Abstract
This paper proposes a model of an electrolyser in the form of a subcircuit dedicated for SPICE. It takes into account both the electric static and dynamic properties of the considered device and is devoted to the optimisation of the parameters of the signal feeding this electrolyser, making it possible to obtain a high productivity and efficiency of the electrolysis process. Parameter values the describing current-voltage characteristics of the electrolyser take into account the influence of the concentration of the potassium hydroxide (KOH) solution. A detailed description of the structure and all the components of this model is included in the paper. The correctness of the elaborated model is verified experimentally in a wide range of changes in the value of the feeding current and concentration of the KOH solution. Some computations illustrating the influence of the amplitude, average value, duty factor, and frequency of feeding current on the productivity and efficiency of the electrolysis process are performed. On the basis of the obtained results of the investigations, some recommendations for the operating conditions of electrolysers are formulated.
1. Introduction
In recent years, the societies and governments of many countries have been paying more and more attention to energy issues and have been trying to limit the use of energy technologies based on fossil fuels, which cause the degradation of the natural environment [1,2,3,4]. This has resulted in national and multi-national programmes for science and economy aimed at the development of renewable energy sources and low-emission technologies which use new energy carriers [4,5]. That is why the systems of production and use of hydrogen as an energy carrier (e.g., in fuel cells) are of the greatest importance. By using hydrogen technologies, we can produce electrical (fuel cell) or thermal (burners) energy [6] at possibly low emissions of CO2 to the atmosphere [1,2,3,5]. This is possible due to, among other things, the use of leaning technologies applied in the reaction of the oxygenation of hydrogen. A product of such a reaction is water (aqueous vapour) [7] and electrical (fuel cell) or thermal (burners) energy [6,8].
At present, the use of hydrogen technologies causes essential problems related to the production and storage of this gas [9]. There have been developed several technologies for hydrogen production [7,8,10,11,12]. The most well-known are the steam reforming of natural gas (which is fossil fuel) [10], gasification of coal (also fossil fuel), biomass conversion [8], and electrolysis [7,11,12]. Special attention should be paid to electrolysis, whose main advantage is the possibility of producing hydrogen locally where it has to be used. During the process of electrolysis, no waste material is produced, unlike, e.g., the transformation of biomass.
The European Road Map of the production and distribution of hydrogen products predicts that fuel cells and hydrogen systems quoted in the paper [10] will have changed from the leaning economy of mineral fuels into the leaning economy of hydrogen by the year 2050 in Europe. On the other hand, according to the prognosis of the US Department of Energy (DOE) [10,12], the gasification of biomass, production of biofuels (e.g., based on the reforming of ethanol), and electrolysis of water supplied with renewable electricity will become the most attractive ecological technologies for hydrogen production. However, these technologies have to increase considerably their present efficiency of hydrogen production so that their production cost of 1 kg of hydrogen will not exceed 2 USD in 2020. Yet, in 2011 the cost of producing 1 kg of hydrogen with the use of, for example, electrolysis amounted to 4.1 USD.
Therefore, it is essential to reduce the costs of production, improve the construction of electrolysers, and optimise their power supply systems. In the classical case, dc power supplies are used to feed electrolysers. However, a disadvantage of this solution is an increase, sometimes considerable, in the device temperatures as a result of the exothermic character of the process of water electrolysis [11]. This leads to lowering the watt-hour efficiency of the process.
In the paper [2], a broad analysis of the possibilities of using hydrogen and fuel cells for heating is presented. Additionally, the problem of hydrogen distribution to households is discussed. The possibilities of using different primary energy sources, the energy of which is required for water electrolysis as well as the temperature increase in this process, are indicated.
To produce hydrogen, among others, alkaline electrolysers can be used. These devices are being improved all the time, and the aim of the designers is to obtain high performance in the process of hydrogen production and a high efficiency of the transformation of electrical energy into hydrogen. An essential reduction in production costs requires the essential improvement of electrolysers’ construction and the optimisation of the systems feeding these electrolysers. The main parameter which determines the efficiency of hydrogen production in the process of the electrolysis of water is the electric current flowing through the electrolyte [6,7,11]. Usually, the process of electrolysis is carried out with the use of direct electric current.
From the literature and research performed by the authors, it is known that the electrical impedance of the electrolyte exhibits not only a resistive character but can also have a reactive component. As it results from the literature, among others [6,7], from the point of view of feeding, the connectors of the electrolyser can be treated as a non-linear RLC circuit containing resistors, capacitors and inductors. Therefore, there must exist at least one value of frequency at which the module of impedance of the electrolyser attains the minimum and the current of its power supply attains the maximum. In compliance with Faraday′s law, the mass of hydrogen produced is proportional to the value of this current [7]. Additionally, the fact that ions occur with the carriers of load in the solution is quite significant. That is why the simultaneous transport of charge and mass occur in the electrolyser [13].
The component values of the considered impedance depend on parameters characterising the properties of the electrolyte and parameters of the electrolyser. This gives an opportunity to control the complex character of the electrolyte impedance and to influence the parameters of electric current, which determines the efficiency of hydrogen production in the electrolysis process. Controlling the electrical impedance of the electrolyte, and consequently the electrolysis process, can be performed by supplying the electrolyser from a source of alternating current (AC) with the controlled current parameters (i.e., the shape, amplitude, and frequency of the generated current). The processing water in electrolysis and the related efficiency of hydrogen production using an AC power supply have been scarcely investigated, in particular from the electrical point of view.
Research focused on the electrical aspects of electrolysis can lead to the improvement of the efficiency of hydrogen production in electrolysis. This is so because physicochemical research has reached its limits in the further improvement of the efficiency of hydrogen production in electrolysis, mostly due to the low value of the thermodynamic limit of energy yield in hydrogen production during the process of water electrolysis of (20–30 g(H2)/kWh). As it results from analyses performed by most important world analytical organisations, including the US Department of the Energy, an increase in the efficiency of hydrogen production in the process of electrolysis is a necessary condition for electrolysis to become economically competitive among the already recognised methods of hydrogen production.
At high values of the current of the power supply, the efficiency of the process of hydrogen and oxygen production on the electrodes can be so high that it can cause the diminution of the effective area of the electrodes due to occurrence of electro-hydrodynamic flows on these electrodes [14].
In the classical version, electrolysis is realised for the aqueous potassium hydroxide (KOH) solution [7,11] in electrolysers fed from a source of direct current. However, in the paper [15,16], the results of the experimental studies of the commercial alkaline electrolyser are presented. The authors mainly focused on thermal problems. The thermal model of the electrolyser was proposed, and its correctness was verified. The considered electrolyser is supplied by half-wave sinusoidal rectified current, the frequency of which is equal to approximately 160 Hz.
The optimization of the construction and operation of electrolysers requires computer models—e.g., electronic devices [17,18]. The problem of modelling the properties of electrolysers has been present in the literature for a dozen or so years.
In the literature, one can find many models describing the properties of electrolysers [2,5,13,19,20,21,22,23], but typically they are dedicated to describe the properties of these devices operating at the power supply from the source of dc voltage. More detailed descriptions of the properties of the electrolyser models are summarised in [24].
In the paper [5], the construction of polymer electrolyte membrane (PEM) electrolysers is described with the highlighted electrode construction and the electrochemical processes taking place during the electrolysis process. In particular, the electrolysis process with the electric and thermal energy requirements taken into account is described. In the cited paper, the dc model of an electrolyser which allows computations of the voltage between the electrodes while considering the mass and charge transport is presented.
In turn, in the paper [19] the electrolyser model dedicated for the MATLAB program is proposed. The cited paper presents a mathematical description of the electrolyser voltage-current characteristics, taking into account temperature and self-heating phenomena. In the paper [20], the computed characteristics of the electrolyser which were obtained for the selected values of temperature using the model published in the paper [19] are presented. The main subject of the paper [13] is also modelling properties of the electrolyser using the MATLAB program. The model described in the cited paper takes into account electrical, electrochemical, and thermodynamical phenomena. The correctness of this model was experimentally verified using a laboratory low-power electrolyser.
In the paper [22], a static and dynamic electrical model of the electrolyser is proposed. The proposed model allows identifying a value of the electrolyser voltage as a function of current, temperature, and pressure. The authors showed the network representation of the proposed model, which consists of the controlled voltage sources, capacitors, and a resistor. The correctness of the model was experimentally verified for a supply current frequency that was not higher than 100 Hz.
In the paper [16], the possibility of electrolysis at the power supply with a rectangular pulse train is considered. The problems connected with this process are discussed, and the possibility of using this type of power supply in practice is evaluated.
In the paper [23], a measuring set-up to investigate electrolysers supplied with voltage on sinusoidal, triangular, and rectangular waveforms of regulated frequency is described. However, the analytic relationships describing the efficiency of the process of electrolysis at the switched-mode power supply are not given.
As it results from the presented review of the literature, apart from the works of the authors, no one has considered the operation of an electrolyser at the power supply with a pulsed signal with a frequency higher than 150 Hz, and those investigations consist mostly of computer simulations.
Meanwhile, as it was shown in the authors’ previous papers [6,24,25,26], while power supplying the electrolyser with a rectangular pulse train of regulated frequency, it is possible to optimise its productivity or efficiency by selecting the frequency of feeding impulses. Unfortunately, the models of electrolysers presented in the literature do not take into account such factors as the concentration of KOH solution in the electrolyser and the nonlinearities of the phenomena occurring in this electrolyser at changes in the value of the current of the power supply.
In the authors’ previous papers [6,24,25], an electrical model of the electrolyser was proposed. This model has the form of a subcircuit for the simulation program with integrated circuit emphasis (SPICE) software. Unfortunately, this model is very complicated and consists of diodes, resistors, inductors, and capacitors. By means of this model, many computations are performed, showing that a change in the frequency of the voltage feeding the electrolyser can influence the current of the electrolyser and the power received from the power source. The considered model has behavioural character and does not describe the relation between the parameters describing the construction of the electrolyser and the electrical properties of this device. In the paper [26], it was shown that depending on the concentration of the electrolyte and frequency of the impulses feeding the electrolyser, essential changes in the mean value of the current of the electrolyser and the power received from the power source are obtained.
In this paper, an improved version of the model of the alkaline electrolyser in the form of an electronic subcircuit dedicated for the SPICE software containing controlled voltage and current sources, resistors, inductors, and capacitors is presented. This model takes into account the dc and dynamic properties of the electrolyser and the nonlinearity of the dependence of current feeding this electrolyser on a voltage drop in this device. By means of the worked-out model, one can compute the electric current-voltage characteristics of the electrolyser for selected values of concentration of the water solution of KOH contained in the electrolyser. Additionally, it is possible to compute the speed of hydrogen production at given conditions of the power supply of the electrolyser.
In particular, in sections of the paper the form of the worked-out model of the electrolyser is presented. Furthermore, the results of the experimental verification of this model for the selected electrolyser operating over a wide range of changes in the value of current of the power supply and concentration of the water solution of KOH in the electrolyser are presented. Some results of computer analyses illustrating the influence of frequency, amplitude, and the duty cycle of the voltage feeding the electrolyser on the speed of hydrogen production and the efficiency of this process are presented and discussed. Selected results of the computations are compared to the results of measurements.
2. Proposed Model
The model worked out by the authors is dedicated for the SPICE software. This is an improved version of the model proposed in the paper [24]. This model describes the dc and ac characteristics of the electrolyser and takes into account the dependences of the dc and dynamic properties of the electrolyser on the concentration of the electrolyte included in this electrolyser. The form of the proposed model was elaborated on the basis of the measurements of the dc current-voltage characteristics of the electrolyser performed at different values of the concentration of the electrolyte and ac characteristics of this device obtained in a wide range of frequencies of the signal feeding the electrolyser. The rules of formulating this type of model for electronic circuits elaborated on by the authors are described, among others, in the papers [27,28].
The proposed model has the form of a subcircuit dedicated for the SPICE software and contains 11 electronic components (resistors, capacitors, inductors, controlled voltage sources, and controlled current sources). The network representation of this model is shown in Figure 1.
Figure 1.
Network representation of the electrolyser model.
In the considered model, the network connected between connectors A and B represents the electrical properties of the electrolyser, whereas the voltage source En describes how many moles of hydrogen are produced by the electrolyser. The voltage on the source En corresponds to the number of moles of the produced hydrogen.
The controlled current source I1 describes the dc current-voltage characteristics of the ideal electrolyser. The form of the equation describing the output current of this source is formulated by the authors on the basis of the analysis of the shape of the measured dc characteristics of the electrolysers given, e.g., in [6] and selecting the adequate mathematic formula for such dependence. Finally, the current of this source is given by:
where v1 denotes the voltage at source I1; c is the concentration of the electrolyte; and a1, A1, A2, N, N1, cmax, and B are the model parameters.
The form of Equation (1) shows that the dependence I1(v1) is symmetrical in relation to the coordinate origin. The value of parameter a1 should be very small in comparison to the typical values of voltage v1. The first factor in Equation (1) is equal to about 1 for positive values of voltage v1, or it is equal to -1 for negative values of this voltage. Parameter A corresponds to the saturation current of the modelled dependence. N describes the “hardness” of the I1(v1) characteristics for solution c = cmax, whereas B describes the influence of concentration c on this “hardness”. The term “hardness” relates to changes in the slope of the characteristics over the range when the current starts increasing.
A voltage drop in the series resistance of the electrolyser containing the electrolyte of concentration c is described by the controlled voltage sources E1 and E2 and resistor Rdd. The voltage at these sources is given by the following formula:
where x is equal to 1 or 2; IX denotes the current flowing through the source EX; and RS0, RS1,c1, c2, I3, V1, and V2 are the model parameters. LIMIT is a standard function of the SPICE software described, e.g., in the book [29]. It is visible that the series resistance of the electrolyte depends both on the current and the concentration of the electrolyte. Resistor Rpp represents the resistance of the electrodes and connectors to which the power source is connected. The form of Equation (2) was obtained by the authors with the use of an analysis of the shapes of the measured dependences of a voltage drop in the electrolyser on the feeding current and the concentration of the electrolyte.
The dynamic properties of the electrolyser are described with the use of the reactance elements CD, C1, C2, L1, L2, and resistor RC1. Capacitor CD eliminates the influence of the current source I1 on the dynamic characteristics of the electrolyser. The capacitance of this capacitor is very high, and its module of impedance is nearly zero for frequencies higher than a few hertz. In turn, inductor L1 represents the inductance of wires connecting the electrolyser with the power source. Other RLC elements are indispensable to model the effects of the local minima and maxima on the frequency characteristics of the electrolyser.
In turn, the number n of moles of hydrogen produced by the electrolyser depends on the current i feeding this electrolyser and is described by the Faraday equation of the form [7,11]:
where Q denotes the total charge which flows through the electrolyte, F denotes the Faraday constant equal to 96,485 C/mol, z is the charge released to the electrolyte, and ηF is the Faraday efficiency. In the considered case, z = 2.
On the basis of investigations performed by the authors, it is observed that the Faraday efficiency depends on the feeding current and pressure p of the produced hydrogen in the electrolyser, according to the following formula:
where patm denotes the atmospheric pressure; i denotes the electrolyser current; and i0, a, p0, and ηF0 are the model parameters. Equation (4) was formulated on the basis of the approximation of the experimental data obtained for different values of feeding current and pressure.
3. Investigation Results
The correctness of the proposed model is verified for the arbitrarily selected electrolyser manufactured by SESCOM S.A., a company described in [24]. It is made of stainless steel and it has the form of a roller of volume equal to 10 l. In the opposite basis of this roller, there are connectors feeding the electrolyser. Inside the electrolyser, there are electrodes (anode and cathode) embedded in insulating distance collars made of Teflon. These electrodes have the shape of coaxial cylinders and each contains a row of openings, making it possible to balance the level of the electrolyte. Along each electrode are situated channels making it possible to take away gases produced on the electrodes to separate reservoirs.
For the described electrolyser, a set of model parameter values was estimated with the use of the method based on the idea of the local estimation described in the paper [30]. In this method, the measured dc and ac characteristics of the tested device are used. The values of the model parameters are obtained on the basis of the measurements of the dc and ac characteristics of the tested electrolyser. These values are as follows: a1 = 10−3 V2, A1 = 1.2 μA, A2 = 1.2 pA, N = 5.2, N1 = 3.1, B = 25.8 mV, cmax = 52 mL/L, c2 = 1.3 mL/L, RS0 = 23 mΩ, RS1 = 0.3 Ω, V2 = 0.58 V, V1 = 2.75 V/A0.5, CD = 0.2 F, C1 = 30 mF, C2 = 0.15 F, L1 = 3,5 μH, L2 = 50 μH, RC1 = 60 mΩ, Rdd = 4 mΩ, i0 = 10 A, a = 70 A, p0 = 0.1 atm.
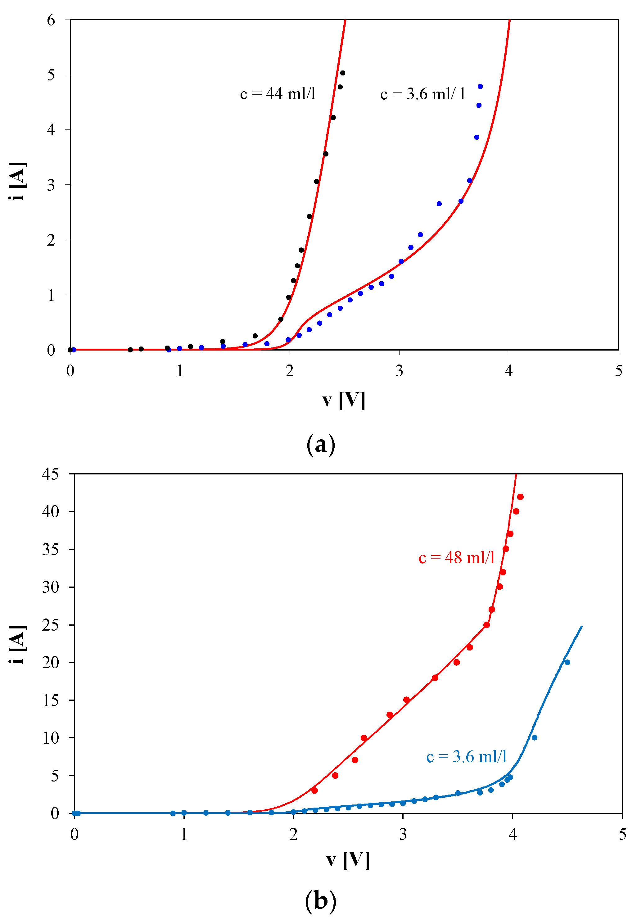
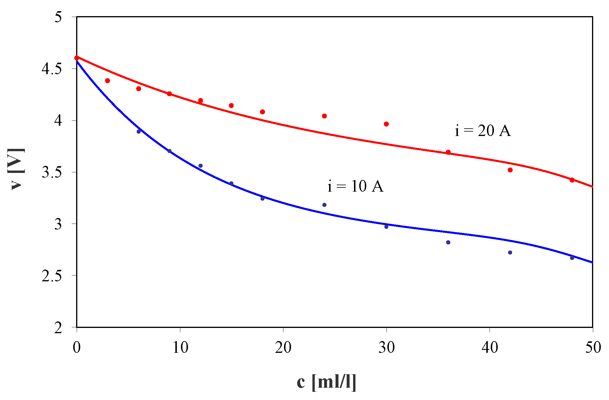
The correctness of the worked-out model was verified experimentally. Selected results of this verification are presented in Figure 2 and Figure 3. Figure 2 illustrates the dc current-voltage characteristics of the electrolyser measured and computed at selected values of concentration c of the aqueous solution of KOH (electrolyte), and Figure 3 illustrates the dependence of the voltage of the electrolyser on the concentration of solution at selected values of the feeding current. In these figures, points mark the results of measurements, and lines mark the results of computations.
Figure 2.
Computed and measured dc current-voltage characteristics of the tested electrolyser at selected values of concentration of the electrolyte in the range of low (a) and high (b) values of current.
Figure 3.
Computed and measured dependences of voltage on the tested electrolyser on the concentration of the electrolyte for two selected values of feeding current.
As was shown in the paper [24], the i-v characteristic of the electrolyser is symmetrical in relation to the coordinate origin. Therefore, in Figure 2 part of the considered characteristics is shown in the first quarter of the coordinate system only.
In Figure 2a, one can notice that the examined electrolyser demands a certain minimum value of feeding voltage (equal to about 2 V) so that current can flow through the electrolyte, making it possible to start hydrogen production. The characteristics corresponding to the smaller values of concentration of the electrolyte move right. At the lowest value of the considered values of concentration of the electrolyte, a change is visible in the value of the slope of the considered characteristics at a feeding voltage equal to about 4 V. A good agreement between the results of the measurements and computations is visible. Small differences between these results can be observed for low values of electrolyte concentration, but these differences do not exceed 5%.
Figure 2b shows that, at high values of current feeding the electrolyser, a change in the slope of the current-voltage characteristics of the electrolyser is visible. This means that, at high values of feeding current, the resistivity of the electrolyte decreases. It is also visible that big differences between the characteristics obtained for different concentrations of the electrolyte in the range of high current can be observed.
Figure 3 shows that an increase in the concentration of the solution causes a decrease in the voltage of the electrolyser, whereas the observed changes in the value of this voltage are higher and higher within the range of small values of concentration and small values of current feeding the electrolyser. It can be stated that, at the fixed value of feeding current, the electrical power consumed by the electrolyser decreases with an increase in the concentration of the electrolyte.
As one can observe in the characteristics presented in Figure 2 and Figure 3, the worked-out model of the electrolyser makes it possible to obtain a good agreement between the results of the computations and measurements over a wide range of changes in the feeding current and concentration of the electrolyte.
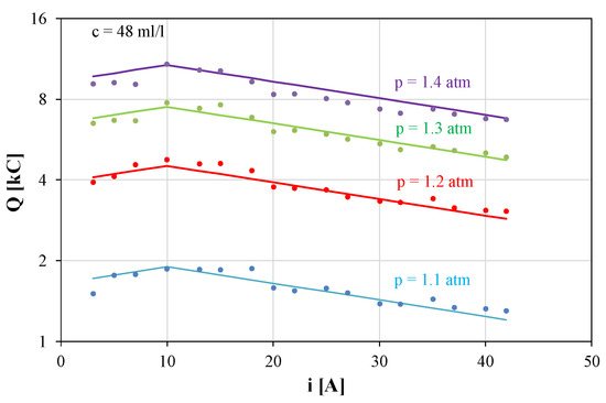
Figure 4 presents the measured and computed dependences of the total charge in the electrolyte on the feeding current at selected values of pressure inside the electrolyser. This charge is equal to the product of current and time and it is indispensable in obtaining the selected values of the pressure of hydrogen in the electrolyser.
Figure 4.
Computed and measured dependences of the total charge on the feeding current at selected values of pressure and concentration of the electrolyte c = 48 mL/L.
As is visible, an increase in the value of pressure causes an increase in the total charge. The dependence of this charge on the feeding current reaches the maximum at i = 10 A. In the considered range of changes in the feeding current, this charge changes even by 30%. Charge Q is proportional to the mass of the produced hydrogen and gives information about the number of moles of the produced hydrogen. It is worth underlining the fact that the total charge is not proportional to the feeding current and that it is profitable to feed the electrolyser with current of a high value.
Figure 5 illustrates the dependence of the Faraday efficiency on the current feeding the electrolyser at selected values of pressure of the gas produced in the electrolyser, to which the values of the number of moles of the produced hydrogen correspond.
Figure 5.
Computed and measured dependences of the Faraday efficiency on the feeding current at selected values of pressure and concentration of the electrolyte c = 48 mL/L.
The values of the Faraday efficiency were measured indirectly. The values of feeding current and time tp indispensable to obtain the fixed values of the pressure of hydrogen produced in the electrolyser are measured. The temperature of the electrolyser was practically constant, and the volume of gas produced in the electrolyser did not visibly change. According to the equation of the state of gas, one can accept that the number of produced atoms of hydrogen is proportional to the gas pressure in the electrolyser. The value of the charge provided to the electrolyte is computed as the product of the time tp and the feeding current.
As one can notice, the Faraday efficiency strongly depends on the current feeding the electrolyser and the pressure. For the examined electrolyser, the maximum value ηF is obtained at a current equal to 10 A. An increase in the value of the feeding current causes a significant decrease in the value of this parameter, whereas a change in the value of this parameter reaches even 30%. The highest efficiency of the process of electrolysis occurs at a current equal to 10 A, but the productivity of the electrolyser is an increasing function of the current feeding the electrolyser.
In order to examine the influence of the frequency of the signal feeding the electrolyser and the concentration of solution on the efficiency and productivity of the process of electrolysis, a transient analysis of the circuit consisting of three serially connected elements is performed. The first of these elements is a voltage source generating a rectangular pulse train at a low level equal to zero and at a high level equal to 8 V, with a duty cycle equal to 0.5 and regulated frequency. The second element is the investigated electrolyser, while the third is the rectifying diode. The electrolyser was described by means of the model presented in the previous section. The diode is indispensable to prevent the flow of current through the electrolyte and consequently to prevent the interference of the products of electrolysis on both the electrodes of the electrolyser. This diode is modelled with the use of the model built in to the SPICE software. The model parameter values used in the computations are the same as those described in the paper [24], and they are equal to: IS = 2.68 nA, N = 1.836, ISR = 1.565 nA, IKF = 44.17 mA, BV = 1 kV, IBV = 100 mA, RS = 5.6 mΩ, TT = 11.54 ns, CJO = 40 pF, VJ = 0.5 V, M = 0.3333.
Some computations of the considered system were performed over a wide range of concentrations of electrolyte and frequencies of the feeding signal.
As it results from the Faraday law, the productivity of the process of electrolysis, which is the mass of produced hydrogen in the unit of time, is proportional to the charge transfluent between the electrodes of the electrolyser. This charge is proportional to the average value of the electrolyser current Iavg. In turn, the efficiency of the process of electrolysis is defined as the quotient of the mass of the hydrogen produced in the time unit by the power received from the power source [7,11]. Therefore, it can be said that this efficiency is proportional to the quotient of current Iavg over the mean value of power Pavg received from the power source.
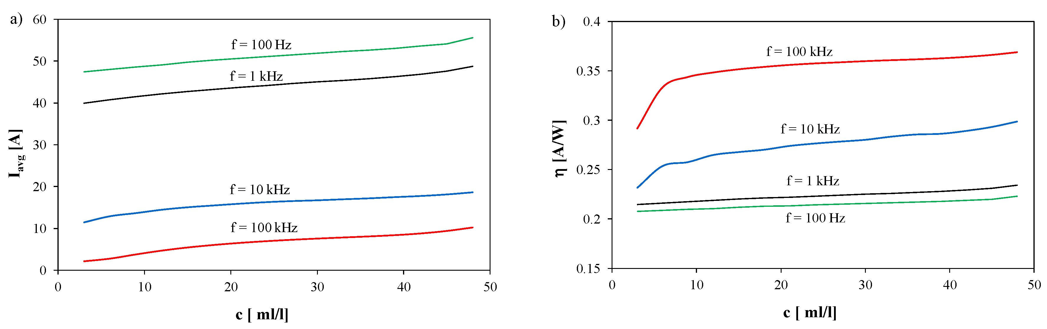
In Figure 6, the dependence of the current Iavg on the frequency of the signal feeding the electrolyser at selected values of concentration of the electrolyte is presented, and in Figure 7 one can see the dependence of the quotient Iavg/Pavg on the frequency.
Figure 6.
Computed dependences of the average value of the current feeding the electrolyser on the frequency at selected values of electrolyte concentration.
Figure 7.
Computed dependences of the quotient of the average value of feeding current and the average value of the feeding power on the frequency at selected values of electrolyte concentration.
In Figure 6, it is visible that the productivity of the process of electrolysis strongly changes with changes in the frequency of the signal feeding the electrolyser. In the considered frequency range, the maximum productivity of the electrolyser was obtained at a frequency equal to about 100 Hz, and a further increase in the value of frequency causes even a sevenfold decrease in this productivity at a frequency f = 100 kHz. It is proper also to notice that the local minimum of the productivity of the process at a frequency equal to about 50 Hz is visible. An increase in the concentration of the electrolyte from 5 ml/l to 48 ml/l causes an increase in productivity of the process even by 20%.
In turn, the efficiency of the electrolysis process is an increasing function of frequency and at changes in the value of this frequency within the range from 100 Hz to 50 kHz, an increase in this efficiency is higher than 50%. Additionally within the range of high frequency, the strong influence of the concentration of the electrolyte on the efficiency of the electrolysis process is visible.
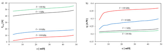
Figure 8 illustrates the influence of the concentration of the electrolyte on the productivity of the electrolysis process and on the efficiency of this process obtained at the selected values of frequency.
Figure 8.
Computed dependences of the average value of current feeding the electrolyser (a) and the quotient of the average value of the feeding current and the average value of feeding current (b) on the concentration of the electrolyte for selected values of frequency.
As it is easy to observe, an increase in the concentration of the electrolyte causes both an increase in the productivity and the efficiency of the process, whereas a relative change in the values of the mentioned parameters is higher at a higher value of frequency. For example, at frequency f = 10 kHz the efficiency of the electrolysis process can increase even by about 50% at an increase in the value of concentration of the electrolyte within the range of 3 mL/L to 45 mL/L. On the other hand, for a high value of frequency f = 100 kHz, the productivity of the process increases even fivefold in the considered range of changes in concentration. It is also worth noticing that the influence of frequency on the productivity of the electrolysis process is much more visible in the range of low values of concentration of the electrolyte than in the range of high values of this concentration.
The presented results of the computations show that the efficiency and productivity of the electrolysis process can be optimised by the proper selection of the concentration of the electrolyte and the frequency of the feeding current.
4. Conclusions
In this paper, a model of the electrolyser for the SPICE software is proposed. This model takes into account the electrical properties of the electrolyser and makes it possible to compute the quantity of the produced hydrogen with the concentration of the electrolyte and the feeding current taken into account. The correctness of the worked-out model is verified experimentally for an arbitrarily selected electrolyser, and the influence of the changes in the value of the concentration of the electrolyte and the feeding current on the course of the dc characteristics of the electrolyser is illustrated.
The worked-out model was used to analyse the productivity and efficiency of the electrolysis process realised at the power supply of the electrolyser from the source of voltage of the shape of a rectangular pulse train of regulated frequency. From the performed computer simulations, it results that it is not possible to obtain a simultaneously high productivity of the electrolysis process (a high value at low frequency) and a high efficiency of this process (a high value at high frequency). A high efficiency of the process is obtained thanks to occurrence of reactance elements in the model of the electrolyser, which causes that at the appropriately high frequency of feeding voltage at the steady-state feeding current of the electrolyser in no part of the period of feeding voltage decreases to zero. Therefore, it seems that it is justified to use electrolysers supplied by a voltage of high frequency, but in order to achieve a suitable productivity of the process, it is necessary to use a greater electrolyser or a battery of small electrolysers supplied parallelly.
The results obtained during the investigations enable identifying the influence of the parameters of the signal feeding the electrolyser on the watt-hour efficiency (given in kg of hydrogen per kWh) and the productivity of the process of electrolysis (given in kg of hydrogen). These results can be usable for the designers of systems to produce hydrogen with the method of electrolysis, and it will enable a reduction in the operating costs of hydrogen used for fuel cells assuring the power supply for different kinds of devices—e.g., cars and other vehicles—and also in shipbuilding and building industry while gas welding.
From the scientific point of view, the obtained results enable determining the influence of the design of the electrolyser, physicochemical parameters of the electrolyte, and parameters of electric current supplying the electrolyser on the efficiency of the electrolysis process and hydrogen production. This, in turn, should allow optimising the electrolysis process and decreasing the costs of hydrogen production, which eventually will decide the usefulness of electrolysis for the economically acceptable production of hydrogen.
In further investigations, the correctness of the presented model for other types of electrolysers will be performed. The system of hydrogen generation containing a battery of electrolysers and a feeding circuit will also undergo simulation.
Author Contributions
Conceptualization, K.G.; computations, K.G. and P.G.; methodology K.G. and P.G.; experimental verification, M.G. and P.G.; writing text of the article, K.G. and P.G.; review and editing, K.G., M.G. and P.G.; visualization, M.G. and K.G.; supervision, K.G. All authors have read and agreed to the published version of the manuscript.
Funding
The project financed within the program of the Ministry of Science and Higher Education called “Regionalna Inicjatywa Doskonałości” in the years 2019–2022, the project number 006/RID/2018/19, the sum of financing 11 870 000 PLN.
Conflicts of Interest
The authors declare no conflict of interest.
References
- Elmer, T.; Worall, M.; Wu, S.; Riffat, S.B. Fuel cell technology for domestic built environment applications: State of-the-art review. Renew. Sustain. Energy Rev. 2015, 42, 913–931. [Google Scholar] [CrossRef]
- Dodds, P.E.; Staffell, I.; Hawkes, A.D.; Li, F.; Grünewald, P.; McDowall, W.; Ekins, P.; McDowall, W. Hydrogen and fuel cell technologies for heating: A review. Int. J. Hydrogen Energy 2015, 40, 2065–2083. [Google Scholar] [CrossRef]
- Khan, M.; Iqbal, M. Dynamic modeling and simulation of a small wind–fuel cell hybrid energy system. Renew. Energy 2005, 30, 421–439. [Google Scholar] [CrossRef]
- Rashid, M.H. Power Electronic Handbook; Academic Press: Cambridge, MA, USA, 2007. [Google Scholar]
- Carmo, M.; Fritz, D.L.; Mergel, J.; Stolten, D. A comprehensive review on PEM water electrolysis. Int. J. Hydrogen Energy 2013, 38, 4901–4934. [Google Scholar] [CrossRef]
- Górecki, K.; Zarębski, J.; Górecki, P.; Halbryt, S. Modelling and the analysis of the power supply system for the generator of hydrogen. In Proceedings of the 2nd International Congress on Energy Efficiency and Energy Related Materials (ENEFM2014), Fethiye/Mugla, Turkey, 16–19 October 2014; pp. 112–118. [Google Scholar]
- Mazloomi, K.; Sulaiman, N.; Moayedi, H. An Investigation into the Electrical Impedance of Water Electrolysis Cells—With a View to Saving Energy. Int. J. Electrochem. Sci. 2012, 7, 3466–3481. [Google Scholar]
- Piechocki, J.; Sołowiej, P.; Neugebauer, M. Gazyfikacja biomasy odpadowej z produkcji rolniczej. Inżynieria Rol. 2010, 5, 219–224. [Google Scholar]
- Kwinta, W. Magazynowanie Wodoru. Ciężki los Lekkiego Gazu. Nafta & Gaz Biznes—Grudzień. 2004. Available online: https://www.cire.pl/pokaz-pdf-%252Fpliki%252F2%252Fmag_wodoru770087150.pdf (accessed on 12 June 2020).
- Mizeraczyk, J.; Urashima, K.; Jasinski, M.; Dors, M. Hydrogen Production from Gaseous Fuels by Plasmas—A Review. Int. J. Plasma Environ. Sci. Technol. 2014, 8, 89–97. [Google Scholar]
- Mazloomi, K.; Sulaiman, N.; Ahmad, S.A.; Yunus, N.A. Analysis of the Frequency Response of a Water Electrolysis Cell. Int. J. Electrochem. Sci. 2013, 8, 3731–3739. [Google Scholar]
- Randolph, K. Hydrogen production—Session introduction. In Proceedings of the 2013 Annual Merit Review and Peer Evaluation Meeting, Arlington, VA, USA, 16 May 2013. [Google Scholar]
- Agbli, K.S.; Péra, M.C.; Hissel, D.; Rallières, O.; Turpin, C.; Doumbia, I. Multiphysics simulation of a PEM electrolyser: Energetic Macroscopic Representation approach. Int. J. Hydrogen Energy 2011, 36, 1382–1398. [Google Scholar] [CrossRef]
- Podlinski, J.; Niewulis, A.; Mizeraczyk, J. Electrohydrodynamic flow and particle collection efficiency of a spike-plate type electrostatic precipitator. J. Electrost. 2009, 67, 99–104. [Google Scholar] [CrossRef]
- Diéguez, P.M.; Ursúa, A.; Sanchis, P.; Sopena, C.; Guelbenzu, E.; Gandía, L.M. Thermal performance of a commercial alkaline water electrolyzer: Experimental study and mathematical modeling. Int. J. Hydrogen Energy 2008, 33, 7338–7354. [Google Scholar] [CrossRef]
- Monk, N.; Watson, S. Review of pulsed power for efficient hydrogen production. Int. J. Hydrogen Energy 2016, 41, 7782–7791. [Google Scholar] [CrossRef]
- Siewniak, P.; Grzesik, B. The piecewise-affine model of buck converter suitable for practical stability analysis. Int. J. Circuit Theory Appl. 2015, 43, 3–21. [Google Scholar] [CrossRef]
- Djurhuus, T.; Krozer, V. Numerical analysis of stochastic resonance in a bistable circuit. Int. J. Circuit Theory Appl. 2017, 45, 625–635. [Google Scholar] [CrossRef]
- Ulleberg, Ø. Modeling of advanced alkaline electrolyzers: A system simulation approach. Int. J. Hydrogen Energy 2003, 28, 21–33. [Google Scholar] [CrossRef]
- Tijani, A.S.; Yusup, N.A.B.; Rahim, A.A. Mathematical Modelling and Simulation Analysis of Advanced Alkaline Electrolyzer System for Hydrogen Production. Procedia Technol. 2014, 15, 798–806. [Google Scholar] [CrossRef]
- Artuso, P.; Gammon, R.; Orecchini, F.; Watson, S.J. Alkaline electrolysers: Model and real data analysis. Int. J. Hydrogen Energy 2011, 36, 7956–7962. [Google Scholar] [CrossRef]
- Ursúa, A.; Sanchis, P. Static–dynamic modelling of the electrical behaviour of a commercial advanced alkaline water electrolyser. Int. J. Hydrogen Energy 2012, 37, 18598–18614. [Google Scholar] [CrossRef]
- Dobo, Z.; Palotas, A.B. Impact of the current fluctuation on the efficiency of alkaline water electrolyser. Int. J. Hydrogen Energy 2017, 42, 5627–6434. [Google Scholar] [CrossRef]
- Górecki, K.; Górecki, P.; Zarębski, J. Electrical model of the alkaline electrolyser dedicated for SPICE. Int. J. Circuit Theory Appl. 2018, 46, 1044–1054. [Google Scholar] [CrossRef]
- Górecki, P.; Górecki, K. The influence of a mounting manner of power MOS transistors on characteristics of the Totem-Pole circuit with RLC load. Microelectron. Int. 2016, 33, 176–180. [Google Scholar] [CrossRef]
- Górecki, K.; Zarębski, J.; Górecki, P.; Halbryt, S. The power supply of the hydrogen generator. In Proceedings of the 3rd International Congress on Energy Efficiency and Energy Related Materials (ENEFM2015), Oludeniz, Turkey, 19–23 October 2015; pp. 221–227. [Google Scholar]
- Górecki, K. The electrothermal macromodel of switching voltage regulators from L4970 family. Int. J. Numer. Model. Electron. Netw. Devices Fields 2008, 21, 455–473. [Google Scholar] [CrossRef]
- Zarębski, J.; Górecki, K. Spice-aided modelling of the UC3842 current mode PWM controller with selfheating taken into account. Microelectron. Reliab. 2007, 47, 1145–1152. [Google Scholar] [CrossRef]
- Wilamowski, B.M.; Jaeger, R.C. Computerized Circuit Analysis Using SPICE Programs; McGraw-Hill: New York, NY, USA, 1997. [Google Scholar]
- Zarębski, J.; Górecki, K. Parameters Estimation of the D.C. Electrothermal Model of the Bipolar Transistor. Int. J. Numer. Model. Electron. Netw. Devices Fields 2002, 15, 181–194. [Google Scholar] [CrossRef]
© 2020 by the authors. Licensee MDPI, Basel, Switzerland. This article is an open access article distributed under the terms and conditions of the Creative Commons Attribution (CC BY) license (http://creativecommons.org/licenses/by/4.0/).







