Application of ALD-Al2O3 in CdS/CdTe Thin-Film Solar Cells
Abstract
1. Introduction
2. Experimental
3. Results and Discussion
3.1. Optical Properties
3.2. Electrical Properties
3.3. Structural Properties
3.4. Surface Morphology
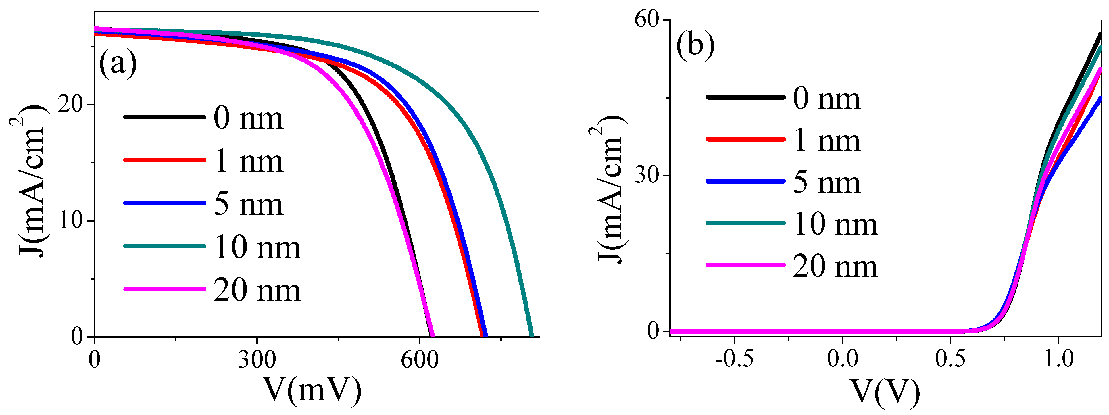
3.5. Devices Performances
4. Conclusions
Author Contributions
Funding
Conflicts of Interest
References
- Zeng, G.G.; Zheng, J.G.; Li, B.; Lei, Z.; Wu, L.L.; Cai, Y.P.; Li, W.; Zhang, J.Q.; Cai, W.; Feng, L.H. Polycrystalline CdS/CdTe thin-film solar cells with intrinsic SnO2 films of high resistance. Acta Phys. Sin. 2006, 55, 4854–4859. [Google Scholar]
- Krishnakumar, V.; Han, J. CdTe thin film solar cells with reduced CdS film thickness. Thin Solid Film. 2011, 519, 7138–7141. [Google Scholar] [CrossRef]
- Wu, X.; Keane, J.C.; Dhere, R.G.; DeHart, C.; Albin, D.S.; Duda, A.; Gessert, T.A.; Ashar, S.; Levi, D.H.; Sheldon, P. 16.5%-efficient CdS/CdTe polycrystalline thin film solar cells. In Proceedings of the 17th European Photovoltaic Solar Energy Conference, Munich, Germany, 22–26 October 2001; pp. 995–1000. [Google Scholar]
- Wu, X. High-efficiency polycrystalline CdTe thin-film solar cells. Sol. Energy 2004, 77, 803–814. [Google Scholar] [CrossRef]
- Goldstein, D.N.; McCormick, J.A.; George, S.M. Al2O3 Atomic Layer Deposition with Trimethylaluminum and Ozone Studied by in Situ Transmission FTIR Spectroscopy and Quadrupole Mass Spectrometry. J. Phys. Chem. C 2008, 112, 19530–19539. [Google Scholar] [CrossRef]
- Kim, J.; Chakrabarti, K.; Lee, J.; Oh, K.-Y. Effects of ozone as an oxygen source on the properties of the Al2O3 thin films prepared by atomic layer deposition. Mater. Chem. Phys. 2003, 78, 733–738. [Google Scholar] [CrossRef]
- Schmidt, J.; Merkle, A.; Brendel, R.; Hoex, B.; van de Sanden, M.C.M.; Kessels, W.M.M. Surface passivation of high-efficiency silicon solar cells by atomic-layer-deposited Al2O3. Prog. Photovolt. Res. Appl. 2008, 16, 461–466. [Google Scholar] [CrossRef]
- Saint-Cast, P.; Benick, J.; Kania, D.; Weiss, L.; Hofmann, M.; Rentsch, J.; Preu, R.; Glunz, S.W. High-efficiency c-Si solar cells passivated with ALD and PECVD aluminum oxide. IEEE Electron. Device Lett. 2010, 31, 695–697. [Google Scholar] [CrossRef]
- Miikkulainen, V.; Leskelä, M.; Ritala, M.; Puurunen, R.L. Crystallinity of Inorganic Films Grown by Atomic Layer Deposition: Overview and General Trends. J. Appl. Phys. 2013, 113, 021301. [Google Scholar] [CrossRef]
- Puurunen, R.L. Surface chemistry of atomic layer deposition: A case study for trimethylaluminum/water process. J. Appl. Phys. 2005, 97, 52–106. [Google Scholar] [CrossRef]
- Ho Jeon, J.; Sahng-Kyoon, J.; Kamran, A.; Seung-Hyun, C. Hydrophobic Surface Treatment and Interrupted Atomic Layer Deposition for Highly Resistive Al2O3 Films on Graphene. ACS Appl. Mater. Interfaces 2016, 8, 29637–29641. [Google Scholar] [CrossRef]
- Wang, L.-C.; Han, Y.-Y.; Yang, K.C.; Chen, M.-J.; Lin, H.-C.; Lin, C.-K.; Hsu, Y.-T. Hydrophilic/hydrophobic surface of Al2O3 thin films grown by thermal and plasma-enhanced atomic layer deposition on plasticized polyvinyl chloride (PVC). Surf. Coat. Technol. 2016, 305, 158–164. [Google Scholar] [CrossRef]
- Kephart, J.M.; Kindvall, A.; Desiree, W.; Kuciauskas, D.; Dippo, P.; Munshi, A.; Sampath, W.S. Sputter-Deposited Oxides for Interface Passivation of CdTe Photovoltaics. IEEE J. Photovolt. 2018, 99, 1–7. [Google Scholar] [CrossRef]
- Birey, H. Thickness dependence of the dielectric constant and resistance of Al2O3 films. J. Appl. Phys. 1978, 48, 5209–5212. [Google Scholar] [CrossRef]
- Gary, A.M.; Aytug, T.; Liu, Q.; Wu, J. Plasmonic three-dimensional transparent conductor based on Al-doped zinc oxide-coated nanostructured glass using atomic layer deposition. ACS Appl. Mater. Interfaces 2015, 7, 8556–8561. [Google Scholar]
- Leng, D.; Wu, L.L.; Jiang, H.C.; Zhao, Y.; Zhang, J.Q.; Li, W.; Feng, L.H. Preparation and Properties of SnO2 Film Deposited by Magnetron Sputtering. Int. J. Photoenergy 2012, 6, 235971. [Google Scholar] [CrossRef]
- Yadav, A.A.; Masumdar, E.U.; Moholkar, A.V.; Neumann-Spallart, M.; Rajpured, K.Y.; Bhosale, C.H. Electrical, structural and optical properties of SnO2:F thin films: Effect of the substrate temperature. J. Alloy. Compd. 2009, 488, 350–355. [Google Scholar] [CrossRef]
- Youwei, Z.; Zhijun, Q.; Xinhong, C.; Hong, X.; Haomin, W.; Xiaomin, X.; Yuehui, Y.; Ran, L. Direct growth of high-quality Al2O3 dielectric on graphene layers by low-temperature H2O-based ALD. J. Phys. D Appl. Phys. 2014, 47, 055106. [Google Scholar] [CrossRef]
- Cappella, A.; Battaglia, J.L.; Schick, V.; Kusiak, A.; Lamperti, A.; Wiemer, C.; Hay, B. High Temperature Thermal Conductivity of Amorphous Al2O3 Thin Films Grown by Low Temperature ALD. Adv. Eng. Mater. 2013, 15, 1046–1050. [Google Scholar] [CrossRef]
- Hirata, T.; Ishioka, K.; Kitajima, M.; Doi, H. Concentration dependence of optical phonons in the TiO2-SnO2 system. Phys. Rev. B 1996, 53, 8442. [Google Scholar] [CrossRef]
- Vijayarangamuthu, K.; Rath, S. Nanoparticle size oxidation state and sensing response of tin oxide nanopowders using raman spectroscopy. J. Alloys Compd. 2014, 610, 706–712. [Google Scholar] [CrossRef]
- Liu, L.Z.; Wu, X.L.; Gao, F.; Shen, J.C.; Li, T.H.; Chu, P.K. Determination of surface oxygen vacancy position in SnO2 nanocrystals by Raman spectroscopy. Solid State Commun. 2011, 151, 811–814. [Google Scholar] [CrossRef]
- Zeng, G.G.; Zhang, J.Q.; Wang, W.W.; Feng, L.H. Correlation of Interfacial Transportation Properties of CdS/CdTe Heterojunction and Performance of CdTe Polycrystalline Thin-Film Solar Cells. Int. J. Photoenergy 2015, 2015, 519386. [Google Scholar] [CrossRef]
- Nelson, J. The Physics of Solar Cell; Imperial College Press: London, UK, 2004. [Google Scholar]
- Wu, L.L.; Feng, L.H.; Li, W.; Zhang, J.Q.; Li, B.; Lei, Z.; Cai, W.; Cai, Y.P.; Zheng, J.G. Effect of ZnTe/ZnTe: Cu complex back-contact on device characteristics of CdTe solar cells. Sci. China Ser. E Technol. Sci. 2007, 50, 199–205. [Google Scholar] [CrossRef]
- Bosio, A.; Ciprian, R.; Lamperti, A.; Rago, I.; Ressel, B.; Rosa, G.; Stupar, M.; Weschke, E. Interface phenomena between CdTe and ZnTe:Cu back contact. Sol. Energy 2018, 176, 186–193. [Google Scholar] [CrossRef]
- Kephart, J.M.; McCamy, J.W.; Ma, Z.; Ganjoo, A.; Alamgir, F.M.; Sampath, W.S. Band alignment of front contact layers for high-efficiency CdTe solar cells. Sol. Energy Mater. Sol. Cells 2016, 157, 266–275. [Google Scholar] [CrossRef]
- Li, X.; Shen, K.; Li, Q.; Deng, Y.; Zhu, P.; Wang, D.L. Roll-over behavior in current-voltage curve introduced by an energy barrier at the front contact in thin film CdTe solar cell. Sol. Energy 2008, 165, 27–34. [Google Scholar] [CrossRef]






| ALD-Al2O3 | TEC 10/ALD-Al2O3/CdS/CdTe/ZnTe:Cu/Ni | |||||||
|---|---|---|---|---|---|---|---|---|
| Thickness | Roughness (nm) | η (%) | Rsh (Ω) | Rs (Ω) | FF (%) | Jsc (mA/cm2) | Voc (mV) | J0 (10−8 mA/cm2) |
| 0 | Rq17.2/Ra13.9 | 11.03 | 1869 | 22.90 | 60.35 | 26.47 | 701.2 | 9.2 |
| 1 nm | Rq19.0/Ra15.1 | 11.10 | 1894 | 23.09 | 60.10 | 26.57 | 712.1 | 10.2 |
| 5 nm | Rq18.9/Ra15.2 | 11.66 | 2115 | 25.09 | 61.36 | 26.69 | 734.6 | 7.6 |
| 10 nm | Rq16.9/Ra13.6 | 12.82 | 2590 | 25.17 | 64.79 | 26.65 | 762.8 | 7.9 |
| 20 nm | Rq15.5/Ra12.5 | 10.26 | 1460 | 27.71 | 58.76 | 26.09 | 686.8 | 13.0 |
© 2019 by the authors. Licensee MDPI, Basel, Switzerland. This article is an open access article distributed under the terms and conditions of the Creative Commons Attribution (CC BY) license (http://creativecommons.org/licenses/by/4.0/).
Share and Cite
Zeng, G.; Hao, X.; Ren, S.; Feng, L.; Wang, Q. Application of ALD-Al2O3 in CdS/CdTe Thin-Film Solar Cells. Energies 2019, 12, 1123. https://doi.org/10.3390/en12061123
Zeng G, Hao X, Ren S, Feng L, Wang Q. Application of ALD-Al2O3 in CdS/CdTe Thin-Film Solar Cells. Energies. 2019; 12(6):1123. https://doi.org/10.3390/en12061123
Chicago/Turabian StyleZeng, Guanggen, Xia Hao, Shengqiang Ren, Lianghuan Feng, and Qionghua Wang. 2019. "Application of ALD-Al2O3 in CdS/CdTe Thin-Film Solar Cells" Energies 12, no. 6: 1123. https://doi.org/10.3390/en12061123
APA StyleZeng, G., Hao, X., Ren, S., Feng, L., & Wang, Q. (2019). Application of ALD-Al2O3 in CdS/CdTe Thin-Film Solar Cells. Energies, 12(6), 1123. https://doi.org/10.3390/en12061123
