Wave Power Extraction from a Dual Oscillating-Water- Column System Composed of Heave-Only and Onshore Units
Abstract
1. Introduction
2. Model Introduction
2.1. Governing Equations
2.2. Wave Generation and Absorption in OpenFOAM
2.3. Dynamic Mesh Technology
3. Model Validation
3.1. Decay Test
3.2. Validation of Waves Interaction with a Heave-Only Box
3.3. Validation of Wave Energy Conversion Efficiency
3.4. Convergence Tests
4. Results and Discussion
4.1. Effects of Chamber Widths
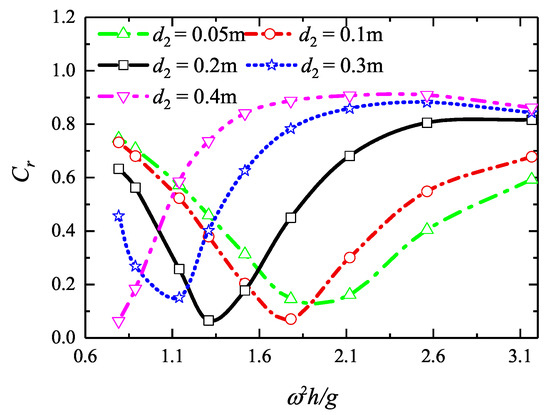
4.2. Effects of the Back-Lip Draught of the Heave-Only Device
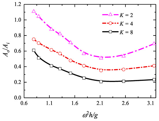
4.3. Effects of Non-Dimensional Spring Coefficient K
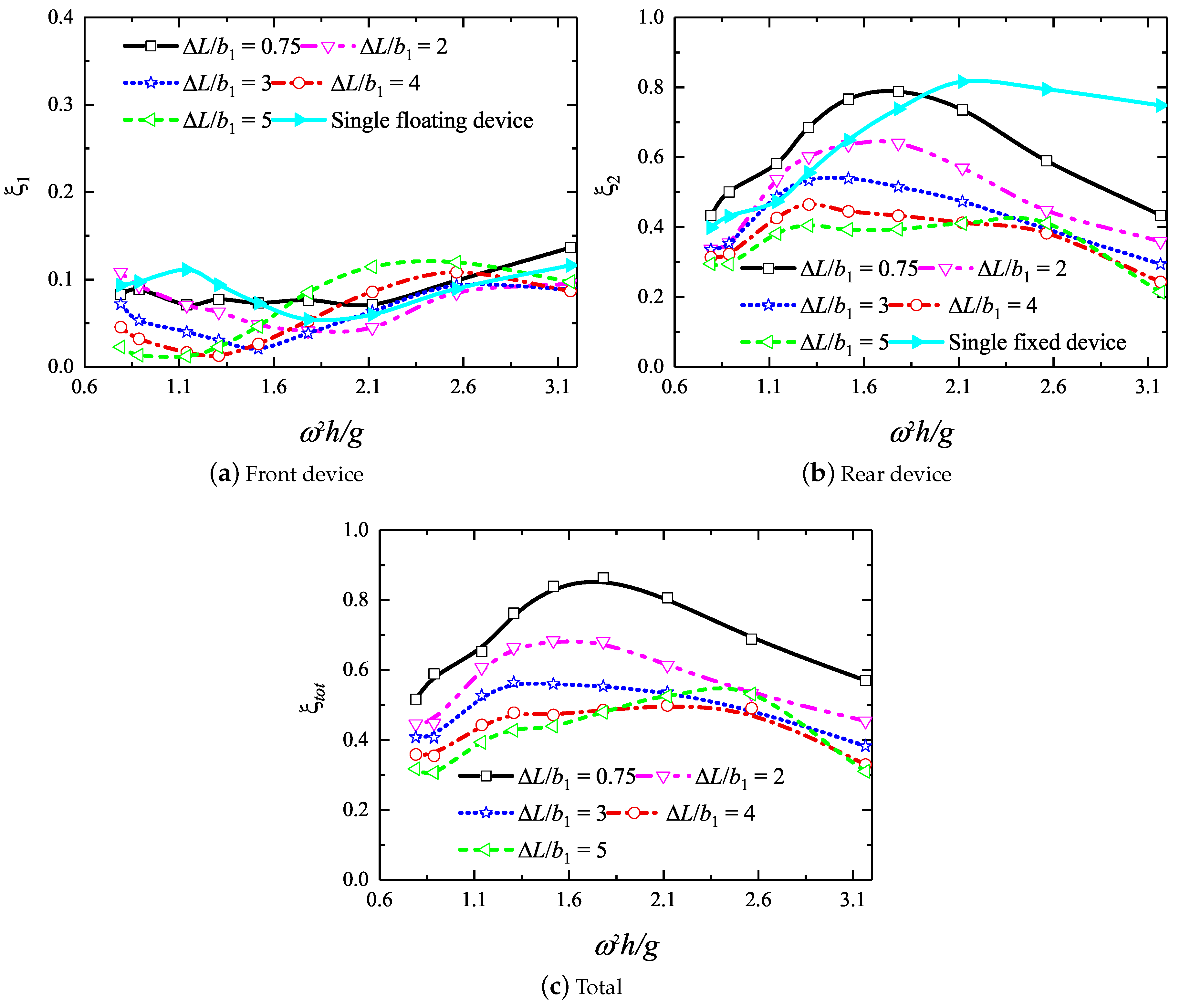
4.4. Effects of Devices Interval
5. Conclusions
- (1)
- For a dual-OWC device, the configuration that the rear chamber width is larger than the front one is more helpful for high-performance over a wide wave-frequency range, and the total efficiency is mainly dominated by the rear unit.
- (2)
- The back-lip draught of the front heave-only unit can significantly affect the hydrodynamic efficiencies and the resonance of the rear OWC. A relatively small draught can improve the system performance to a great extent, especially for intermediate and low frequency waves.
- (3)
- The vertical spring restraint force significantly influences the front heave-only device, and a larger spring stiffness is more advisable for the high-performance of the whole system.
- (4)
- The interval between these two OWC devices is a significant factor that influences both the front and rear OWC devices. A small interval is recommended for practical engineering applications.
Author Contributions
Funding
Conflicts of Interest
References
- Liu, C. A tunable resonant oscillating water column wave energy converter. Ocean Eng. 2016, 116, 82–89. [Google Scholar] [CrossRef]
- Liu, Y.; Li, Y.; He, F.; Wang, H. Comparison study of tidal stream and wave energy technology development between China and some Western Countries. Renew. Abil. Energy Rev. 2017, 76, 701–716. [Google Scholar] [CrossRef]
- Carballo, R.; Iglesias, G. Wave farm impact based on realistic wave-WEC interaction. Energy 2013, 51, 216–229. [Google Scholar] [CrossRef]
- Ozkop, E.; Altas, I.H. Control, power and electrical components in wave energy conversion systems: A review of the technologies. Renew. Sustain. Energy Rev. 2017, 67, 106–115. [Google Scholar] [CrossRef]
- Heath, T.V. A review of oscillating water columns. Philos. Trans. R. Soc. Lond. 2012, 370, 235. [Google Scholar] [CrossRef]
- Evans, D.V. The Oscillating Water Column Wave-energy Device. IMA J. Appl. Math. 1978, 22, 423–433. [Google Scholar] [CrossRef]
- Malmo, O.; Reitan, A. Wave-power absorption by an oscillating water column in a channel. J. Fluid Mech. 2006, 158, 153–175. [Google Scholar] [CrossRef]
- Deng, Z.; Huang, Z.; Law, A.W.K. Wave power extraction from a bottom-mounted oscillating water column converter with a V-shaped channel. Proc. R. Soc. A Math. Phys. Eng. Sci. 2014, 470, 20140074. [Google Scholar] [CrossRef]
- Hong, D.C.; Hong, S.Y.; Hong, S.W. Numerical study on the reverse drift force of floating BBDB wave energy absorbers. Ocean Eng. 2004, 31, 1257–1294. [Google Scholar] [CrossRef]
- Luo, Y.; Nader, J.R.; Cooper, P.; Zhu, S.P. Nonlinear 2D analysis of the efficiency of fixed Oscillating Water Column wave energy converters. Renew. Energy 2014, 64, 255–265. [Google Scholar] [CrossRef]
- Vyzikas, T.; Deshoulières, S.; Giroux, O.; Barton, M.; Greaves, D. Numerical study of fixed Oscillating Water Column with RANS-type two-phase CFD model. Renew. Energy 2017, 102, 294–305. [Google Scholar] [CrossRef]
- Sarmento, A.J.N.A. Wave flume experiments on two-dimensional oscillating water column wave energy devices. Exp. Fluids 1992, 12, 286–292. [Google Scholar] [CrossRef]
- He, F.; Huang, Z.H.; Law, W.K.A. An experimental study of a floating breakwater with asymmetric pneumatic chambers for wave energy extraction. Appl. Energy 2013, 106, 222–231. [Google Scholar] [CrossRef]
- Wang, R.Q.; Ning, D.Z.; Zhang, C.W.; Zou, Q.P.; Liu, Z. Nonlinear and viscous effects on the hydrodynamic performance of a fixed OWC wave energy converter. Coast. Eng. 2018, 131, 42–50. [Google Scholar] [CrossRef]
- Rezanejad, K.; Bhattacharjee, J.; Guedes Soares, C. Analytical and numerical study of dual-chamber oscillating water columns on stepped bottom. Renew. Energy 2015, 75, 272–282. [Google Scholar] [CrossRef]
- Ning, D.; Wang, R.; Zhang, C. Numerical simulation of a dual-chamber oscillating water column wave energy converter. Sustainability 2017, 9, 1599. [Google Scholar] [CrossRef]
- He, F.; Leng, J.; Zhao, X. An experimental investigation into the wave power extraction of a floating box-type breakwater with dual pneumatic chambers. Appl. Ocean Res. 2017, 67, 21–30. [Google Scholar] [CrossRef]
- Elhanafi, A.; Macfarlane, G.; Ning, D. Hydrodynamic performance of single–chamber and dual–chamber offshore–stationary Oscillating Water Column devices using CFD. Appl. Energy 2018, 228, 82–96. [Google Scholar] [CrossRef]
- Ning, D.; Wang, R.; Chen, L.; Sun, K. Experimental investigation of a land-based dual-chamber OWC wave energy converter. Renew. Sustain. Energy Rev. 2019, 105, 48–60. [Google Scholar] [CrossRef]
- Windt, C.; Davidson, J.; Ringwood, J.V. High-fidelity numerical modelling of ocean wave energy systems: A review of computational fluid dynamics-based numerical wave tanks. Renew. Sustain. Energy Rev. 2018, 93, 610–630. [Google Scholar] [CrossRef]
- Iturrioz, A.; Guanche, R.; Lara, J.L.; Vidal, C.; Losada, I.J. Validation of OpenFOAM® for Oscillating Water Column three-dimensional modeling. Ocean Eng. 2015, 107, 222–236. [Google Scholar] [CrossRef]
- Rezanejad, K.; Gadelho, J.F.M.; Guedes Soares, C. Hydrodynamic analysis of an oscillating water column wave energy converter in the stepped bottom condition using CFD. Renew. Energy 2019, 135, 1241–1259. [Google Scholar] [CrossRef]
- Deng, Z.Z.; Wang, C.; Yao, Y.; Higuera, P. Numerical simulation of an oscillating water column device installed over a submerged breakwater. J. Mar. Sci. Technol. 2019. [Google Scholar] [CrossRef]
- Devolder, B.; Troch, P.; Rauwoens, P. Performance of a buoyancy-modified k-ω and k-ω SST turbulence model for simulating wave breaking under regular waves using OpenFOAM. Coast. Eng. 2018, 138, 49–65. [Google Scholar] [CrossRef]
- Hirt, C.W.; Nichols, B.D. Volume of fluid (VOF) method for the dynamics of free boundaries. J. Comput. Phys. 1981, 39, 201–225. [Google Scholar] [CrossRef]
- Weller, H. Derivation, Modelling And Solution Of The Conditionally Averaged Two-Phase Flow Equations; No Tech. Rep. TR/HGW; Nabla Ltd: London, UK, 2002. [Google Scholar]
- Deshpande, S.S.; Anumolu, L.; Trujillo, M.F. Evaluating the performance of the two-phase flow solver interFoam. Comput. Sci. Discov. 2012, 5, 014016. [Google Scholar] [CrossRef]
- Jasak, H. Error Analysis and Estimation for the Finite Volume Method With Applications to Fluid Flows. Ph.D. Thesis, Imperial College, London, UK, 1996; p. A385. [Google Scholar]
- Jacobsen, N.G.; Fuhrman, D.R.; Fredsøe, J. A wave generation toolbox for the open-source CFD library: OpenFoam®. Int. J. Numer. Methods Fluids 2012, 70, 1073–1088. [Google Scholar] [CrossRef]
- Jasak, H.; Tukovic, Z. Automatic mesh motion for the unstructured finite volume method. Trans. FAMENA 2006, 30, 1–20. [Google Scholar]
- Itō, S. Study of the transient heave oscillation of a floating cylinder. Mass. Inst. Technol. 1977, 82, 19–26. [Google Scholar]
- Maskell, S.J.; Ursell, F. The transient motion of a floating body. J. Fluid Mech. 1970, 44, 303–313. [Google Scholar] [CrossRef]
- Bruinsma, N.; Paulsen, B.; Jacobsen, N. Validation and application of a fully nonlinear numerical wave tank for simulating floating offshore wind turbines. Ocean Eng. 2018, 147, 647–658. [Google Scholar] [CrossRef]
- Maruo, H. On the increase of the resistance of a ship in rough seas. J. Zosen Kiokai 1960, 1960, 5–13. [Google Scholar] [CrossRef]
- Nojiri, N. Study on the Drifting Force on Two-Dimensional Floating Body in Regular Waves. Trans. West-Jpn. Soc. Nav. Arch. 1980, 51, 131–152. [Google Scholar]
- Koo, W.; Kim, M.H. Freely floating-body simulation by a 2D fully nonlinear numerical wave tank. Ocean Eng. 2004, 31, 2011–2046. [Google Scholar] [CrossRef]
- Luo, Y.; Wang, Z.; Peng, G.; Xiao, Y.; Zhai, L.; Liu, X.; Zhang, Q. Numerical simulation of a heave-only floating OWC (oscillating water column) device. Energy 2014, 76, 799–806. [Google Scholar] [CrossRef]
- Simonetti, I.; Cappietti, L.; Elsafti, H.; Oumeraci, H. Evaluation of air compressibility effects on the performance of fixed OWC wave energy converters using CFD modelling. Renew. Energy 2018, 119, 741–753. [Google Scholar] [CrossRef]
- Elhanafi, A.; Kim, C.J. Experimental and numerical investigation on wave height and power take–off damping effects on the hydrodynamic performance of an offshore–stationary OWC wave energy converter. Renew. Energy 2018, 125, 518–528. [Google Scholar] [CrossRef]
- Elhanafi, A.; Macfarlane, G.; Fleming, A.; Leong, Z. Investigations on 3D effects and correlation between wave height and lip submergence of an offshore stationary OWC wave energy converter. Appl. Ocean Res. 2017, 64, 203–216. [Google Scholar] [CrossRef]
- Ning, D.; Zhao, X.; Göteman, M.; Kang, H. Hydrodynamic performance of a pile-restrained WEC-type floating breakwater: An experimental study. Renew. Energy 2016, 95, 531–541. [Google Scholar] [CrossRef]
- Bouali, B.; Larbi, S. Sequential optimization and performance prediction of an oscillating water column wave energy converter. Ocean Eng. 2017, 131, 162–173. [Google Scholar] [CrossRef]



















| T (s) | h (m) | H (m) | ||
|---|---|---|---|---|
| 0.9 | 3.1654 | 0.637 | 0.02 | 0.01587 |
| 1 | 2.5639 | 0.637 | 0.02 | 0.01295 |
| 1.1 | 2.1189 | 0.637 | 0.02 | 0.01086 |
| 1.2 | 1.7805 | 0.637 | 0.02 | 0.0093 |
| 1.3 | 1.5171 | 0.637 | 0.02 | 0.0082 |
| 1.4 | 1.3081 | 0.637 | 0.02 | 0.0073 |
| 1.5 | 1.1395 | 0.637 | 0.02 | 0.0066 |
| 1.7 | 0.8871 | 0.637 | 0.02 | 0.0055 |
| 1.8 | 0.7913 | 0.637 | 0.02 | 0.0051 |
| Case | (m) | (m) | / | (m) | (m) | (m) |
|---|---|---|---|---|---|---|
| I | 0.20 | 0.10 | 1/2 | 0.05 | 0.05 | 0.05 |
| II | 0.18 | 0.12 | 12/18 | 0.05 | 0.05 | 0.05 |
| III | 0.17 | 0.13 | 13/17 | 0.05 | 0.05 | 0.05 |
| IV | 0.15 | 0.15 | 1 | 0.05 | 0.05 | 0.05 |
| V | 0.13 | 0.17 | 17/13 | 0.05 | 0.05 | 0.05 |
| VI | 0.1 | 0.2 | 2 | 0.05 | 0.05 | 0.05 |
| VII | 0.05 | 0.25 | 5 | 0.05 | 0.05 | 0.05 |
| (m) | 0.075 | 0.2 | 0.3 | 0.4 | 0.5 | 0.8 | 1 | 1.5 | 1.8 | 2 |
| 0.75 | 2 | 3 | 4 | 5 | 8 | 10 | 15 | 18 | 20 |
© 2019 by the authors. Licensee MDPI, Basel, Switzerland. This article is an open access article distributed under the terms and conditions of the Creative Commons Attribution (CC BY) license (http://creativecommons.org/licenses/by/4.0/).
Share and Cite
Wang, C.; Deng, Z.; Wang, P.; Yao, Y. Wave Power Extraction from a Dual Oscillating-Water- Column System Composed of Heave-Only and Onshore Units. Energies 2019, 12, 1742. https://doi.org/10.3390/en12091742
Wang C, Deng Z, Wang P, Yao Y. Wave Power Extraction from a Dual Oscillating-Water- Column System Composed of Heave-Only and Onshore Units. Energies. 2019; 12(9):1742. https://doi.org/10.3390/en12091742
Chicago/Turabian StyleWang, Chen, Zhengzhi Deng, Pinjie Wang, and Yu Yao. 2019. "Wave Power Extraction from a Dual Oscillating-Water- Column System Composed of Heave-Only and Onshore Units" Energies 12, no. 9: 1742. https://doi.org/10.3390/en12091742
APA StyleWang, C., Deng, Z., Wang, P., & Yao, Y. (2019). Wave Power Extraction from a Dual Oscillating-Water- Column System Composed of Heave-Only and Onshore Units. Energies, 12(9), 1742. https://doi.org/10.3390/en12091742

