Impacts of Non-Uniform Border Temperature Variations on Time-Dependent Nanofluid Free Convection within a Trapezium: Buongiorno’s Nanofluid Model
Abstract
1. Introduction
2. Problem Definition
3. Solution Technique and Validation
4. Results and Discussion
5. Conclusions
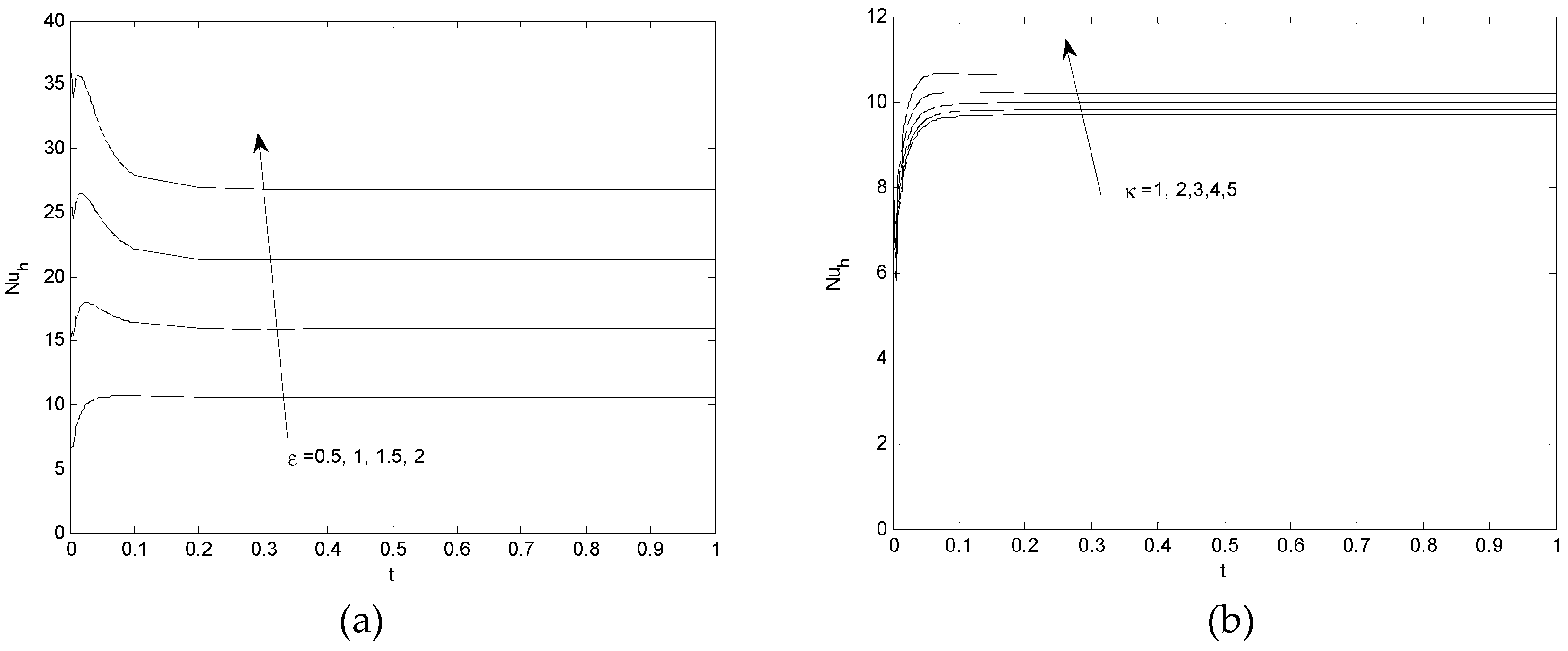
- The unsteady behavior of the Nusselt number showed one or two enhanced picks at the early stages of natural convection, and then the Nusselt number tended to its asymptotic steady magnitude. The non-dimensional time to obtain the stationary position was of order 10−1.
- The increase in wave amplitude increased Nu. Maximum energy transport occurred for the wave parameter value of about 0.75. The thermal transmission as a function of wave number showed a semi-sinusoidal behavior. However, the general trend of the behavior showed that the growth of the wave number decreased the intensity of energy transport.
- The variation of wave number affected the nano-sized particles dispensation in the trapezium. The growth of the wave parameter from 1 to 3 induced concentration peaks in the vicinity of the hot cavity border. The increase in Ra boosted the convection thermal transmission but diminished the effect of wall wave number.
- When Rayleigh number was low the nanoparticles dispensation was notable inside the trapezoidal domain. However, the rise of Ra shifted the distribution of the nanoparticles toward the cavity walls. The thermophoretic force characterized the motion of nano-sized particles away from the hot border into the central domains of the trapezium.
Author Contributions
Funding
Acknowledgments
Conflicts of Interest
Nomenclature
| Roman Letters | |
| C | Nanoparticles volume fraction |
| C0 | Reference nanoparticles volume fraction |
| cp | Heat capacity (J⋅kg−1⋅K−1) |
| DB | Brownian diffusion coefficient (m2⋅s−1) |
| DT | Thermophoretic diffusion coefficient (m2⋅s−1) |
| g | Acceleration due to gravity (m⋅s−2) |
| H | Height of the enclosure (m) |
| H′ | Effective height of the enclosure (m) |
| k | Thermal conductivity (W⋅m−1⋅K−1) |
| L | Width of the enclosure (m) |
| Le | Lewis number, |
| Nb | Parameter of Brownian motion, |
| Nr | Parameter of buoyancy ratio, |
| Nt | Parameter of thermophoresis, |
| Nu | Local Nusselt number |
| Average Nusselt number | |
| p | Pressure (Pa) |
| Pr | Prandtl number, |
| Ra | Rayleigh number, |
| t | Time in dimensional form (s) |
| T | Fluid temperature (K) |
| Tc | Cooled wall temperature (K) |
| Th | Hot wall temperature (K) |
| u, v | Velocity components along the x and y axes in dimensional form (m⋅s−1) |
| U, V | Dimensionless velocity components |
| X | Dimensionless coordinate |
| Y | Dimensionless coordinate |
| x, y | Dimensional Cartesian coordinates (m) |
| Greek Symbols | |
| α | Thermal diffusivity (m2⋅s−1) |
| β | Volumetric thermal expansion coefficient (K−1) |
| δ | Thermal capacity ratio parameter |
| μ | Dynamic viscosity (Pa⋅s) |
| θ | Temperature in dimensionless form |
| κ | Wave number of the sinusoidal hot-wall temperature |
| ρf | Density of the fluid (kg⋅m−3) |
| ρf0 | Fluid density at a reference temperature (kg⋅m−3) |
| ρp | Density of nanoparticles (kg⋅m−3) |
| Fluid heat capacity (J⋅m−3⋅K−1) | |
| Nanoparticle heat capacity (J⋅m−3⋅K−1) | |
| ε | Amplitude of the sinusoidal hot-wall temperature |
| τ | Dimensionless time |
| ϕ | Rescaled nanoparticles volume fraction |
References
- De Davis, G.; Jones, I.P. Natural convection in a square cavity: A bench mark numerical solution. Int. J. Numer. Meth. Fluids 1983, 3, 227–248. [Google Scholar] [CrossRef]
- Barakos, G.; Mitsoulis, E.; Assimacopoulos, D. Natural convection flow in a square cavity revisited: Laminar and turbulent models with wall functions. Int. J. Numer. Meth. Heat Fluid Flow 1994, 18, 695–719. [Google Scholar] [CrossRef]
- Abu-Nada, E.; Masoud, Z.; Oztop, H.F.; Campo, A. Effect of nanofluid variable properties on natural convection in enclosures. Int. J. Therm. Sci. 2010, 49, 479–491. [Google Scholar] [CrossRef]
- Lee, T.S. Numerical experiments with fluid convection in tilted nonrectangular enclosures. Numer. Heat Transf. A 1991, 19, 487–499. [Google Scholar] [CrossRef]
- Saeid, H.N.; Yaacob, Y. Natural convection in a square cavity with spatial side-wall temperature variation. Numer. Heat Transf. A 2006, 49, 683–697. [Google Scholar] [CrossRef]
- Demirdžić, I.; Lilek, Ž.; Perić, M. Fluid flow and heat transfer test problems solutions for non- orthogonal grids: Benchmark. Int. J. Numer. Methods Fluids 1992, 15, 329–354. [Google Scholar] [CrossRef]
- Sheremet, M.A.; Groşan, T.; Pop, I. Steady-state free convection in right-angle porous trapezoidal cavity filled by a nanofluid: Buongiorno’s mathematical model. Eur. J. Mech. B/Fluids 2015, 53, 241–250. [Google Scholar] [CrossRef]
- Kuyper, R.A.; Hoogendoorn, C.J. Laminar natural convection flow in trapezoidal enclosures. Numer. Heat Transf. Part A 2012, 28, 55–67. [Google Scholar] [CrossRef]
- Kumar, B.V.R.; Kumar, B. Parallel computation of natural convection in trapezoidal porous enclosures. Math. Comput. Simul. 2004, 65, 221–229. [Google Scholar] [CrossRef]
- Baytas, A.C.; Pop, I. Natural convection in a trapezoidal enclosure filled with a porous medium. Int. J. Eng. Sci. 2001, 39, 125–134. [Google Scholar] [CrossRef]
- Varol, Y.; Oztop, H.F.; Pop, I. Numerical analysis of natural convection in an inclined trapezoidal enclosure filled with a porous medium. Int. J. Therm. Sci. 2008, 47, 1316–1331. [Google Scholar] [CrossRef]
- Varol, Y.; Oztop, H.F.; Pop, I. Natural convection in right-angle porous trapezoidal enclosure partially cooled from inclined wall. Int. Commun. Heat Mass Transf. 2009, 36, 6–15. [Google Scholar] [CrossRef]
- Varol, Y.; Oztop, H.F.; Pop, I. Maximum density effects on buoyancy-driven convection in a porous trapezoidal cavity. Int. Commun. Heat Mass Transf. 2010, 37, 401–409. [Google Scholar] [CrossRef]
- Varol, Y. Natural convection in divided trapezoidal cavities filled with fluid saturated porous media. Int. J. Heat Mass Transf. 2010, 37, 1350–1358. [Google Scholar] [CrossRef]
- Peric, M. Natural convection in trapezoidal cavities. Numer. Heat Transf. A 1993, 24, 213–219. [Google Scholar] [CrossRef]
- van der Eyden, J.T.; van der Meer, T.H.; Hanjalic, K.; Biezen, E.; Bruining, J. Double diffusive natural convection in trapezoidal enclosures. Int. J. Heat Mass Transf. 1998, 41, 1885–1898. [Google Scholar] [CrossRef]
- Boussaid, M.; Djerrada, A.; Bouhadef, M. Thermosolutal transfer within trapezoidal cavity. Numer. Heat Transf. A 2003, 43, 431–448. [Google Scholar] [CrossRef]
- Papanicolaou, E.; Belessiotis, V. Double-diffusive natural convection in an asymmetric trapezoidal enclosure: Unsteady behavior in the laminar and the turbulent-flow regime. Int. J. Heat Mass Transf. 2005, 48, 191–209. [Google Scholar] [CrossRef]
- Hammami, M.; Mseddi, M.; Baccar, M. Numerical study of coupled heat and mass transfer in a trapezoidal cavity. Eng. Appl. Comput. Fluid Dyn. 2007, 1, 216–226. [Google Scholar] [CrossRef][Green Version]
- Choi, S.U.S. Enhancing thermal conductivity of fluids with nanoparticles. In Developments and Applications of Non-Newtonian Flows; Siginer, D.A., Wang, H.P., Eds.; Argonne National Lab.: Lemont, IL, USA, 1995; Volume 231, pp. 99–105. [Google Scholar]
- Wen, D.; Lin, G.; Vafaei, S.; Zhang, K. Review of nanofluids for heat transfer applications. Particuology 2009, 7, 141–150. [Google Scholar] [CrossRef]
- Godson, L.; Raja, B.; Lal, D.M.; Wongwises, S. Enhancement of heat transfer using nanofluids—An overview. Renew. Sustain. Energy Rev. 2010, 14, 629–641. [Google Scholar] [CrossRef]
- Das, S.K.; Choi, S.U.S.; Yu, W.; Pradeep, Y. Nanofluids: Science and Technology; Wiley: Hoboken, NJ, USA, 2008. [Google Scholar]
- Nield, D.A.; Bejan, A. Convection in Porous Media, 4th ed.; Springer: New York, NY, USA, 2013. [Google Scholar]
- Minkowycz, W.J.; Sparrow, E.M.; Abraham, J.P. (Eds.) Nanoparticle Heat Transfer and Fluid Flow; CRC Press, Taylor & Fracis Group: New York, NY, USA, 2013. [Google Scholar]
- Stathis, E.E. Michaelides, Nanofluidics: Thermodynamic and Transport Properties; Springer: Berlin, Germany, 2014. [Google Scholar]
- Shenoy, A.; Sheremet, M.; Pop, I. Convective Flow and Heat Transfer from Wavy Surfaces: Viscous Fluids, Porous Media and Nanofluids; CRC Press, Taylor & Francis Group: New York, NY, USA, 2016. [Google Scholar]
- Buongiorno, J.; Bang, I.C.; Buongiorno, J.; Venerus, D.C.; Prabhat, N.; McKrell, T.; Townsend, J.; Christianson, R.; Tolmachev, Y.V.; Keblinski, P.; et al. A benchmark study on the thermal conductivity of nanofluids. J. Appl. Phys. 2009, 106, 1–14. [Google Scholar] [CrossRef]
- Kakaç, S.; Pramuanjaroenkij, A. Review of convective heat transfer enhancement with nanofluids. Int. J. Heat Mass Transf. 2009, 52, 3187–3196. [Google Scholar] [CrossRef]
- Manca, O.; Jaluria, Y.; Poulikakos, D. Heat transfer in nanofluids. Adv. Mech. Eng. 2010, 2010. [Google Scholar] [CrossRef]
- Fan, J.; Wang, L. Review of heat conduction in nanofluids. ASME J. Heat Transf. 2011, 133, 1–14. [Google Scholar] [CrossRef]
- Mahian, O.; Kianifar, A.; Kalogirou, S.A.; Pop, I.; Wongwises, S. A review of the applications of nanofluids in solar energy. Int. J. Heat Mass Transf. 2013, 57, 582–594. [Google Scholar] [CrossRef]
- Sheikholeslami, M.; Ganji, D.D. Nanofluid convective heat transfer using semi analytical and numerical approaches: A review. J. Taiwan Inst. Chem. Eng. 2016, 65, 43–77. [Google Scholar] [CrossRef]
- Groşan, T.; Sheremet, M.A.; Pop, I. Heat transfer enhancement in cavities filled with nanofluids. In Advances in Heat Transfer Fluids: From Numerical to Experimental Techniques; Minea, A.A., Ed.; CRC Press, Taylor & Francis: New York, NY, USA, 2017; pp. 267–284. [Google Scholar]
- Myers, T.G.; Ribera, H.; Cregan, V. Does mathematics contribute to the nanofluid debate? Int. J. Heat Mass Transf. 2017, 111, 279–288. [Google Scholar] [CrossRef]
- Alsabery, A.I.; Chamkhab, A.J.; Salehd, H.; Hashima, I.; Chananee, B. Effects of spatial side-wall temperature variations on transient natural convection of a nanofluid in a trapezoidal cavity. Int. J. Numer. Methods Heat Fluid Flow 2017, 27, 1365–1384. [Google Scholar] [CrossRef]
- Oztop, H.F. Natural convection in partially cooled and inclined porous rectangular enclosure. Int. J. Therm. Sci. 2006, 46, 149–156. [Google Scholar] [CrossRef]
- Hirota, K.; Sugimoto, M.; Kato, M.; Tsukagoshi, K.; Tanigawa, T.; Sugimoto, H. Preparation of zinc oxide ceramics with a sustainable antibacterial activity under dark conditions. Ceram. Int. 2010, 36, 497–506. [Google Scholar] [CrossRef]
- Pepper, D.W.; Heinrich, J.C. The finite element method. In Basic Concepts and Applications with Matlab, Maple and Comsol; CRC Press, Taylor & Francis Group: New York, NY, USA, 2017. [Google Scholar]
- Blazek, J. Computational Fluid Dynamics: Principles and Applications; Elsevier: Oxford, UK, 2001. [Google Scholar]
- Buongiorno, J. Convective transport in nanofluids. ASME J. Heat Transf. 2006, 128, 240–250. [Google Scholar] [CrossRef]









| Nodes | |
|---|---|
| 2.7049 | |
| 2.7065 | |
| 2.7067 | |
| 2.7068 | |
| 2.7069 | |
| 2.7068 |
| Pr | Demirdzic et al. [6] | Present |
|---|---|---|
| 0.1 | 5.9849 | 5.9829 |
| 10 | 7.5801 | 7.5847 |
© 2019 by the authors. Licensee MDPI, Basel, Switzerland. This article is an open access article distributed under the terms and conditions of the Creative Commons Attribution (CC BY) license (http://creativecommons.org/licenses/by/4.0/).
Share and Cite
Revnic, C.; Ghalambaz, M.; Groşan, T.; Sheremet, M.; Pop, I. Impacts of Non-Uniform Border Temperature Variations on Time-Dependent Nanofluid Free Convection within a Trapezium: Buongiorno’s Nanofluid Model. Energies 2019, 12, 1461. https://doi.org/10.3390/en12081461
Revnic C, Ghalambaz M, Groşan T, Sheremet M, Pop I. Impacts of Non-Uniform Border Temperature Variations on Time-Dependent Nanofluid Free Convection within a Trapezium: Buongiorno’s Nanofluid Model. Energies. 2019; 12(8):1461. https://doi.org/10.3390/en12081461
Chicago/Turabian StyleRevnic, Cornelia, Mohammad Ghalambaz, Teodor Groşan, Mikhail Sheremet, and Ioan Pop. 2019. "Impacts of Non-Uniform Border Temperature Variations on Time-Dependent Nanofluid Free Convection within a Trapezium: Buongiorno’s Nanofluid Model" Energies 12, no. 8: 1461. https://doi.org/10.3390/en12081461
APA StyleRevnic, C., Ghalambaz, M., Groşan, T., Sheremet, M., & Pop, I. (2019). Impacts of Non-Uniform Border Temperature Variations on Time-Dependent Nanofluid Free Convection within a Trapezium: Buongiorno’s Nanofluid Model. Energies, 12(8), 1461. https://doi.org/10.3390/en12081461

