Advanced Lithium-Ion Battery Model for Power System Performance Analysis
Abstract
1. Introduction
- Online models used to extract in real time the parameters that are not directly measurable, such as the State of Charge (SoC) or the State of Health (SoH) of the battery. These parameters are indirectly determined from measurement data and used in a Battery Management System (BMS);
- Offline models used for exploratory simulations or system design [10].
2. Model Development
2.1. Model Assumptions
- The open circuit voltage temperature-dependent hysteresis phenomena is not taken into account [19].
- The ageing phenomena [17] are neglected.
- The self-discharge of the battery is neglected.
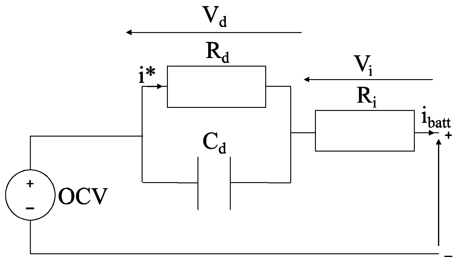
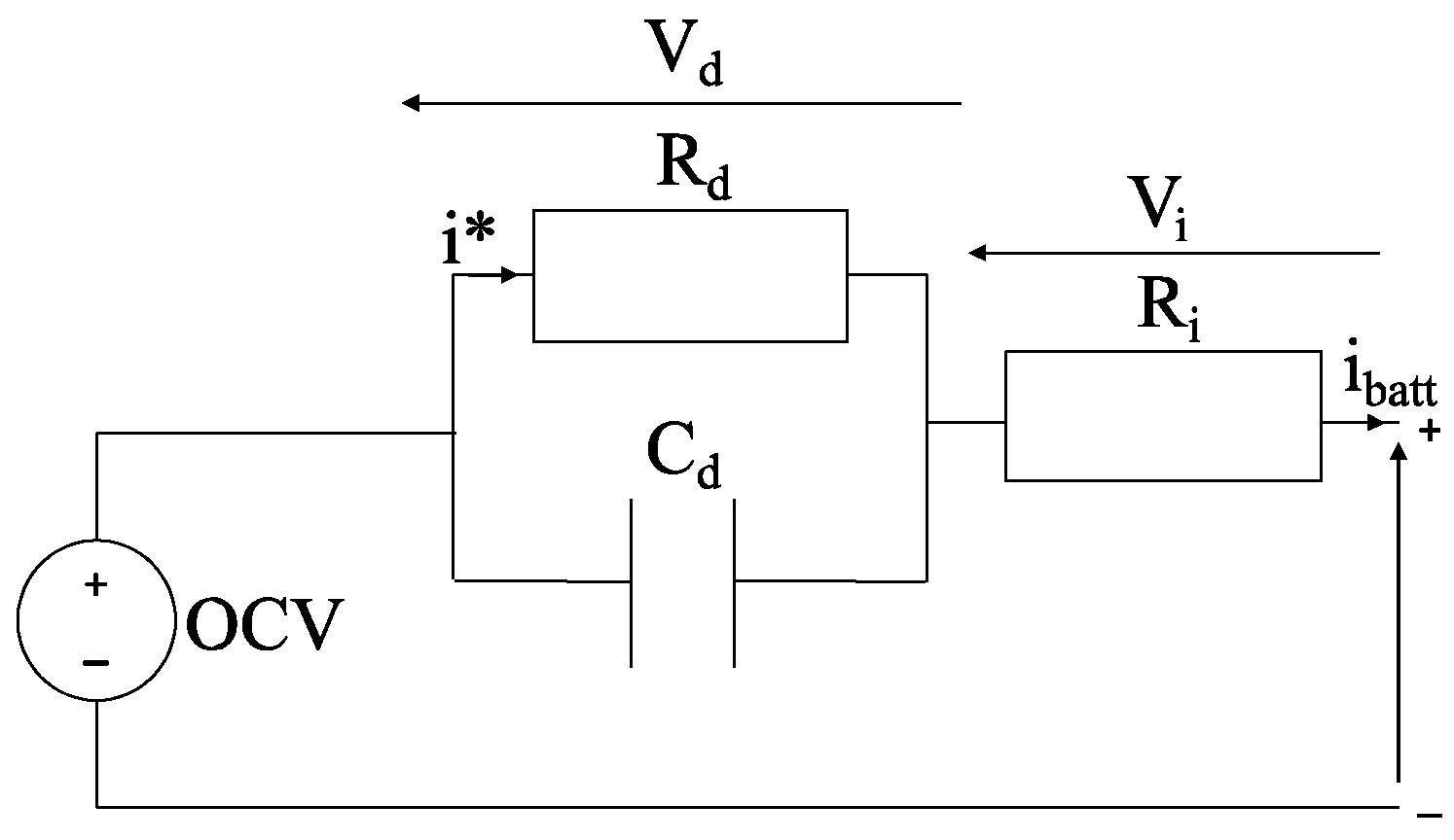
- Internal ohmic resistance (Ri) is assumed constant.
- Diffusion resistance (Rd) is only dependent on the battery current.
2.2. Battery Voltage Equation
2.3. SoC Estimation
2.4. Available Battery Capacity
2.5. Charging and Discharging Efficiency
2.6. Current Filter
3. Results
3.1. Experimental Setup for Parameter Estimation
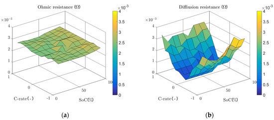
3.2. Battery Parameter Estimation
3.3. Electrical Scaling of the Battery Model
3.4. Model Validation
3.5. Model Robustness Analysis
4. Conclusions
Author Contributions
Funding
Acknowledgments
Conflicts of Interest
References
- Faisal, M.; Hannan, M.A.; Ker, P.J.; Hussain, A.; Mansor, M.B.; Blaabjerg, F. Review of Energy Storage System Technologies in Microgrid Applications: Issues and Challenges. IEEE Access 2018, 6, 35143–35164. [Google Scholar] [CrossRef]
- Horiba, T. Lithium-Ion Battery Systems. Proc. IEEE 2014, 102, 939–950. [Google Scholar] [CrossRef]
- Schimpe, M.; Naumann, M.; Truong, N.; Hesse, H.C.; Santhanagopalan, S.; Saxon, A.; Jossen, A. Energy efficiency evaluation of a stationary lithium-ion battery container storage system via electro-thermal modeling and detailed component analysis. Appl. Energy 2018, 210, 211–229. [Google Scholar] [CrossRef]
- Plett, G.L. Battery Management Systems: Battery Modeling; Artech House: Boston, MA, USA, 2015; ISBN 978-1-63081-023-8. [Google Scholar]
- Julien, C.; Mauger, A.; Vijh, A.; Zaghib, K. Lithium Batteries: Science and Technology. Available online: https://www.springer.com/gp/book/9781402069444 (accessed on 16 April 2020).
- Arya, A.; Sharma, A.L. Polymer electrolytes for lithium ion batteries: A critical study. Ionics 2017, 23, 497–540. [Google Scholar] [CrossRef]
- Barreras, J.V.; Pinto, C.; de Castro, R.; Schaltz, E.; Swierczynski, M.; Andreasen, S.J.; Araújo, R.E. An improved parametrization method for Li-ion linear static Equivalent Circuit battery Models based on direct current resistance measurement. In Proceedings of the 2015 International Conference on Sustainable Mobility Applications, Renewables and Technology (SMART), Renewables and Technology (SMART), Kuwait City, Kuwait, 23–25 November 2015. [Google Scholar] [CrossRef]
- Mathematical Modeling of Lithium Batteries; Springer: Berlin/Heidelberg, Germany, 2017; ISBN 978-3-319-03526-0.
- Lacressonniere, F.; Varais, A.; Roboam, X. Scaling Electro-Thermal Model of a Lithium-Ion Battery for Time-Accelerated Experiments in a HIL System. In Proceedings of the Symposium De Genie Electrique (SGE 2018), Nancy, France, 3–5 July 2018. [Google Scholar]
- Cheng, C.-S.; Chung, H.S.-H.; Lau, R.W.-H.; Hong, K.Y.-W. Time-Domain Modeling of Constant Phase Elements for Simulation of Lithium Battery Behavior. IEEE Trans. Power Electron. 2019, 34, 7573–7587. [Google Scholar] [CrossRef]
- Saidani, F.; Hutter, F.X.; Scurtu, R.-G.; Braunwarth, W.; Burghartz, J.N. Lithium-ion battery models: A comparative study and a model-based powerline communication. Adv. Radio Sci. 2017, 15, 83–91. [Google Scholar] [CrossRef]
- Xiong, R.; Cao, J.; Yu, Q.; He, H.; Sun, F. Critical Review on the Battery State of Charge Estimation Methods for Electric Vehicles. IEEE Access 2018, 6, 1832–1843. [Google Scholar] [CrossRef]
- Cabello, J.M.; Roboam, X.; Junco, S.; Bru, E.; Lacressonniere, F. Scaling Electrochemical Battery Models for Time-Accelerated and Size-Scaled Experiments on Test-Benches. IEEE Trans. Power Syst. 2017, 32, 4233–4240. [Google Scholar] [CrossRef]
- Rivera-Barrera, J.; Muñoz-Galeano, N.; Sarmiento-Maldonado, H. SoC Estimation for Lithium-ion Batteries: Review and Future Challenges. Electronics 2017, 6, 102. [Google Scholar] [CrossRef]
- Tremblay, O.; Dessaint, L.-A.; Dekkiche, A.-I. A Generic Battery Model for the Dynamic Simulation of Hybrid Electric Vehicles. In Proceedings of the 2007 IEEE Vehicle Power and Propulsion Conference, Arlington, TX, USA, 9–12 September 2007; pp. 284–289. [Google Scholar] [CrossRef]
- Tremblay, O.; Dessaint, L.-A. Experimental Validation of a Battery Dynamic Model for EV Applications. WEVJ 2009, 3, 289–298. [Google Scholar] [CrossRef]
- Hernandez-Torres, D.; Turpin, C.; Roboam, X.; Sareni, B. Modélisation en Flux d’énergie d’une Batterie Li-Ion en vue d’une optimisation technico économique d’un Micro-réseau Intelligent. Available online: https://hal.archives-ouvertes.fr/hal-01361618/ (accessed on 16 April 2020).
- Zhang, Y.; Lyden, S.; de la Barra, B.A.L.; Haque, M.E. Optimization of Tremblay’s battery model parameters for plug-in hybrid electric vehicle applications. In Proceedings of the 2017 Australasian Universities Power Engineering Conference (AUPEC), Melbourne, Australia, 19–22 November 2017; pp. 1–6. [Google Scholar]
- Baccouche, I.; Jemmali, S.; Manai, B.; Omar, N.; Amara, N. Improved OCV Model of a Li-Ion NMC Battery for Online SOC Estimation Using the Extended Kalman Filter. Energies 2017, 10, 764. [Google Scholar] [CrossRef]
- Kim, J.H.; Lee, S.J.; Lee, J.M.; Cho, B.H. A new direct current internal resistance and state of charge relationship for the Li-ion battery pulse power estimation. In Proceedings of the 2007 7th Internatonal Conference on Power Electronics, Daegu, South Korea, 22–26 October 2007; pp. 1173–1178. [Google Scholar] [CrossRef]
- Locorotondo, E.; Pugi, L.; Berzi, L.; Pierini, M.; Lutzemberger, G. Online Identification of Thevenin Equivalent Circuit Model Parameters and Estimation State of Charge of Lithium-Ion Batteries. In Proceedings of the 2018 IEEE International Conference on Environment and Electrical Engineering and 2018 IEEE Industrial and Commercial Power Systems Europe (EEEIC / I&CPS Europe), Palermo, Italy, 12–15 June 2018; pp. 1–6. [Google Scholar]
- Cabello, J.M.; Bru, E.; Roboam, X.; Lacressonniere, F.; Junco, S. Battery Dynamic Model Improvement with Parameters Estimation and Experimental Validation. In Proceedings of the International Conference on Integrated Modeling and Analysis in Applied Control and Automation, Bergeggi, Italy, 21–23 September 2015; ISBN 978-88-97999-63-8. [Google Scholar]
- Wu, G.; Li, C.; Jiao, D.; Liu, Y.; Hao, C.; Zhang, Y.; Yu, H.; Zhang, M. State of Charge Estimation for Li-Ion Battery Based on an Improved Peukert’s Equation with Temperature Correction Factor. In Proceedings of the 2016 IEEE Vehicle Power and Propulsion Conference (VPPC), Hangzhou, China, 17–20 October 2016; pp. 1–4. [Google Scholar]
- Lee, J.; Kim, Y.; Cha, H. A new battery parameter identification considering current, SOC and Peukert’s effect for hybrid electric vehicles. In Proceedings of the 2011 IEEE Energy Conversion Congress and Exposition, Phoenix, AZ, USA, 16–21 September 2011; pp. 1489–1494. [Google Scholar]
- LGChem Catalog Global 2018. Available online: https://www.lgchem.com/upload/file/product/LGChem_Catalog_Global_2018.pdf (accessed on 16 April 2020).
- Battery Management Systems: Accurate State-of-Charge Indication for Battery Powered Applications; Pop, V., Ed.; Philips research book series; Springer: Dordrecht, The Netherlands, 2008; ISBN 978-1-4020-6944-4. [Google Scholar]

















| Cathode Material | Short Name of Cathode Material | Anode Material |
|---|---|---|
| LiCoO2 | LCO | Graphite |
| LiNiO2 | LNO | Graphite |
| LiNi0.8Co0.15Al0.05O2 | NCA | Graphite |
| LiNixMnyCo1–x–yO2 | NMC | Graphite |
| LiMn2O4 | LMO | Graphite |
| LiNi1/2Mn3/2O4 | LNM | Graphite |
| LiFePO4 | LFP | Li4Ti5O12 |
| Module | Cell | |
|---|---|---|
| Model | UPB 4860 (14S4P) | JP 1.5 |
| Energy (kWh) | 3.1 | 0.22 |
| Capacity (Ah) | 60 | 15.75 |
| Voltage Range (V) | 42-59 | 3-4.2 |
| Max current (A) | 240 A | 60 A |
| Dimension (W × H × D, mm) | 445 × 122 × 550 | - |
| Technology | - | NMC1 |
| Symbol | Value | Unit |
|---|---|---|
| E0 | 2.721 | V |
| A | 1.459 | V |
| B | 0.04013 | A−1 |
| K | 0.0004589 | A−1 |
| Q | 15.75 | Ah |
| Vmaxch | 4.2 | V |
| Vmindisch | 3.0 | V |
| Coefficient | Configuration Variables |
|---|---|
| Constant specific voltage E0 | |
| Exponential zone voltage A | |
| Exponential zone capacity B | |
| Polarisation constant K | |
| Capacity Q | |
| Ohmic resistance | |
| Diffusion resistance | |
| Diffusion capacitance |
© 2020 by the authors. Licensee MDPI, Basel, Switzerland. This article is an open access article distributed under the terms and conditions of the Creative Commons Attribution (CC BY) license (http://creativecommons.org/licenses/by/4.0/).
Share and Cite
Potrykus, S.; Kutt, F.; Nieznański, J.; Fernández Morales, F.J. Advanced Lithium-Ion Battery Model for Power System Performance Analysis. Energies 2020, 13, 2411. https://doi.org/10.3390/en13102411
Potrykus S, Kutt F, Nieznański J, Fernández Morales FJ. Advanced Lithium-Ion Battery Model for Power System Performance Analysis. Energies. 2020; 13(10):2411. https://doi.org/10.3390/en13102411
Chicago/Turabian StylePotrykus, Szymon, Filip Kutt, Janusz Nieznański, and Francisco Jesús Fernández Morales. 2020. "Advanced Lithium-Ion Battery Model for Power System Performance Analysis" Energies 13, no. 10: 2411. https://doi.org/10.3390/en13102411
APA StylePotrykus, S., Kutt, F., Nieznański, J., & Fernández Morales, F. J. (2020). Advanced Lithium-Ion Battery Model for Power System Performance Analysis. Energies, 13(10), 2411. https://doi.org/10.3390/en13102411

