Fuzzy Model for Selecting a Form of Use Alternative for a Historic Building to be Subjected to Adaptive Reuse
Abstract
1. Introduction
- specificity of relationships (network structure of the decision model) both within the criteria set (based on [29]) and the relationship between the said criteria with decision alternatives in the form of feedback (original work);
- accounting for both the negative and positive nature of the aforementioned relationships (original work);
- modelling the uncertainty of expert opinions on the input data for analysis (using fuzzy logic, based on [29]);
- aggregation of fuzzy expert assessments to eliminate their subjective nature (original work);
- operational verification of the approach on the example of the selection of a form of use in the adaptive reuse project of the “Stara Polana” historic building located in Zakopane (original work).
- energy efficiency (F1)
- building quality (F2)
- comfort of the building (F3)
- the building’s environmental impact (F4)
- financial aspects (F5)
- social aspect (F6)
- cultural heritage (F7)
2. Materials and Methods
2.1. Method Proposal
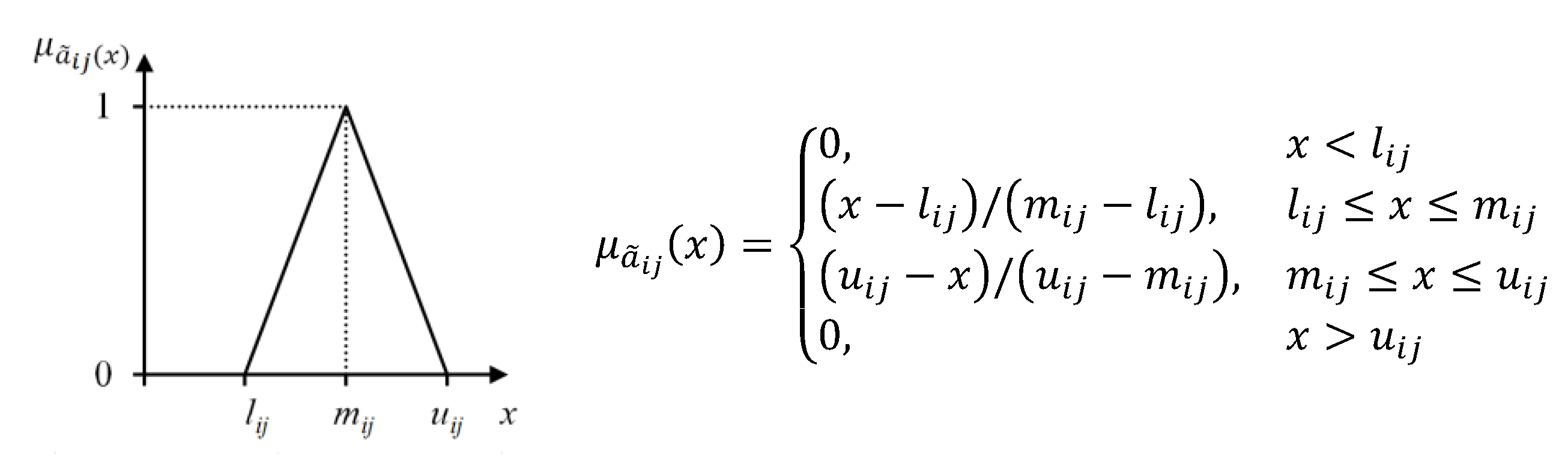
2.2. New Extension of the Fuzzy Weighted Influence Non-Linear Gauge System (WINGS) Method Algorithm
- additive synthesis (negative)
- additive synthesis (reciprocal)
- multiplicative synthesis (norm.)
3. Case Study
3.1. Criterion F1—Energy Efficiency
3.2. Criterion F2—Quality of the Building Envelope
3.3. Criterion F3—Internal Comfort of Use
3.3.1. Subcriterion F3/P1—Room Comfort; Thermal Comfort
3.3.2. Subcriterion F3/P2—Room Comfort; Vibration Comfort
3.3.3. Criterion F3/P3—Room Comfort; Acoustic Comfort
3.4. Criterion F4—Impact on the Environment
Subcriterion F4/P1—Impact on the Environment; PE (Primary Energy) Coefficient (kWh/(m2y))
3.5. Financial Criterion F5
3.6. Criteria F6—Societal Benefits, and F7—Benefits from Preserving Cultural Heritage
4. Results
5. Discussion
6. Conclusions
Author Contributions
Funding
Acknowledgments
Conflicts of Interest
References
- Radziszewska-Zielina, E.; Śladowski, G. Proposal of the Use of a Fuzzy Stochastic Network for the Preliminary Evaluation of the Feasibility of the Process of the Adaptation of a Historical Building to a Particular Form of Use. IOP Conf. Ser. Mater. Sci. Eng. 2017, 245, 072029. [Google Scholar] [CrossRef]
- Nowogońska, B. Diagnoses in the Aging Process of Residential Buildings Constructed Using Traditional Technology. Buildings 2019, 9, 126. [Google Scholar] [CrossRef]
- Skłodowski, M. Przykłady analizy wielokryterialnej w ocenie wartości i ochrony dziedzictwa kultury (Examples of Multi-Criteria Analysis in the Assessment of the Value and Protection of Cultural Heritage), ed. Szmygin, B., Systemy wartościowania dziedzictwa; Lubelskie Towarzystwo Naukowe (Lublin Scientific Association), Międzynarodowa Rada Ochrony Zabytków ICOMOS Politechnika Lubelska (ICOMOS International Council on Monuments and Sites, Lublin University of Technology): Warszawa, Poland, 2015; ISBN 978-83-7947-102-7. [Google Scholar]
- Krawczyk, J. Ideał obiektywności wiedzy a początki wartościowania w konserwatorstwie (Ideal of the Objectivity of Knowledge Versus the Beginnings of Evaluation in Conservation), ed. Szmygin, B., Wartościowanie w ochronie i konserwacji zabytków (Evluation in); Lubelskie Towarzystwo Naukowe, Międzynarodowa Rada Ochrony Zabytków ICOMOS Politechnika Lubelska(ICOMOS International Council on Monuments and Sites, Lublin University of Technology): Warszawa, Poland, 2015; ISBN 9788379471027. [Google Scholar]
- Ustinovičius, L.; Jakučionis, S. Application of multicriteria decision methods in restoration of buildings in the old town. Statyba 2000, 6, 227–236. [Google Scholar] [CrossRef][Green Version]
- Dytczak, M.; Ginda, G. Wybrane wielokryterialne metody wartościowania uwzględniające trudno mierzalność cech zabytków (Selected Multi-criteria Evaluation Methods Taking into Account Qualities of Heritage Sites that are Difficult to Measure), ed. Szmygin; Lubelskie Towarzystwo Naukowe, Międzynarodowa Rada Ochrony Zabytków ICOMOS Politechnika Lubelska (ICOMOS International Council on Monuments and Sites, Lublin University of Technology): Warszawa, Poland, 2015; ISBN 9788379471027. [Google Scholar]
- Dytczak, M. Wybrane Metody Rozwiązywania Wielokryterialnych Problemόw Decyzyjnych w Budownictwie; Politechnika Opolska: Opole, Poland, 2010; ISBN 9788360691946. [Google Scholar]
- Michnik, J. Weighted influence non-linear gauge system (WINGS)-An analysis method for the systems of interrelated components. Eur. J. Oper. Res. 2013, 228, 536–544. [Google Scholar] [CrossRef]
- Paolillo, P.L.; Benedetti, A.; Baresi, U.; Terlizzi, L.; Graj, G. An assessment-based process for modifying the built fabric of historic centres: The case of Como in Lombardy. In Proceedings of the Lecture Notes in Computer Science (including subseries Lecture Notes in Artificial Intelligence and Lecture Notes in Bioinformatics); Springer: Berlin/Heidelberg, Germany, 2011; Volume 6782 LNCS, pp. 162–176. [Google Scholar]
- Dutta, M.; Husain, Z. An application of Multicriteria Decision Making to built heritage. The case of Calcutta. J. Cult. Herit. 2009, 10, 237–243. [Google Scholar] [CrossRef]
- Skłodowski, M.; Dytczak, M.; Szmelter, I. Multicriterial Valorization of a Monument Based on National Registry Data. In Proceedings of the EU-CHIC International Conference on Cultural Heritage, Split, Croatia, 29 May–1 June 2012; pp. 191–192. [Google Scholar]
- Turskis, Z.; Zavadskas, E.K.; Kutut, V. A model based on ARAS-G and AHP methods for multiple criteria prioritizing of heritage value. Int. J. Inf. Technol. Decis. Mak. 2013, 12, 45–73. [Google Scholar] [CrossRef]
- Kutut, V.; Zavadskas, E.K.; Lazauskas, M. Assessment of priority alternatives for preservation of historic buildings using model based on ARAS and AHP methods. Arch. Civ. Mech. Eng. 2014, 14, 287–294. [Google Scholar] [CrossRef]
- Vodopivec, B.; Žarnić, R.; Tamošaitiene, J.; Lazauskas, M.; Šelih, J. Renovation priority ranking by multi-criteria assessment of architectural heritage: The case of castles. Int. J. Strateg. Prop. Manag. 2014, 18, 88–100. [Google Scholar] [CrossRef]
- Belniak, S. Bilansowanie funkcji w procesie przekształceń zespołów zabytkowych miast. In Zeszyty Naukowe/Akademia Ekonomiczna w Krakowie - nr 382; BazEkon-Yadda: Kraków, Poland, 1992. [Google Scholar]
- Fusco Girard, L.; De Toro, P. Integrated spatial assessment: A multicriteria approach to sustainable development of cultural and environmental heritage in San Marco dei Cavoti, Italy. Cent. Eur. J. Oper. Res. 2007, 15, 281–299. [Google Scholar] [CrossRef]
- Cerreta, M.; Panaro, S.; Cannatella, D. Multidimensional spatial decision-making process: Local shared values in action. In Proceedings of the Lecture Notes in Computer Science (including subseries Lecture Notes in Artificial Intelligence and Lecture Notes in Bioinformatics), Salvador de Bahia, Brazil, 18–21 June 2012; Springer: Berlin/Heidelberg, Germany; Volume 7334 LNCS, pp. 54–70. [Google Scholar]
- Tupenaite, L.; Zavadskas, E.K.; Kaklauskas, A.; Turskis, Z.; Seniut, M. Multiple criteria assessment of alternatives for built and human environment renovation. J. Civ. Eng. Manag. 2010, 16, 257–266. [Google Scholar] [CrossRef]
- Doulamis, A.; Kioussi, A.; Karoglou, M.; Matsatsinis, N.; Moropoulou, A. Collective intelligence in cultural heritage protection. In Proceedings of the Lecture Notes in Computer Science (including subseries Lecture Notes in Artificial Intelligence and Lecture Notes in Bioinformatics), Limassol, Cyprus, 29 October–3 November 2012; Springer: Berlin/Heidelberg, Germany; Volume 7616 LNCS, pp. 310–319. [Google Scholar]
- Delegou, E.T.; Kiranoudis, C.; Sayas, J.; Moropoulou, A. DEVELOPING AN INTEGRATED DECISION MAKING SYSTEM FOR THE ASSESSMENT OF CLEANING INTERVENTIONS ON MARBLE ARCHITECTURAL SURFACES. In Proceedings of the 12th International Congress on the Deterioration and Conservation of Stone Columbia University, New York, NY, USA, 21–25 October 2012; pp. 1–11. [Google Scholar]
- Arroyo Torralvo, F.; Villegas Sanchez, R. An application of multicriteria decision methodology to religious heritage conservation: The case of the Cathedral of Jerez de la Frontera (CADIZ). In Proceedings of the 6th European Symposium on Religious Art Restoration & Conservation ESRARC’2014, Florence, Italy, 6–9 June 2014; pp. 9–11. [Google Scholar]
- Zavadskas, E.K.; Antucheviciene, J. Development of an indicator model and ranking of sustainable revitalization alternatives of derelict property: A Lithuanian case study. Sustain. Dev. 2006, 14, 287–299. [Google Scholar] [CrossRef]
- Zavadskas, E.K.; Antucheviciene, J. Multiple criteria evaluation of rural building’s regeneration alternatives. Build. Environ. 2007, 42, 436–451. [Google Scholar] [CrossRef]
- Fuentes, J.M. Methodological bases for documenting and reusing vernacular farm architecture. J. Cult. Herit. 2010, 11, 119–129. [Google Scholar] [CrossRef]
- Wang, H.J.; Zeng, Z.T. A multi-objective decision-making process for reuse selection of historic buildings. Expert Syst. Appl. 2010, 37, 1241–1249. [Google Scholar] [CrossRef]
- Giove, S.; Rosato, P.; Breil, M. A Multicriteria Approach for the Evaluation of the Sustainability of Re-Use of Historic Buildings in Venice. SSRN Electron. J. 2011. [Google Scholar] [CrossRef][Green Version]
- Giove, S.; Rosato, P.; Breil, M. An application of multicriteria decision making to built heritage. The redevelopment of Venice Arsenale. J. Multi-Criteria Decis. Anal. 2010, 17, 85–99. [Google Scholar] [CrossRef]
- Ferretti, V.; Bottero, M.; Mondini, G. Decision making and cultural heritage: An application of the Multi-Attribute Value Theory for the reuse of historical buildings. J. Cult. Herit. 2014, 15, 644–655. [Google Scholar] [CrossRef]
- Radziszewska-Zielina, E.; Śladowski, G. Supporting the selection of a variant of the adaptation of a historical building with the use of fuzzy modelling and structural analysis. J. Cult. Herit. 2017, 26, 53–63. [Google Scholar] [CrossRef]
- Fedorczak-Cisak, M.; Kowalska-Koczwara, A.; Nering, K.; Pachla, F.; Radziszewska-Zielina, E.; Śladowski, G.; Tatara, T.; Ziarko, B. Evaluation of the criteria for selecting proposed variants of utility functions in the adaptation of historic regional architecture. Sustainability 2019, 11, 1094. [Google Scholar] [CrossRef]
- Fedorczak-Cisak, M.; Kowalska, A.; Radziszewska-Zielina, E.; Śladowski, G.; Pachla, F.; Tatara, T. A multi-criteria approach for selecting the utility function of the historical building “Stara Polana” located in Zakopane. MATEC Web Conf. 2019, 262, 07002. [Google Scholar] [CrossRef]
- Roberts, F.S. Applications of the theory of meaningfulness to psychology. J. Math. Psychol. 1985, 29, 311–332. [Google Scholar] [CrossRef]
- Saaty, T.L. Decision Making with Dependence and Feedback: The Analytic Network Process; RWS Publications: Pittsburgh, PA, USA, 1996; ISBN 0-9620317-9-8. [Google Scholar]
- Gabus, A.; Fontela, E. World Problems, An Invitation to Further Thought within the Framework of DEMATEL; Battelle Geneva Research Center: Geneva, Switzerland, 1972; pp. 1–8. [Google Scholar]
- Bouyssou, D.; Marchant, T.; Pirlot, M.; Tsoukias, A.; Vincke, P. Evaluation and Decision Models with Multiple Criteria: Stepping stones Volume 86; Springer Science & Business Media: Berlin/Heidelberg, Germany, 2006. [Google Scholar]
- Churchill, G.A. Badania Marketingowe: Podstawy Metodologiczne; Wydaw. Naukowe PWN: Warszawa, Poland, 2002; ISBN 9788301138202. [Google Scholar]
- Zadeh, L.A. Fuzzy sets. Inf. Control 1965, 8, 338–353. [Google Scholar] [CrossRef]
- Radziszewska-Zielina, E. Assessment methods of partnering relations of Polish, Slovak and Ukrainian construction enterprises with the fuzzy logic. Arch. Civ. Eng. 2011, 57, 87–118. [Google Scholar] [CrossRef]
- Radziszewska-Zielina, E.; Szewczyk, B. Supporting partnering relations management in construction projects’ implementation using AHP and Fuzzy AHP. Procedia Eng. 2016, 161, 1096–1100. [Google Scholar] [CrossRef]
- Li, R.J. Fuzzy method in group decision making. Comput. Math. Appl. 1999, 38, 91–101. [Google Scholar] [CrossRef]
- Pedrycz, W.; Gomide, F. Fuzzy Systems Engineering: Toward Human-Centric Computing; John Wiley: Hoboken, NJ, USA, 2007; ISBN 9780471788577. [Google Scholar]
- Yager, R.R.; Filev, D.P. Essentials of Fuzzy Modeling and Control; Wiley: Hoboken, NJ, USA, 1994; ISBN 0471017612. [Google Scholar]
- Bucoń, R.; Sobotka, A. Wyznaczanie zakresu remontu budynku mieszkalnego. Budownictwo i Architektura 2013, 12, 15–22. [Google Scholar]
- Firląg, S.; Chmielewski, A. Defining the Polish nearly Zero Energy Building (nZEB) renovation standard-IOPscience. IOP Conf. Ser. Mater. Sci. Eng. 2018, 415, 1–8. [Google Scholar] [CrossRef]
- Firlag, S. Cost-optimal plus energy building in a cold climate. Energies 2019, 12, 3841. [Google Scholar] [CrossRef]
- DIRECTIVE (EU) 2018/844 OF THE EUROPEAN PARLIAMENT AND OF THE COUNCIL of 30 May 2018 Amending Directive 2010/31/EU on the Energy Performance of Buildings and Directive 2012/27/EU on Energy Efficiency (Text with EEA Relevance); EU: Brussels, Belgium, 2018.
- Romanska-Zapala, A.; Bomberg, M.; Yarbrough, D.W. Buildings with environmental quality management: Part 4: A path to the future NZEB. J. Build. Phys. 2019, 43, 3–21. [Google Scholar] [CrossRef]
- Yarbrough, D.W.; Bomberg, M.; Romanska-Zapala, A. Buildings with environmental quality management, part 3: From log houses to environmental quality management zero-energy buildings. J. Build. Phys. 2019, 42, 672–691. [Google Scholar] [CrossRef]
- Romanska-Zapala, A.; Bomberg, M.; Dechnik, M.; Fedorczak-Cisak, M.; Furtak, M. On Preheating of the Outdoor Ventilation Air. Energies 2019, 13, 15. [Google Scholar] [CrossRef]
- Romanska-Zapala, A.; Bomberg, M.; Fedorczak-Cisak, M.; Furtak, M.; Yarbrough, D.; Dechnik, M. Buildings with environmental quality management, part 2: Integration of hydronic heating/cooling with thermal mass. J. Build. Phys. 2018, 41, 397–417. [Google Scholar] [CrossRef]
- PN-EN ISO-ISO 6946:2017-Building Components and Building Elements—Thermal Resistance and Thermal Transmittance—Calculation Methods; Polish Standardization Committee: Warsaw, Poland, 2017.
- Rozporządzenie Ministra Infrastruktury i Budownictwa z dnia 14 listopada 2017 r. zmieniające rozporządzenie w sprawie warunków technicznych, jakim powinny odpowiadać budynki i ich usytuowanie (Regulation of the Minister of Infrastructure and Construction. Available online: http://prawo.sejm.gov.pl/isap.nsf/DocDetails.xsp?id=WDU20170002285 (accessed on 19 April 2020).
- Rozporządzenie Ministra Infrastruktury i Rozwoju z dnia 27 lutego 2015 r. w Sprawie Metodologii Wyznaczania Charakterystyki Energetycznej Budynku lub części Budynku oraz świadectw Charakterystyki Energetycznej (Regulation of the Minister of Infrastructure. Available online: http://prawo.sejm.gov.pl/isap.nsf/DocDetails.xsp?id=WDU20150000376 (accessed on 19 April 2020).
- Description of the Leakage Test According to the Standard PN EN 13829. Available online: http://ceph.pibp.pl/wp-content/uploads/proba-szczelnosci_DE_04_09_str32-35.pdf (accessed on 20 April 2020).
- Performing Thermovision Tests According to the Standard PN EN 13187. Available online: http://www.praze.pl/UserFiles/File/Pakiety/5/5.1/Zastosowanietermowizjiwbudownictwie-szkolenie2.pdf (accessed on 20 April 2020).
- Kisilewicz, T. Passive control of indoor climate conditions in low energy buildings. Energy Procedia 2015, 78, 49–54. [Google Scholar] [CrossRef][Green Version]
- Dudzik, M.; Tomczyk, K.; Sieja, M. Optimal dynamic error formula for charge output accelerometer obtained by the neural network. In 2018 International Symposium on Electrical Machines; SME 2018; Institute of Electrical and Electronics Engineers Inc.: Piscataway, NJ, USA, 2018. [Google Scholar]
- Kisilewicz, T. Wpływ izolacji termicznej ścian na mikroklimat w budynkach w okresie letnim. Mater. Bud. 2015, 1, 112–115. [Google Scholar] [CrossRef]
- Firląg, S.; Piasecki, M. NZEB Renovation Definition in a Heating Dominated Climate: Case Study of Poland. Appl. Sci. 2018, 8, 1605. [Google Scholar] [CrossRef]
- Piasecki, M.; Kostyrko, K.; Pykacz, S. Indoor environmental quality assessment: Part 1: Choice of the indoor environmental quality sub-component models. J. Build. Phys. 2017, 41, 264–289. [Google Scholar] [CrossRef]
- PN-EN ISO 7730: 2006. Ergonomics of The thermal Environment—Analytical Determination and Interpretation of Thermal Comfort Using the Calculation of PMV and PPD Indicators and Criteria of Local Thermal Comfort; Polish Standardization Committee: Warsaw, Poland, 2005. [Google Scholar]
- PN ISO 7726: 2001. Ergonomics of the Thermal Environment. Instruments for Measuring Physical Quantities; Polish Standardization Committee: Warsaw, Poland, 2001. [Google Scholar]
- ISO-ISO 9920:2007-Ergonomics of the Thermal Environment—Estimation of Thermal insulation and Water Vapour Resistance of a Clothing Ensemble. Available online: https://www.iso.org/standard/39257.html (accessed on 19 April 2020).
- Sun, K.; Zhang, W. Combined Annoyance Assessment of Subway Train-Induced Structural Vibration and Ambient Noise. Shock Vib. 2016, 2016, 8. [Google Scholar] [CrossRef]
- Ögren, M.; Gidlöf-Gunnarsson, A.; Smith, M.; Gustavsson, S.; Waye, K.P. Comparison of annoyance from railway noise and railway vibration. Int. J. Environ. Res. Public Health 2017, 14, 805. [Google Scholar] [CrossRef]
- Radziszewska-Zielina, E.; Kania, E.; Śladowski, G. Problems of the selection of construction technology for structures in the centres of urban agglomerations. Archives Civ. Eng. 2018, 64, 55–71. [Google Scholar] [CrossRef]
- Gierke, M.E.; Coerman, R.R. The biodynamics of human response to vibration and impact.-PubMed-NCBI. Ind. Med. Surg. 1963, 32, 30–32. [Google Scholar]
- Dudzik, M.; Tomczyk, K.; Jagiello, A.S. Analysis of the error generated by the voltage output accelerometer using the optimal structure of an artificial neural network. In Proceedings of the 2018 19th International Conference on Research and Education in Mechatronics, REM 2018, Delft, The Netherlands, 7–8 June 2018; Institute of Electrical and Electronics Engineers Inc.: Piscataway, NJ, USA, 2018; pp. 7–11. [Google Scholar]
- PN-B-02171: 2017-06. Evaluation of Human Exposure to Vibration in Buildings; Polish Standardization Committee: Warsaw, Poland, 2017. [Google Scholar]
- Morioka, M.; Griffin, M.J. Difference thresholds for intensity perception of whole-body vertical vibration: Effect of frequency and magnitude. J. Acoust. Soc. Am. 2000, 107, 620–624. [Google Scholar] [CrossRef] [PubMed]
- Okokon, E.O.; Yli-Tuomi, T.; Turunen, A.W.; Tiittanen, P.; Juutilainen, J.; Lanki, T. Traffic noise, noise annoyance and psychotropic medication use. Environ. Int. 2018, 119, 287–294. [Google Scholar] [CrossRef]
- Beranek, L.L. Acoustic Measurements; American Institute of Physics: New York, NY, USA, 1949; ISBN 088-318590-3. [Google Scholar]
- Bruel & Kjaer. Environmental Noise Measurement; Bruel & Kjaer: Nærum, Denmark, 2001. [Google Scholar]
- Makarewicz, R.; Gołȩbiewski, R. Estimation of the long term average sound level from hourly average sound levels. Appl. Acoust. 2016, 111, 116–120. [Google Scholar] [CrossRef]
- Malchaire, J. Sound Measuring Instruments; WHO: Brussels, Belgium, 1994. [Google Scholar]
- Costa, J.J.L.; Nascimento, E.O.D.; Oliveira, L.N.D.; Caldas, L.V.E. Pressure sound level measurements at an educational environment in Goiânia, Goiás. J. Phys. Conf. Ser. 2017, 975, 012055. [Google Scholar] [CrossRef]
- Park, T.; Kim, M.; Jang, C.; Choung, T.; Sim, K.-A.; Seo, D.; Chang, S. The Public Health Impact of Road-Traffic Noise in a Highly-Populated City, Republic of Korea: Annoyance and Sleep Disturbance. Sustainability 2018, 10, 2947. [Google Scholar] [CrossRef]
- PN-EN 15251: 2012. Indoor Environmental Input Parameters for Design and Assessment of Energy Performance of Buildings Addressing Indoor Air Quality, Thermal Environment, Lighting and Acoustics; PKN: Warsaw, Poland, 2012. [Google Scholar]
- PN-B-02151-2: 2018-01. Building Acoustics—Noise Protection in Buildings—Part 2: Requirements for Acceptable Sound Level in Rooms; Polish Standardization Committee: Warsaw, Poland, 2018. [Google Scholar]
- Bogucki, D. Feasibility Study—Guide; PRESSCOM Sp. z o.o.: Wrocław, Poland, 2016. [Google Scholar]
- Radziszewska-Zielina, E.; Rumin, R. Analysis Of The Profitability of Investment In Renewable Energy Sources On The Example of A Semi-Detached House. In International Conference on the Sustainable Energy and Environment Development; SEED, AGH, Center of Energy: Kraków, Poland, 2016; pp. 17–19. [Google Scholar]
- Affelt, W. Technical Heritage as a Part of Culture, Towards a Sustainable Heritage (Part 2), Protection of Monuments; Natl. Herit. Board Poland: Warsaw, Poland, 2009; pp. 53–82. [Google Scholar]
- Radziszewska-Zielina, E.; Śladowski, G. Evaluation of historic building conversion options in the context of sustainable development. Czas. Tech. Bud. 2014, 2014, 153–164. [Google Scholar]
- Korentz, J.; Nowogońska, B. Assessment of the life cycle of masonry walls in residential buildings. MATEC Web Conf. 2018, 174, 01025. [Google Scholar] [CrossRef]



















| Assessing Element Significance in the System | Assessing Element Influence in the System | ||
|---|---|---|---|
| Linguistic assessment | Triangular fuzzy numbers | Linguistic assessment | Triangular fuzzy numbers |
| No significance (NS) | (0, 0, 1) | No influence (NI) | (0, 0, 1) |
| Low significance (LS) | (0, 1, 2) | Low influence (LI) | (0, 1, 2) |
| Average significance (AS) | (1, 2, 3) | Average influence (AI) | (1, 2, 3) |
| High significance (HS) | (2, 3, 3) | High influence (HI) | (2, 3, 3) |
| Criteria/Sub-Criterion No. | Alternative No. | |||
|---|---|---|---|---|
| Reference—Hostel (Extant State) | Alternative 1—Five-Star Hotel | Alternative 2—Folk Art Gallery | Alternative 3—Conference and Training Centre | |
| Criterion F1 F1/P1 (coefficient U (W/m2K)) | 0.55 | 0–0.15—class A 0.16–0.22—class B U ≥ 0.23—class C | 0–0.15—class A 0.16–0.22—class B U ≥ 0.23—class C | 0–0.15—class A 0.16–0.22—class B U ≥ 0.23—class C |
| Criterion F1 F1/P2 (FE (Final Energy), kWh/(m2a)) | 244.79 | FE reduction: > 60%—class A > 50%—class B > 40%—class C | FE reduction: > 60%—class A > 50%—class B > 40%—class C | FE reduction: > 60%—class A > 50%—class B > 40%—class C |
| Criterion F2 F2/P1 n50, (1/h) | For negative pressure n50 = 10.09 For overpressure n50 = 8.83 | 0–0.6—class A 0.6–1.5—class B n50 ≥ 1.5—class C | 0–0.6—class A 0.6–1.5—class B n50 ≥ 1.5—class C | 0–0.6—class A 0.6–1.5—class B n50 ≥ 1.5—class C |
| Criterion F3 F3/P1 (PMV (-)) | −0.7/0.25 | −0.2–0.2—class A −0.5–0.5—class B −0.5 > PMV > 0.5 —class C | –0.2–0.2—class A –0.5–0.5—class B –0.5 > PMV > 0.5—class C | –0.2–0.2—class A –0.5–0.5—class B –0.5 > PMV > 0.5—class C |
| Criterion F3 F3/P2 (Frequency (Hz)) | 0–0.79—class A 0.8–1.19—class B > 1.2—class C | 0–1.19—class A 1.2–3.99—class B > 4.0—class C | 0–1.09—class A * 1.1–1.99—class B * > 2.0—class C * | |
| Criterion F3 F3/P3 LA,eq/LAF,max (dB) | 40.5/50.3 | ≤ 20/27—class A ≤ 25/32—class B ≤ 30/36—class C | ≤ 30/37—class A ≤ 35/42—class B ≤ 40/46—class C | ≤ 20/27—class A* ≤ 25/32—class B * ≤ 30/36—class C * |
| Criterion F4 F4/P1 PE (Primary Energy)H+W (kWh/m2a) | 86.24 | 0–20—class A 21–59—class B PE ≥ 60—class C | 0–20—class A 21–59—class B PE ≥ 60—class C | 0–20—class A 21–59—class B PE ≥ 60—class C |
| Criterion F5 PI (Profitability Index) | 1.03 | 1.06 | 0.05 | 0.56 |
| Criterion F6 (%) | 0.13 | 0.18 | 0.42 | 0.28 |
| Criterion F7 (%) | 0.16 | 0.22 | 0.38 | 0.23 |
| Alternatives | Positive Relationships | Negative Relationships | ||||||
|---|---|---|---|---|---|---|---|---|
| r | c | r + c | r – c | r | c | r + c | r − c | |
| V0 | 0.022 | 0.042 | 0.065 | −0.020 | 0.049 | 0.019 | 0.069 | 0.030 |
| V1 | 0.059 | 0.060 | 0.119 | −0.001 | 0.016 | 0.020 | 0.036 | −0.004 |
| V2 | 0.033 | 0.042 | 0.075 | −0.009 | 0.031 | 0.016 | 0.047 | 0.015 |
| V3 | 0.043 | 0.049 | 0.092 | −0.006 | 0.022 | 0.017 | 0.039 | 0.004 |
| Alternatives | Rating | Positive Relations (norm.) | Negative Relations (norm.) | Inverted Negative Relations (norm.) | Additive Synthesis (Negative) (norm.) | Additive Synthesis (Reciprocal) | Multiplicative Synthesis (norm.) |
|---|---|---|---|---|---|---|---|
| V0 hostel | 4 | 0.184 | 0.360 | 0.163 | –0.424 | 0.174 | 0.115 |
| V1 hotel | 1 | 0.339 | 0.188 | 0.313 | 0.366 | 0.326 | 0.405 |
| V2 art gallery | 3 | 0.215 | 0.246 | 0.239 | –0.076 | 0.227 | 0.195 |
| V3 Conference centre | 2 | 0.262 | 0.206 | 0.285 | 0.134 | 0.273 | 0.285 |
© 2020 by the authors. Licensee MDPI, Basel, Switzerland. This article is an open access article distributed under the terms and conditions of the Creative Commons Attribution (CC BY) license (http://creativecommons.org/licenses/by/4.0/).
Share and Cite
Fedorczak-Cisak, M.; Kowalska-Koczwara, A.; Pachla, F.; Radziszewska-Zielina, E.; Szewczyk, B.; Śladowski, G.; Tatara, T. Fuzzy Model for Selecting a Form of Use Alternative for a Historic Building to be Subjected to Adaptive Reuse. Energies 2020, 13, 2809. https://doi.org/10.3390/en13112809
Fedorczak-Cisak M, Kowalska-Koczwara A, Pachla F, Radziszewska-Zielina E, Szewczyk B, Śladowski G, Tatara T. Fuzzy Model for Selecting a Form of Use Alternative for a Historic Building to be Subjected to Adaptive Reuse. Energies. 2020; 13(11):2809. https://doi.org/10.3390/en13112809
Chicago/Turabian StyleFedorczak-Cisak, Małgorzata, Alicja Kowalska-Koczwara, Filip Pachla, Elżbieta Radziszewska-Zielina, Bartłomiej Szewczyk, Grzegorz Śladowski, and Tadeusz Tatara. 2020. "Fuzzy Model for Selecting a Form of Use Alternative for a Historic Building to be Subjected to Adaptive Reuse" Energies 13, no. 11: 2809. https://doi.org/10.3390/en13112809
APA StyleFedorczak-Cisak, M., Kowalska-Koczwara, A., Pachla, F., Radziszewska-Zielina, E., Szewczyk, B., Śladowski, G., & Tatara, T. (2020). Fuzzy Model for Selecting a Form of Use Alternative for a Historic Building to be Subjected to Adaptive Reuse. Energies, 13(11), 2809. https://doi.org/10.3390/en13112809

