Implementation of the Low-Voltage Ride-Through Curve after Considering Offshore Wind Farms Integrated into the Isolated Taiwan Power System
Abstract
:1. Introduction
2. Introduction to Simulation of Taipower and Grid Connection Systems
2.1. Introduction to Changlin Areas and Power Grid in Changbin
2.2. Inside Grid Connection Configuration of OWFs in Chang-Yuen Rise Area
3. LVRT Curve Program of Meeting OWFs into Taipower System
- ⮚
- A→C: When a severe three-phase short circuit happens in the system, the voltage falls to 0 p.u.
- ⮚
- C→D: When a fault occurs at one of the spots in the system, during the fault clearance time, the voltage of the wind turbines at PCC recovers to 90% of the rated voltage in 3 seconds; no turbines can be decoupled from the grids during the 3 seconds of voltage recovery regardless of the magnitudes of their voltage sags.
- ⮚
- E→G: The minimum voltages of the turbines when disturbances occurred at various fault durations were simulated.
- ⮚
- G→H→I: The TPC LVRT curve was retained.
3.1. Establishment of the Value of Point D—Fult Cearing Tme of Ofshore Wnd Frms at Dfferent Fult Pints
3.2. Establishment of the Values of Point E to Point G—Aalysis of the Vltage of Ofshore Wnd Farms under Dfferent Fult Cearing Tmes
- ⮚
- The turbine should proceed to operate for a minimum of 0.15 seconds when the PCC voltage of the wind turbines sags to 0 p.u.
- ⮚
- The turbine should proceed to operate for a minimum of 0.475 seconds when the PCC voltage of the wind turbines sags to 0.09 p.u.
- ⮚
- When the PCC voltage of the wind turbine exceeds the proposed LVRT curve (shown as a red dotted line) during the voltage sag, the turbine remains in operation.
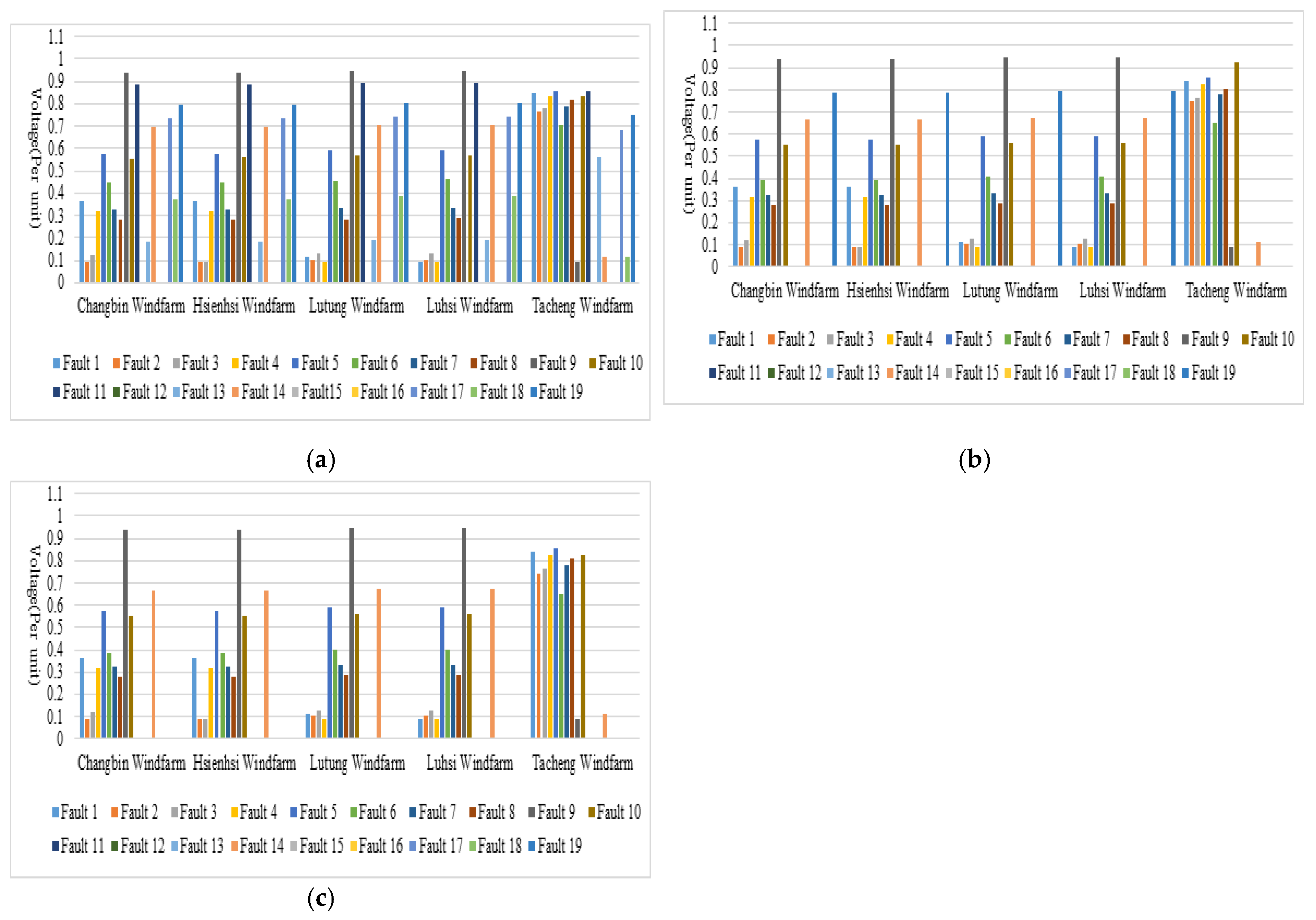
4. Fault Analysis of the OWTs under Different LVRT Curves
5. Conclusions
Author Contributions
Acknowledgments
Conflicts of Interest
References
- Global Wind Energy Council (GWEC). Global Wind Statistics. 2017. Available online: https://www.google.com.hk/url?sa=t&rct=j&q=&esrc=s&source=web&cd=1&ved=2ahUKEwi7qqTm66PhAhWMGaYKHdZEBiMQFjAAegQIABAB&url=https%3A%2F%2Fgwec.net%2Fwp-content%2Fuploads%2Fvip%2FGWEC_PRstats2017_EN-003_FINAL.pdf&usg=AOvVaw3kG04-vWc1O7qaCoVeVH5C (accessed on 14 February 2018).
- Executive Yuan, Four-Year Plan for Promoting wind Power Generation—Clean Energy is Emerging. 2018. Available online: https://www.ey.gov.tw/Page/5A8A0CB5B41DA11E/ef93b5c1-85ea-4b5f-ac55-f460d9204258 (accessed on 26 March 2019).
- Dobson, I.; Chiang, H.D.; Thorp, J.S.; Fekih-Ahmed, L. A model of voltage collapse in electric power systems. In Proceedings of the 27th IEEE Conference, Austin, TX, USA, 7–9 December 1988. [Google Scholar] [CrossRef]
- Park, C.H.; Jang, G. Voltage quality assessment considering low voltage ride-through requirement for wind turbines. IET Gener. Transm. Distrib. 2016, 10, 4205–4214. [Google Scholar] [CrossRef]
- Fandi, G.; Ahmad, I.; Igbinovia, F.O.; Muller, Z.; Tlusty, J.; Krepl, V. Voltage Regulation and Power Loss Minimization in Radial Distribution Systems via Reactive Power Injection and Distributed Generation Unit Placement. Energies 2018, 11, 1399. [Google Scholar] [CrossRef]
- Krepl, V.; Ahmad, I.; Igbinovia, F.O.; Ivanova, T.; Fandie, S.; Muller, Z.; Tlusty, J. Design of an Emergency Energy System for a City Assisted by Renewable Energy, Case Study: Latakia, Syria. Energies 2018, 11, 3138. [Google Scholar]
- Wu, Y.; Yang, W.; Hu, Y.; Dzung, P.Q. Frequency Regulation at a Wind Farm Using Time-Varying Inertia and Droop Controls. IEEE Trans. Ind. App. 2019, 55, 213–224. [Google Scholar] [CrossRef]
- Lee, J.; Jang, G.; Muljadi, E.; Blaabjerg, F.; Chen, Z.; Kang, Y.C. Stable short-term frequency support using adaptive gains for a DFIG-based wind power plant. IEEE Trans. Energy Convers. 2016, 31, 1068–1079. [Google Scholar] [CrossRef]
- Taiwan Power Company, Renewable Energy Power Generation System Interconnection Technology Act. 2016. Available online: http://www.taipower.com.tw (accessed on 6 October 2016).
- Weck, K.H. Low-Voltage Ride Through (LVRT) Requirements and Testing. Research Association for Electrical Systems and Electricity. 2009. Available online: https://wenku.baidu.com/view/5abdf46a1611cc7931b765ce05087632311274ee.html?re=view (accessed on 6 January 2009).
- Iov, F.; Hansen, A.D.; Sørensen, P.; Cutululis, N.A. Mapping of Grid Faults and Grid Codes; Risø National Laboratory: Roskilde, Danmark, 2007.
- E.ON Netz GmbH, Grid Code-High and Extra High Voltage. Available online: http://www.pvupscale.org/IMG/pdf/D4_2_DE_annex_A-3_EON_HV_grid__connection_requirements_ENENARHS2006de.pdf (accessed on 1 April 2006).
- Tsili, M.; Papathanassiou, S. A review of grid code technical requirements for wind farms. IET Renew. Power Gener. 2009, 3, 308–332. [Google Scholar] [CrossRef]
- Benbouzid1, M.; Muyeen, S.M.; Khoucha1, F. An Up-to-Date Review of Low-Voltage Ride-Through Techniques for Doubly-Fed Induction Generator-Based Wind Turbines. Int. J. Energy Convers. 2015, 3, 1–9. [Google Scholar]
- The Grid Code. Available online: https://www.nationalgrideso.com/sites/eso/files/documents/29446-Issue%203%20Revision%2024%20-%2019%20November%202007.pdf (accessed on 19 November 2007).
- Wind turbines connected to grids with voltages below 100 kV, Regulation TF 3.2.6. Available online: https://en.energinet.dk/-/media/1196EE254B854D21AD88B2DC813BFEA9.pdf?la=en&hash=ACF6DBC39FEF7340E206E48BE4845941519CAE97 (accessed on 19 May 2007).
- Wind turbines connected to grids with voltages above 100 kV, Regulation TF 3.2.5. Available online: http://bibing.us.es/proyectos/abreproy/70370/descargar_fichero/22.+Wind+Turbines+Connected+to+Grids+with+Voltage+above100+kV.pdf (accessed on November 2004).
- Joos, G. Review of grid codes. In Proceedings of the first International Conference Integration of Renewable Energy and DER (IRED 04), Brussels, Belgium, 1–3 December 2004. [Google Scholar]
- Wu, T.S. Analysis and Comparison of Low Voltage Ride Through Capability of Wind Power Generators. Master’ Thesis, National Sun Yat-sen University, Kaohsiung, Taiwan, September 2013. (In Chinese). [Google Scholar]
- Chen, Y.J. Analysis of Low Voltage Ride Through Capability of Different Off-shore Wind Farm Collection Schemes. Master’ Thesis, National Sun Yat-sen University, Kaohsiung, Taiwan, June 2012. (In Chinese). [Google Scholar]
- Lin, X.H. A Study on Low Voltage Ride-through Capability Improvement for Doubly Fed Induction generator. Master’ Thesis, National Sun Yat-sen University, Kaohsiung, Taiwan, July 2010. (In Chinese). [Google Scholar]
- Tseng, Y.Y. Study on the Low Voltage Ride through Characteristics of Wind Power Generator. Master’ Thesis, National Taiwan University of Science and Technology, Taipei, Taiwan, June 2009. (In Chinese). [Google Scholar]
- Thousand Wind Turbines Project, Bureau of Energy, Ministry of Economic Affairs, R.O.C. Available online: http://www.twtpo.org.tw/professio\=nal/count.aspx (accessed on 1 October 2018).
- Kazachkov, Y.; Altman, R.; Senthil, J.; Patil, K. PSS®E Wind Modeling Package for GE 1.5/1.6/2.5/2.75/4.0 MW Wind Turbines User Guide; Siemens: Berlin, Germany, 2011. [Google Scholar]
- Taiwan Power Company, Taiwan Power Company Transmission System Planning Guidelines. Available online: http://www.taipower.com.tw (accessed on 1 April 2013).
- Lu, S.D.; Wang, M.H.; Tai, C.Y.; Tsou, M.C.; Gu, F.C. Formulation of Low Voltage Ride-Through Curve Considering Offshore Wind Farms Integrated into an Islanding Power System - A Case Study in Taiwan. In Proceedings of the 2018 International Symposium on Computer, Consumer and Control (IS3C), Taichung, Taiwan, 6–8 December 2018. [Google Scholar] [CrossRef]









| Fault Location | Tripping of Transmission Line | Minimum Voltage of the OWTs |
|---|---|---|
| Changbin | Changbin H (2301)-Tsaokang #A (7710) | Changbin Windfarms/0.032 p.u. |
| Hsienhsi | Hsienhsi H (5801)-Changbin H (2301) | Hsienhsi Windfarms/0.032 p.u. |
| Lutung | Lutung H (5809)-Luhsi H (5811) | Lutung Windfarms/0.032 p.u |
| Luhsi | Luhsi H (5811)-Lutung H (5809) | Luhsi Windfarms/0.032 p.u |
| Tacheng | Tacheng H (2321)-Changlin H (2321) | Tacheng Windfarms/0.031 p.u. |
| Fault Scenario | Fault Location | Tripping of Transmission Line | |
|---|---|---|---|
| 161 kV | Fault 1 | Luhsi H (5811) | Luhsi H(5811)-Lutung H (5809)1st line |
| Fault 2 | Changbin H (2301) | Changbin H(2301)-Tsaokang #A (7710) 1st line | |
| Fault 3 | Hsienhsi H (5801) | Hsienhsi H(5801)-Changbin H (2301) 1st line | |
| Fault 4 | Lutung H (5809) | Lutung H(5809)-Luhsi (5811) H 1st line | |
| Fault 5 | Hanpao H (5817) | Hanpao H(5817)-Tsaokang #B (7711) 2nd line | |
| Fault 6 | Chuanhsiang H (2351) | Chuanhsiang H(2351)-Changhsin #A (7750) Rth line | |
| Fault 7 | Fuhsiang H (5855) | Fuhsiang H(5855)-Changhua H (3551) 1st line | |
| Fault 8 | Tsaokang H(5819) | Tsaokang H(5819)-Tsaokang #B (7711) 2nd line | |
| Fault 9 | Tacheng H (5841) | Tacheng H (5841)-Changlin H (2321) 1st line | |
| Fault 10 | Changhsin H (5851) | Changhsin H (5851)-Changhsin #A (7750) Rth line | |
| 345 kV | Fault 11 | Houli E (2130) | Houli E (2130)-Omei E (2000) Wth & Rth line |
| Fault 12 | Chunghuopei E (530) | Chunghuopei E (530)-Chungkang E (2150) Nth & Sth line | |
| Fault 13 | Changbin E (2300) | Changbin E (2300)-Chuanhsiang E (2350) 1st line | |
| Fault 14 | Changlin E (2320) | Changlin E (2320)-Nantou E (2400) Nth line | |
| Fault 15 | Chuanhsiang E (2350) | Chuanhsiang E (2350)-Chunghuonan E (540) 1st line | |
| Fault 16 | Chunghuonan E (540) | Chunghuonan E (540)-Changbin E (2300) 1st line | |
| Fault 17 | Chungkang E (2150) | Chungkang E (2150)-Cchungko E (2170) Nth line | |
| Fault 18 | Nantou E (2400) | Nantou E (2400)-Chuanhsiang E (2350) 1st line | |
| Fault 19 | Chiamin E (2500) | Chiamin E (2500)-Chungliaopei E (2480) 1st & 2nd line | |
| Fault Scenario (161 kV) | Fault Clearing Time (seconds) | Fault Scenario (345kV) | Fault Clearing Time (seconds) | ||||
|---|---|---|---|---|---|---|---|
| 0.1 | 0.14 | 0.15 | 0.1 | 0.14 | 0.15 | ||
| Fault 1 | O | O | Fault 11 | O | O | O | |
| Fault 2 | O | O | Fault 12 | O | O | O | |
| Fault 3 | O | O | Fault 13 | O | O | O | |
| Fault 4 | O | O | Fault 14 | O | O | O | |
| Fault 5 | O | O | Fault 15 | O | O | O | |
| Fault 6 | O | O | Fault 16 | O | O | O | |
| Fault 7 | O | O | Fault 17 | O | O | O | |
| Fault 8 | O | O | Fault 18 | O | O | O | |
| Fault 9 | O | O | Fault 19 | O | O | O | |
| Fault 10 | O | O | |||||
| Fault Scenario | Fault Clearing Time (seconds) | |||||
|---|---|---|---|---|---|---|
| Changbin, Hsienhsi, Lutung and Luhsi Windfarms | Tacheng Windfarm | |||||
| 0.2 | 0.5 | 0.625 | 0.2 | 0.5 | 0.625 | |
| Fault 1 | O | O | O | O | O | O |
| Fault 2 | O | O | O | O | O | O |
| Fault 3 | O | O | O | O | O | O |
| Fault 4 | O | O | O | O | O | O |
| Fault 5 | O | O | O | O | O | O |
| Fault 6 | O | O | O | O | O | O |
| Fault 7 | O | O | O | O | O | O |
| Fault 8 | O | O | O | O | O | O |
| Fault 9 | O | O | O | O | O | O |
| Fault 10 | O | O | O | O | O | O |
| Fault 11 | O | X | X | O | X | X |
| Fault 12 | X | X | X | X | X | X |
| Fault 13 | O | X | X | O | X | X |
| Fault 14 | O | O | O | O | O | O |
| Fault 15 | X | X | X | X | X | X |
| Fault 16 | X | X | X | X | X | X |
| Fault 17 | O | X | X | O | X | X |
| Fault 18 | O | X | X | O | X | X |
| Fault 19 | O | O | X | O | X | X |
| Offshore Wind Farms | Fault Location | Offshore Wind Farm Voltage (p.u.) |
|---|---|---|
| Changbin | Changbin H | 0.091 |
| Hsienhsi | Hsienhsi H | 0.091 |
| Lutung | Lutung H | 0.091 |
| Luhsi | Luhsi H | 0.091 |
| Tacheng | Tacheng H | 0.091 |
© 2019 by the authors. Licensee MDPI, Basel, Switzerland. This article is an open access article distributed under the terms and conditions of the Creative Commons Attribution (CC BY) license (http://creativecommons.org/licenses/by/4.0/).
Share and Cite
Lu, S.-D.; Wang, M.-H.; Tai, C.-Y. Implementation of the Low-Voltage Ride-Through Curve after Considering Offshore Wind Farms Integrated into the Isolated Taiwan Power System. Energies 2019, 12, 1258. https://doi.org/10.3390/en12071258
Lu S-D, Wang M-H, Tai C-Y. Implementation of the Low-Voltage Ride-Through Curve after Considering Offshore Wind Farms Integrated into the Isolated Taiwan Power System. Energies. 2019; 12(7):1258. https://doi.org/10.3390/en12071258
Chicago/Turabian StyleLu, Shiue-Der, Meng-Hui Wang, and Chung-Ying Tai. 2019. "Implementation of the Low-Voltage Ride-Through Curve after Considering Offshore Wind Farms Integrated into the Isolated Taiwan Power System" Energies 12, no. 7: 1258. https://doi.org/10.3390/en12071258
APA StyleLu, S.-D., Wang, M.-H., & Tai, C.-Y. (2019). Implementation of the Low-Voltage Ride-Through Curve after Considering Offshore Wind Farms Integrated into the Isolated Taiwan Power System. Energies, 12(7), 1258. https://doi.org/10.3390/en12071258

