springer: New York, NY, USA, 2000; ISBN 978-1-4419-3160-3. [Google Scholar]
- Wang, W.; Xu, Z.; Lu, W.; Zhang, X. Determination of the spread parameter in the Gaussian kernel for classification and regression. Neurocomputing 2003, 55, 643–663. [Google Scholar] [CrossRef]
- Tavara, S. High-Performance Computing for Support Vector Machines; University of Skövde: Skövde, Sweden, 2018. [Google Scholar]
- Ahmad, S.; Hasan, N.; Bharath Kurukuru, V.S.; Ali Khan, M.; Haque, A. Fault classification for single phase photovoltaic systems using machine learning techniques. In Proceedings of the 2018 8th IEEE India International Conference on Power Electronics (IICPE), Jaipur, India, 13–15 December 2018; IEEE: Piscataway, NJ, USA, 2018; pp. 1–6. [Google Scholar]
- Haque, A.; Bharath, K.V.S.; Khan, M.A.; Khan, I.; Jaffery, Z.A. Fault diagnosis of Photovoltaic Modules. Energy Sci. Eng. 2019, ese3.255. [Google Scholar] [CrossRef]
- Kurukuru, V.S.B.; Blaabjerg, F.; Khan, M.A.; Haque, A. A Novel Fault Classification Approach for Photovoltaic Systems. Energies 2020, 13, 308. [Google Scholar] [CrossRef]












| Fault/Degradation | Effect and Diagnosis | ||
|---|---|---|---|
| Degradation due to ageing | Effect of loss of electrochemical surface area on membrane degradation, catalyst layer corrosion [32]
| ||
| Degradation due to system operation | Inside fuel cell [32] | Failure of membranes, catalyst layers, gas diffusion layers, bipolar plates.
| |
| Reactants supply | Contamination [33] | Partially blocked reaction sites due to containment of reactants.
| |
| Improper pressures [34] | Degradation of membrane electrode assembly (MEA) [32].
| ||
| Improper gas flow rates | Loss of active surface area of the catalyst, carbon support corrosion [31], cathode water flooding [35], membrane drying.
| ||
| Heat management [20,21] | Lower conductivity of membrane due to membrane dehydration.
| ||
| Water management | Membrane drying [37] | Hinderance for access of protons to the catalyst surface due to dry membrane.
| |
| Flooding [37] | Degraded fuel cell stack due to blocked reactant pathways.
| ||
| Electric circuit [38] | Ageing related degradation, concentration voltage loss, and melting of electrodes.
| ||
| Fault Class | Drying | Normal | Flooding |
|---|---|---|---|
| Temperature | >60 °C | 30 °C to 50 °C | 0 °C to 20 °C |
| Pressure | 0 bar to 0.7 bar | 0.8 bar to 1 bar | bar |
| Relative Humidity | to 7 |
| Kernel Function | Inner Product | Kernel Type |
|---|---|---|
| Linear kernel | Linear | |
| Gaussian/RBF | Non-Linear | |
| Polynomial | Non-Linear | |
| Laplacian | Non-linear |
| Parameter | Model Type |
|---|---|
| Pre-set | Fine Gaussian SVM |
| Kernel Function | Gaussian Radial Basis Function |
| Kernel Scale | 0.5 |
| Multiclass Method | One versus One |
| Results | |
| Training Accuracy | 95.5% |
| Training Time | 3.701 s |
| Testing Accuracy | 98.6% |
| Prediction Speed | ~62,000 observations/s |
© 2020 by the authors. Licensee MDPI, Basel, Switzerland. This article is an open access article distributed under the terms and conditions of the Creative Commons Attribution (CC BY) license (http://creativecommons.org/licenses/by/4.0/).
Share and Cite
Bharath, K.V.S.; Blaabjerg, F.; Haque, A.; Khan, M.A. Model-Based Data Driven Approach for Fault Identification in Proton Exchange Membrane Fuel Cell. Energies 2020, 13, 3144. https://doi.org/10.3390/en13123144
Bharath KVS, Blaabjerg F, Haque A, Khan MA. Model-Based Data Driven Approach for Fault Identification in Proton Exchange Membrane Fuel Cell. Energies. 2020; 13(12):3144. https://doi.org/10.3390/en13123144
Chicago/Turabian StyleBharath, K. V. S., Frede Blaabjerg, Ahteshamul Haque, and Mohammed Ali Khan. 2020. "Model-Based Data Driven Approach for Fault Identification in Proton Exchange Membrane Fuel Cell" Energies 13, no. 12: 3144. https://doi.org/10.3390/en13123144
APA StyleBharath, K. V. S., Blaabjerg, F., Haque, A., & Khan, M. A. (2020). Model-Based Data Driven Approach for Fault Identification in Proton Exchange Membrane Fuel Cell. Energies, 13(12), 3144. https://doi.org/10.3390/en13123144

