Combined Effect of Rotational Augmentation and Dynamic Stall on a Horizontal Axis Wind Turbine
Abstract
1. Introduction
2. Yaw Aerodynamics
D = Nsinα − Tcosα
Tq = Nsinθ + Tcosθ
3. NREL UAE Wind Tunnel Data Used
3.1. Description of the Wind Tunnel Test
3.2. Determination of the Local Angle of Attack at Blade Sections
- (1)
- Obtain the experimental aerodynamic forces perpendicular and tangential to the rotor plane at different spanwise locations and azimuthal angles, Th and Tq.
- (2)
- Initialize the axial and tangential induced velocities, typically vai = vti = 0.
- (3)
- Calculate new values of the induced velocities using the following formula of BEM theory:where B is the number of blades, F is Prandtl’s tip loss factor and fg is Glauert’s correction for the turbulent wake state [31].
- (4)
- Apply Schepers’ yaw model to consider the skewed wake effect:where the amplitudes A1 and A2 and the phases ψ1 and ψ2 have been modelled as a function of the radial location and yaw angle [1].
- (5)
- If the difference between [, ] and [, ] is bigger than a certain tolerance, proceed to Step 3. Else, continue.
- (6)
- Compute the local AOA using Equation (1). Obtain the sectional lift and drag.
4. Numerical Modelling of the 2D Unsteady Airfoil Flow and Validation
4.1. Numerical Modelling
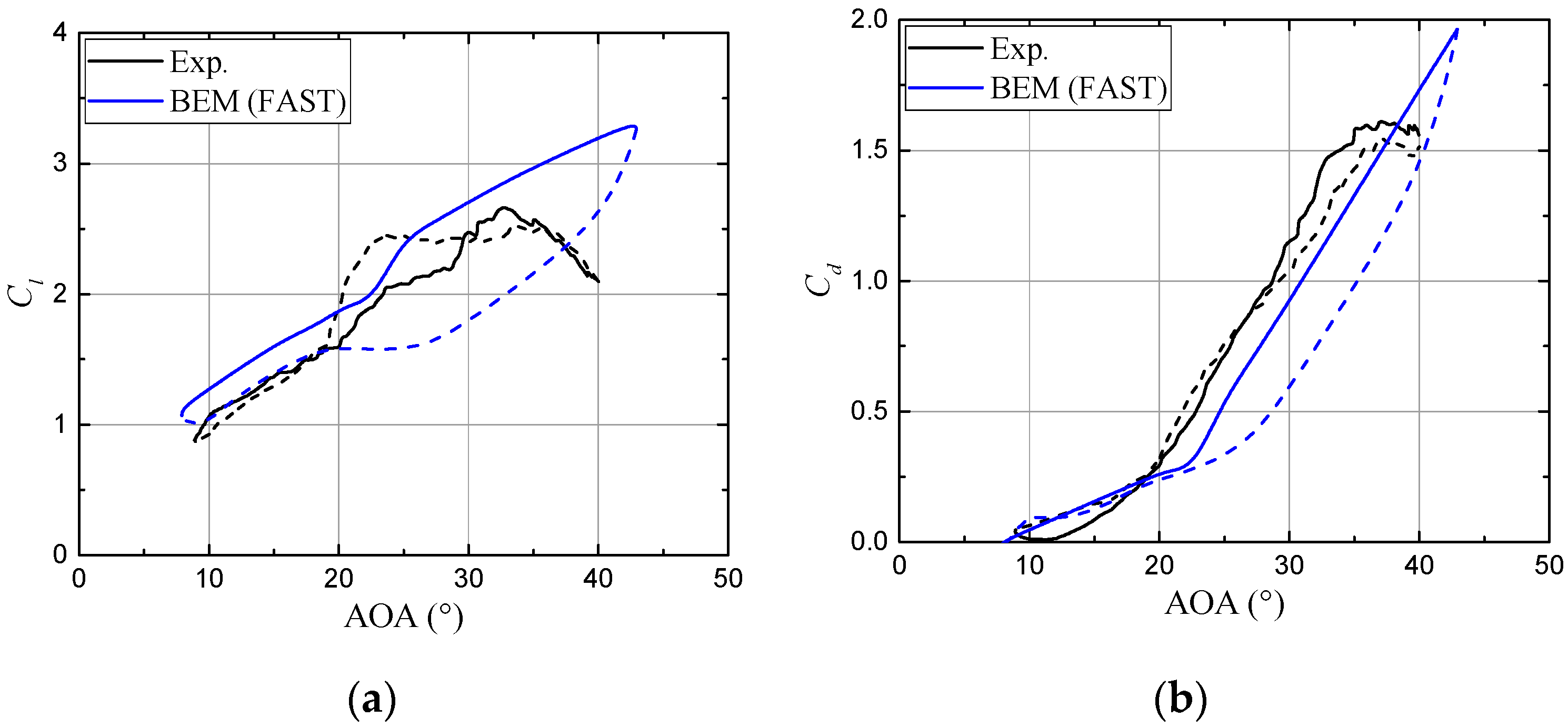
4.2. Validation of Numerical Modelling
α(t) = αm + Asin(2πft + ϕ1)
h(t) = h0sin(2πft + ϕ2)
5. Results and Discussion
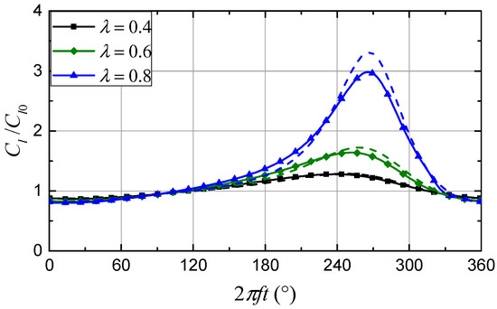
5.1. Hysteresis Loops of the Lift and Drag Coefficients
5.2. Azimuthal Variation of the Pressure Distributions and Vorticity Field
5.3. Dynamic Stall Regimes
6. Conclusions
Author Contributions
Funding
Acknowledgments
Conflicts of Interest
References
- Schepers, J.G. Engineering Models in Wind Energy Aerodynamics: Development, Implementation and Analysis Using Dedicated Aerodynamic Measurements; Delft University of Technology: Delft, The Netherlands, 2012. [Google Scholar]
- Schepers, J.G.; Boorsma, K.; Cho, T.; Gomez-Iradi, S.; Schaffarczyk, A.; Madsen, H.A.; Sorensen, N.N.; Shen, W.Z.; Lutz, T.; Sant, T.; et al. Final Report of IEA Wind Task 29: Mexnext (Phase 2); Energy Research Centre of The Netherlands: Petten, The Netherlands, 2014. [Google Scholar]
- Leishman, J.G. Challenges in modelling the unsteady aerodynamics of wind turbines. Wind Energy 2002, 5, 85–132. [Google Scholar] [CrossRef]
- Elgammi, M.; Sant, T. Combining unsteady blade pressure measurements and a free-wake vortex model to investigate the cycle-to-cycle variations in wind turbine aerodynamic blade loads in yaw. Energies 2016, 9, 27. [Google Scholar] [CrossRef]
- Leishman, J.G. Principles of Helicopter Aerodynamics, 2nd ed.; Cambridge University Press: Cambridge, UK, 2006. [Google Scholar]
- Johansen, J. Unsteady Airfoil Flows with Application to Aeroelastic Stability; Risø National laboratory: Roskilde, Denmark, 1999. [Google Scholar]
- McCroskey, W.J. The Phenomenon of Dynamic Stall; National Aeronautics and Space Administration: Washington, DC, USA, 1981. [Google Scholar]
- Carr, L.W. Progress in analysis and prediction of dynamic stall. J. Aircr. 1988, 25, 6–17. [Google Scholar] [CrossRef]
- Snel, H.; Houwink, R.; Bosschers, J. Sectional Prediction of LIft Coefficients on Rotating Wind Turbine Blades in Stall; Energy Research Center of The Netherlands: Petten, The Netherlands, 1993. [Google Scholar]
- Du, Z.; Selig, M. A 3-D stall-delay model for horizontal axis wind turbine performance prediction. In Proceedings of the 36th AIAA Aerospace Sciences Meeting and Exhibit, ASME Wind Energy Symposium, Reno, NV, USA, 12–15 January1998. [Google Scholar]
- Schreck, S.; Robinson, M. Rotational augmentation of horizontal axis wind turbine blade aerodynamic response. Wind Energy 2002, 5, 133–150. [Google Scholar] [CrossRef]
- Lindenburg, C. Investigation into Rotor Blade Aerodynamics; Energy Research Centre of The Netherlands: Petten, The Netherlands, 2003. [Google Scholar]
- Bangga, G. Three-Dimensional Flow in the Root Region of Wind Turbine Rotors; Kassel University Press: Kassel, Germany, 2018. [Google Scholar]
- Breton, S.P.; Coton, F.N.; Moe, G. A Study on rotational effects and different stall delay models using i a prescribed wake vortex scheme and NREL phase VI experiment data. Wind Energy 2008, 11, 459–482. [Google Scholar] [CrossRef]
- Larsen, J.W.; Nielsen, S.R.K.; Krenk, S. Dynamic stall model for wind turbine airfoils. J. Fluids Struct. 2007, 23, 959–982. [Google Scholar] [CrossRef]
- Jonkman, B.; Jonkman, J. FAST v8.16.00a-bjj; National Renewable Energy Laboratory: Golden, CO, USA, 2016.
- Damiani, R.; Hayman, G. The Dynamic Stall Module for FAST 8; National Renewable Energy Laboratory: Golden, CO, USA, 2016.
- Duque, E.P.N.; Burklund, M.D.; Johnson, W. Navier-stokes and comprehensive analysis performance predictions of the NREL phase VI experiment. J. Sol. Energy Eng. 2003, 125, 457–467. [Google Scholar] [CrossRef]
- Schepers, J.G. IEA Annex XX: Comparison between Calculations and Measurements on a Wind Turbine in Yaw in the NASA-Ames Wind Tunnel; Energy Research Center of The Netherlands: Petten, The Netherlands, 2007. [Google Scholar]
- Tongchitpakdee, C.; Benjanirat, S.; Sankar, L.N. Numerical simulation of the aerodynamics of horizontal axis wind turbines under yawed flow conditions. In Proceedings of the 43rd AIAA Aerospace Sciences Meeting and Exhibit, Reno, NV, USA, 10–13 January 2005; pp. 14015–14025. [Google Scholar]
- Yu, D.O.; You, J.Y.; Kwon, O.J. Numerical investigation of unsteady aerodynamics of a Horizontal-axis wind turbine under yawed flow conditions. Wind Energy 2013, 16, 711–727. [Google Scholar] [CrossRef]
- Schreck, S.; Robinson, M. Dynamic stall and rotational augmentation in recent wind turbine aerodynamics experiments. In Proceedings of the 32nd AIAA Fluid Dynamics Conference and Exhibit, St. Louis, MO, USA, 24–26 June 2002. [Google Scholar]
- Bak, C.; Johansen, J.; Andersen, P.B. Three-dimensional corrections of airfoil characteristics based on pressure distributions. In Proceedings of the European Wind Energy Conference and Exhibition (EWEC), Athens, Greece, 27 February–2 March 2006. [Google Scholar]
- Gonzalez, A.; Munduate, X. Three-dimensional and rotational aerodynamics on the NREL Phase VI wind turbine blade. In Proceedings of the 45th AIAA Aerospace Sciences Meeting, Reno, NV, USA, 8–11 January 2007; pp. 7597–7610. [Google Scholar]
- Guntur, S.; Sorensen, N.N. A study on rotational augmentation using CFD analysis of flow in the inboard region of the MEXICO rotor blades. Wind Energy 2015, 18, 745–756. [Google Scholar] [CrossRef]
- Ramsay, R.F.; Hoffman, M.J.; Gregorek, G.M. Effects of Grit Roughness and Pitch Oscillation on the S809 Airfoil; National Renewable Energy Laboratory: Golden, CO, USA, 1995.
- Hand, M.M.; Simms, D.A.; Fingersh, L.J.; Jager, D.W.; Cotrell, J.R.; Schreck, S.J.; Larwood, S.M. Unsteady Aerodynamics Experiment Phase VI: Wind Tunnel Test. Configurations and Available Data Campaigns; National Renewable Energy Laboratory: Golden, CO, USA, 2001.
- Somers, D.M. Design and Experimental Results for the S809 Airfoil; National Renewable Energy Laboratory: Golden, CO, USA, 1997. [Google Scholar]
- Shipley, D.E.; Miller, M.S.; Robinson, M.C.; Luttges, M.W.; Simms, D.A. Techniques for the Determination of Local Dynamic Pressure and Angle of Attack on a Horizontal Axis Wind Turbine; National Renewable Energy Laboratory: Golden, CO, USA, 1995.
- Guntur, S.; Sørensen, N.N. An evaluation of several methods of determining the local angle of attack on wind turbine blades. In Proceedings of the Science of Making Torque from Wind, Oldenburg, Germany, 9–11 October 2012; Volume 555. [Google Scholar]
- Hansen, M.O.L. Aerodynamics of Wind Turbines, 2nd ed.; Earthscan: London, UK, 2008. [Google Scholar]
- ANSYS Inc. FLUENT. Theory Guide, Release 16.0; ANSYS Inc. FLUENT: Canonsburg, PA, USA, 2015. [Google Scholar]
- Zhu, C.; Wang, T. Comparative study of dynamic stall under pitch oscillation and oscillating freestream on wind turbine airfoil and blade. Appl. Sci. 2018, 8, 1242. [Google Scholar] [CrossRef]
- Zhu, C.; Wang, T.; Wu, J. Numerical investigation of passive vortex generators on a wind turbine airfoil undergoing pitch oscillations. Energies 2019, 12, 654. [Google Scholar] [CrossRef]
- Menter, F.R. Two-equation eddy-viscosity transport turbulence model for engineering applications. AIAA J. 1994, 32, 1598–1605. [Google Scholar] [CrossRef]
- Menter, F.R.; Langtry, R.B.; Likki, S.R.; Suzen, Y.B.; Huang, P.G.; Volker, S. A correlation-based transition model using local variables—Part I: Model formulation. J. Turbomach. Trans. ASME 2006, 128, 413–422. [Google Scholar] [CrossRef]
- Ekaterinaris, J.A.; Platzer, M.F. Computational prediction of airfoil dynamic stall. Prog. Aerosp. Sci. 1997, 33, 759–846. [Google Scholar] [CrossRef]
- Leishman, J.G.; Beddoes, T.S. A semi-empirical model for dynamic stall. J. Am. Helicopter Soc. 1989, 34, 3–17. [Google Scholar] [CrossRef]
- Hansen, M.H.; Gaunaa, M.; Madsen, H.A. A Beddoes-Leishman Type Dynamic Stall Model in State-Space and Indicial Formulation; Risø National Laboratory: Roskilde, Denmark, 2004. [Google Scholar]
- Van der Wall, B.G.; Leishman, J.G. On the influence of time-varying flow velocity on unsteady aerodynamics. J. Am. Helicopter Soc. 1994, 39, 25–36. [Google Scholar] [CrossRef]
- Sant, T.; van Kuik, G.; van Bussel, G.J.W. Estimating the angle of attack from blade pressure measurements on the national renewable energy laboratory phase VI rotor using a free wake vortex model: Yawed conditions. Wind Energy 2009, 12, 1–32. [Google Scholar] [CrossRef]
- Gupta, S.; Leishman, J.G. Dynamic stall modelling of the S809 aerofoil and comparison with experiments. Wind Energy 2006, 9, 521–547. [Google Scholar] [CrossRef]




















© 2019 by the authors. Licensee MDPI, Basel, Switzerland. This article is an open access article distributed under the terms and conditions of the Creative Commons Attribution (CC BY) license (http://creativecommons.org/licenses/by/4.0/).
Share and Cite
Zhu, C.; Wang, T.; Zhong, W. Combined Effect of Rotational Augmentation and Dynamic Stall on a Horizontal Axis Wind Turbine. Energies 2019, 12, 1434. https://doi.org/10.3390/en12081434
Zhu C, Wang T, Zhong W. Combined Effect of Rotational Augmentation and Dynamic Stall on a Horizontal Axis Wind Turbine. Energies. 2019; 12(8):1434. https://doi.org/10.3390/en12081434
Chicago/Turabian StyleZhu, Chengyong, Tongguang Wang, and Wei Zhong. 2019. "Combined Effect of Rotational Augmentation and Dynamic Stall on a Horizontal Axis Wind Turbine" Energies 12, no. 8: 1434. https://doi.org/10.3390/en12081434
APA StyleZhu, C., Wang, T., & Zhong, W. (2019). Combined Effect of Rotational Augmentation and Dynamic Stall on a Horizontal Axis Wind Turbine. Energies, 12(8), 1434. https://doi.org/10.3390/en12081434

